Artery Research

Volume 5, Issue 4, December 2011, Pages 194 - 194

P11.07 24 HOUR AMBULATORY CENTRAL BP MEASUREMENT REVEALS SIGNIFICANT VARIATION IN PULSE PRESSURE AMPLIFICATION BETWEEN DAY AND NIGHT

Authors
J.C. Smith, L. Day, J. Woodcock-Smith, K. Miles, M. Watts, C.M. McEniery, I.B. Wilkinson
University of Cambridge, Cambridge, United Kingdom
Available Online 29 November 2011.
DOI
10.1016/j.artres.2011.10.163How to use a DOI?
Open Access
This is an open access article distributed under the CC BY-NC license.

Introduction: Brachial ambulatory blood pressure monitoring (ABPM) provides greater predictive value for cardiovascular events than clinic blood pressure (BP) readings. However, systolic BP varies throughout the arterial tree, such that brachial BP readings do not reliably indicate central (aortic) pressure. As yet, 24 hour ambulatory central BP, and central to peripheral pressure amplification have not been described.

Methods: 24 hour ambulatory brachial and central BP monitoring was undertaken in 122 healthy, treatment-naive individuals (71 females), using the mobilograph device (IEM, Germany). The mean age was 48±20 years (range 18–80 years). Ambulatory measurements were made every 30 minutes during the day and every 60 minutes overnight. Clinic (seated) BP was also assessed, prior to undertaking ambulatory measurements.

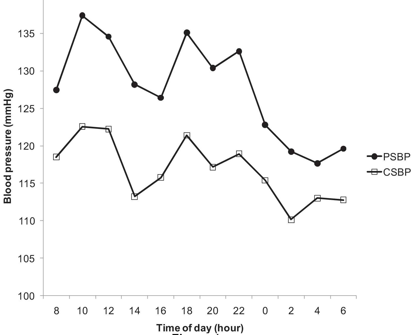
Results: Mean clinic (seated) BP was 130±21/79±11mmHg. During the daytime, mean ambulatory BP was 125±14/80±12mmHg (brachial) and 115±14/82±12mmHg (central). During the nighttime, both brachial (115±16/70±12mmHg) and central (107±15/71±11mmHg) ambulatory BP fell significantly (P<0.001 for all comparisons, Figure 1). However, the ratio between brachial and central pulse pressures (pulse pressure amplification) was significantly higher during the daytime (1.38±0.15) compared with nighttime (1.23±0.11, P=0.002).

Conclusions: Monitoring of ambulatory central BP reveals significant variation in pulse pressure amplification over a 24 hour period. These data indicate that ambulatory central and brachial BP are differentially affected by the activities of daily living. Further studies are required to investigate whether the prognostic value of ambulatory central BP is superior to ambulatory brachial BP.

Journal
Artery Research
Volume-Issue
5 - 4
Pages
194 - 194
Publication Date
2011/11/29
ISSN (Online)
1876-4401
ISSN (Print)
1872-9312
DOI
10.1016/j.artres.2011.10.163How to use a DOI?
Open Access
This is an open access article distributed under the CC BY-NC license.

Cite this article

TY  - JOUR
AU  - J.C. Smith
AU  - L. Day
AU  - J. Woodcock-Smith
AU  - K. Miles
AU  - M. Watts
AU  - C.M. McEniery
AU  - I.B. Wilkinson
PY  - 2011
DA  - 2011/11/29
TI  - P11.07 24 HOUR AMBULATORY CENTRAL BP MEASUREMENT REVEALS SIGNIFICANT VARIATION IN PULSE PRESSURE AMPLIFICATION BETWEEN DAY AND NIGHT
JO  - Artery Research
SP  - 194
EP  - 194
VL  - 5
IS  - 4
SN  - 1876-4401
UR  - https://doi.org/10.1016/j.artres.2011.10.163
DO  - 10.1016/j.artres.2011.10.163
ID  - Smith2011
ER  -