Journal of Robotics, Networking and Artificial Life

Volume 6, Issue 2, September 2019, Pages 128 - 132

An Efficient Structure of Organization with Complete Group Guidance

Authors
Satoshi Ikeda1, *, Makoto Sakamoto1, Takao Ito2
1Department of Computer Science and System Engineering, Miyazaki University, 1-1 Gakuen Kibanadai Nishi, Miyazaki, 889-2192, Japan
2Graduate School of Engineering, Hiroshima University, Higashi-Hiroshima, 739-8526, Japan
*Corresponding author. Email: bisu@cs.miyazaki-u.ac.jp
Corresponding Author
Satoshi Ikeda
Received 23 October 2018, Accepted 23 November 2018, Available Online 11 September 2019.
DOI
10.2991/jrnal.k.190828.012How to use a DOI?
Keywords
Hierarchical organization; mathematical model; discrete combination optimization
Abstract

Organizational structure is one of the most important factors in determining its performance. Our interest is what kind of structures is efficient, and what conditions are required for an efficient structure? In our previous papers, we proposed a mathematical model for evaluating the hierarchical organization quantitatively and used it to investigate this problem. As a result of that research, we proved that the shape of the hierarchical organization that maximizes the evaluation value of organization, can be classified into three types depending on the capacity value of the members when number of the evaluation criteria is only one. The purpose of this paper is to extend previously obtained results to an improved mathematical model.

Copyright
© 2019 The Authors. Published by Atlantis Press SARL.
Open Access
This is an open access article distributed under the CC BY-NC 4.0 license (http://creativecommons.org/licenses/by-nc/4.0/).

1. INTRODUCTION

There are many criteria for evaluating members of an organization. For example, technical skills, management skills, etc. In Ikeda [1] and Ikeda et al. [2], we proved by using a mathematical model that an efficient shape of a hierarchical organization with only one criterion is limited to three types (Figure 1).

Figure 1

Three types of efficient trees when the number of the evaluation criteria is one.

Subsequently, the mathematical model for evaluating the shape of the organization has been generalized more realistically [3,4]. Although the basic idea of the total output to the outside of the organization as an evaluation value has not changed, the major improvements in the revised mathematical model are the following two points.

  1. (a)

    Contribution of the members for a given organization can be categorized as the internal contribution to maintain the organization and the external contribution to realize the purpose of the organization in society.

  2. (b)

    For any fixed organization, the sum of the effort each person spends is constant, but its influence is different depending on how to take a communication style.

The ratio of one’s external contribution effort to the total of one’s effort is called the external output coefficient. In the mathematical model of Ikeda et al. [3,4] with one evaluation criterion under the assumption that the external output coefficient takes a constant α ∈ [0, 1] independent of member, previous results in Ikeda [1] and Ikeda et al. [2] correspond to α = 0 and the communication style called “the complete group guidance”.

When the number of evaluation criteria is one, in the paper Ikeda et al. [3,4], we showed that the structure of an efficient organization becomes line shape (Figure 1b), in the case that personal ability value of organization members is high. This is an extension of the results of Ikeda [1] and Ikeda et al. [2] to the case of the model of Ikeda et al. [3,4] in part. However, in general it was not known whether the results of Ikeda [1] and Ikeda et al. [2] (Figure 1c), could be extended to the case of the model of Ikeda et al. [3,4]. We expected that the results could be extended in the general case, but in reality it was not. Yoshimura et al. [5] by simulation experiments showed that an efficient tree is generally a brush tree shape (Figure 2), when the number of evaluation criteria is one. After much consideration, we concluded that the efficient tree shape as shown in Figure 1 may depend on the communication style.

Figure 2

A brush graph.

The purpose of this paper is to show that the efficient organizational shape when the evaluation criteria is only one, is limited to the three types shown in Figure 1 under the assumption of the communication style called the complete group guidance.

2. MATHEMATICAL MODEL

Now we will introduce a mathematical model for evaluating the hierarchical organization quantitatively [3,4].

2.1. Notations and Tree Graph as Hierarchical Organization

Suppose that G = (V(G), E(G)) is a graph. Throughout this paper, a graph is always finite, directed and simple, with order n = |V(G)|(n ≧ 2) and size m = |E(G)|.

For uV(G), by N(u) = {v|{u, v} ∈ E(G)}, we denote the set of vertices adjacent to u, and call deg(u) = |N(u)| the degree of uV(G). For an arbitrarily fixed rooted tree T with root r and its leaves set L(T), we denote

deg*s={degsifs{r}L(T),degs-1otherwise.

For a rooted tree T with V(T) = S, we define natural partial ordering $(S, <)$ that so-called the tree-order associated with T. That is, the root rS of T is the least element and the leaves of T are the maximal elements in this partial order. This ordering will be considered as the expression “depth”: if x < y, we say x lies below y in T. Note that the root r is the least element, and that the leaves of T are its maximal elements in this partial order.

Suppose that S = {s1, s2, …, sn} (n ≥ 2) and 𝒜 (|𝒜| ≧ 1) are finite sets. Through this paper, 𝒜 is the set of the evaluation measures. And S is interpreted as the set of members of a given organization, which consists of s1, s2, …, sn. There are many rooted trees with S as vertices. After that, we identify each rooted tree as its corresponding organization tree. Let 𝒯(S) be the set of rooted trees with S as its elements.

2.2. External Contribution and Internal Contribution

For a given S and i𝒜, we define {φi}i𝒜 by

φi :SR+{xR| x>0}fori𝒜
We call φi(s) the personal ability of sS with respect to i𝒜. And we call (S, {φi}i𝒜) an evaluation system. According to the idea of 1–3, the evaluation function of a given evaluation system 1 (S, {φi}i𝒜) is defined as follows. For i𝒜, total output of sS that written by fsα,i is the product of s′s personal ability φi (s) and s′s input that written by fsα,i . That is,
fsα,i=φi(s) fsα,i.

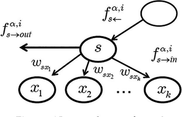
For i𝒜, s′s total output fsα,i is classified into s′s external output fsoutα,i and s′s internal output fsinα,i (Figure 3). That is,

fsα,i=fsoutα,i+fsinα,i.

Figure 3

Input and output for sS.

For the subordinate sS who received instructions from his superior, it is necessary to transmit appropriate instructions fsinα,i as superior to his own subordinates, while s as subordinate carries out the instructions fsoutα,i (Figure 3).

We assume that the ratio of s′s external output to s′s total output is a constant independent of sS. Through this paper, we denote the ratio of fsoutα,i to fsα,i as α ∈ [0, 1] for any sS. That is,

external outputfsoutα,i:internaloutputfsinα,i=α:1-α
for any sS. We call α the external output coefficient and call 1 − α the internal output coefficient.

2.3. Weights’ Policy

For a given organizational structure tree T, we assume that the value of the input for subordinate xN(s) with x > s is obtained by multiplying its weight {wsxi} to fsinα,i (see Figure 3 again). Where

0wsxi1
for any sS \ L(T), x > s of xN(s) and
1xN(s),x>swsxideg*s
for any sS \ L(T). Therefore, the total contribution of sS \ L(T) for the organization can be expressed by
(xN(s),x>swsxi)fsinα,i+fsoutα,i.

We assume that (wsxi)xN(s),x>s for sS \ L(T) is a sequence depending only on deg*s and i𝒜. That is, for s, s′S \ L(T) s,s′ and i𝒜, deg*s = deg*s′ implies that (ws'xi)xN(s),x>s' is a permutation of (wsxi)xN(s),x>s . Thus, for a fixed deg*s and i𝒜, the selection that we can do is which weight to assign whom. We call the way of the determination a weights’ policy. For any weights’ policy, we assume that if deg*s ≧ deg*s′ for s, s′S,

wsx1iwsx2iandws'x'1iws'x'2i,
then (wsxi)xN(s),x>s and  (ws'x'i)x'N(s),x'>s' satisfy
wsxjiws'xji
for j = 1, 2, …, deg*s′.

2.4. Communication Style

The weights’ policy is a parameter determined by the communication style in the organization. Typical ones are the following two cases;

  1. (1)

    Complete Individual Guidance (CIG)

    xN(s),x>swsx i=1foranysSL(T).

  2. (2)

    Complete Group Guidance (CGG)

    xN(s),x>swsxi=deg*sforanysSL(T).

The case of (1) CIG is an organization like a secret society. Since a superior gives an instruction to his/her subordinates individually, the members of the organization do not know about each other’s work. In such organizations, when new member joins the organization, or a member of the organization leave the organization, its efficient organization cannot be constructed unless the existing organization is broken once.

On the other hand, the case of (2) CGG is an open organization. The characteristic of an organization with such a communication style is that it is stable in the sense that there is no need to significantly change the composition of the whole organization when new member joins it. Roughly speaking, the reason why CGG has such a property is that when we convert T to

T'=T-xs+ys
for T, T′ ∈ 𝒯(S), s, x, yS, sN(x), s > x, the evaluation function is affected only by the part of the up closure of s (Figure 4).

Figure 4

Conversion from T to T′.

CIG and CGG are extreme cases, the general style is intermediate between them.

2.5. Evaluation Function

To summarize so far, for a given evaluation system (S, {φi}i𝒜), a rooted tree T with root r and V(T) = S, sS, i𝒜 and an external output coefficient α ∈ [0, 1], fsα,i and fsα,i denote the input and the output of sS, respectively. And  fsoutα,i and fsinα,i  denote the external and the internal outputs of sS for the organization, respectively. Then, we define as follows:

fsα,i=φi(s) fsα,ifsα,i={1ifs=root,wp(s)si fp(s)inα,iotherwise.

Where {wxyi} denote the weights from xS \ L(T) to yN(x) with respect to i𝒜 in an arbitrarily fixed T. And p(s) denotes the parent node (as superior) of xS on T. Under the assumption of external and internal output, we define

fsinα,i={0ifsL(T),(1-α)fsα,iotherwise,fsoutα,i={fsα,iifsL(T),αfsα,iotherwise.fsα,i=fp(s)inα,i+fp(s)outα,i,
For a given evaluation system (S, {φi}i𝒜) an external output coefficient α ∈ [0, 1] and a given weights’ policy, let T be a rooted tree graph with V(T) = S. Then, we will evaluate the rooted tree T as organization model by
Φ(α)(T)=i𝒜Φ(α ,i)(T),Φ(α,i)(T)=max{wxyi}i𝒜fsout(α,i)(T)
Here {wxyi} shall be taken about all the possible combinations under the given weights’ policy. For a given (S,{φi}i𝒜) and α ∈ [0, 1], we call Φ(α) (T) the ability value of T. Under a given weights’ policy, Topt(α) is an efficient tree for a given external output coefficient α ∈ [0, 1], if maxT𝒯(S)Φ(α)(T) is attained by Φ(α)(Topt(α)) . Here 𝒯(S) denotes the set of rooted tree graph with V(T) = S.

3. RESULTS

Theorem 1.

Under the setting of Complete Group Guidance, suppose that (S,{φi}i𝒜) is an evaluation system such that S = {s1, s2, ..., sn} with

φi(s1)φi(s2)φi(sn)
for some i𝒜. Assume that maxT𝒯(S)Φ(α,i)(T) is attained by Topt(α,i) , then we have the following.
  1. (a)

    Assume that φi(sn) ≥ 2 / (1 – α), then we see that one of Topt(α,i) is the path graph in Figure 5 (1).

  2. (b)

    Assume that φi(s2) ≤ 1/(1 – α), then we see that one of Topt(α,i) is the star graph in Figure 5 (2).

Figure 5

An efficient organization structure.

The typical form of an efficient tree with respect to some i𝒜 is a path graph or star graph as in Theorem 1. In general, we can show that the form of Topt(α,i) becomes the form which seems to have put these two figures together.

For a given (S,{φi}i𝒜) and its organizational structure tree T, let us define

D2(T)={sS|deg*(s)2}

Theorem 2.

Under the setting of CGG, suppose that (S, {φi}i𝒜) is an evaluation system. Assume that maxT𝒯(S)Φ(α,i)(T) is attained by Topt(α,i) for some i𝒜, then we have the following.

  1. (a)

    |D2(Topt(α,i))| is equal to 0 or 1.

  2. (b)

    Putting D2(Topt(α,i))={x} when |D2(Topt(α,i))|=1 , then we see that

    {sS|s>xinTopt(α,i)}=L(Topt(α,i)).

The general form of the most efficient tree Topt(α,i) which Theorem 2 insists on is shown in Figure 6.

Figure 6

General form of Topt(α,i) for some i𝒜.

4. CONCLUSION

In this paper, we introduced that the conclusions of the papers [1,2] are also valid under a new mathematical model of the organization [3,4]. The details of the proof are omitted, but they can be shown in the same way as the papers [1,2]. Eventually, even in the improved new mathematical model, we found that the efficient organizational shape can be classified into the three types shown in Figure 7, whenever the organizational communication style is CGG and there is only one organizational evaluation.

Figure 7

Three types of efficient trees.

However, Yoshimura et al. have experimentally shown that there are efficient organizational shape other than these three in the general communication style. The theoretical analysis of the general case remains an open problem.

CONFLICTS OF INTEREST

The authors declare they have no conflicts of interest.

ACKNOWLEDGMENTS

The authors are much indebted to M. Yoshimura for his invaluable comments.

Authors Introduction

Dr. Satoshi Ikeda

He received PhD degree from Hiroshima University. He is an Associate Professor in the Faculty of Engineering, University of Miyazaki. His research interests include graph theory, probabilistic algorithm, fractal geometry and measure theory.

Dr. Makoto Sakamoto

He received the PhD degree in Computer Science and Systems Engineering from Yamaguchi University in 1999. He is presently an Associate Professor in the Faculty of Engineering, University of Miyazaki. His first interests lay in hydrodynamics and time series analysis, especially the directional wave spectrum. His current main research interests are automata theory, languages and computation.

Dr. Takao Ito

He is Professor of Management of Technology (MOT) in Graduate School of Engineering at Hiroshima University. He is serving concurrently as Professor of Harbin Institute of Technology (Weihai) China. He has published numerous papers in refereed journals and proceedings, particularly in the area of management science, and computer science. He has published more than eight academic books including a book on Network Organizations and Information (Japanese Edition). His current research interests include automata theory, artificial intelligence, systems control, quantitative analysis of inter-firm relationships using graph theory, and engineering approach of organizational structures using complex systems theory

REFERENCES

[1]S Ikeda, T Ito, and M Sakamoto, An efficient structure of organization, in International Interdisciplinary Workshop on Robotics, Ecosystem, and Management (Yamaguchi, Japan, 2010), pp. 72-78.
[3]S Ikeda, T Ito, and M Sakamoto, A mathematical model of hierarchical organization, in International Conference on Pure Mathematics and Applied Mathematics (PM-AM2015) (Vienna, Austria, 2015), pp. 423-432.
[4]S Ikeda, T Ito, M Sakamoto, and T Ito, An evaluation model of internal and external contributions in hierarchical organizations, Int. J. Math. Mod. Methods Appl. Sci., Vol. 9, 2015, pp. 636-645.
Journal
Journal of Robotics, Networking and Artificial Life
Volume-Issue
6 - 2
Pages
128 - 132
Publication Date
2019/09/11
ISSN (Online)
2352-6386
ISSN (Print)
2405-9021
DOI
10.2991/jrnal.k.190828.012How to use a DOI?
Copyright
© 2019 The Authors. Published by Atlantis Press SARL.
Open Access
This is an open access article distributed under the CC BY-NC 4.0 license (http://creativecommons.org/licenses/by-nc/4.0/).

Cite this article

TY  - JOUR
AU  - Satoshi Ikeda
AU  - Makoto Sakamoto
AU  - Takao Ito
PY  - 2019
DA  - 2019/09/11
TI  - An Efficient Structure of Organization with Complete Group Guidance
JO  - Journal of Robotics, Networking and Artificial Life
SP  - 128
EP  - 132
VL  - 6
IS  - 2
SN  - 2352-6386
UR  - https://doi.org/10.2991/jrnal.k.190828.012
DO  - 10.2991/jrnal.k.190828.012
ID  - Ikeda2019
ER  -