Journal of Statistical Theory and Applications

Volume 19, Issue 1, March 2020, Pages 75 - 90

Construction, Characterization, Estimation and Performance Analysis of Selection Generalized Nakagami Distributions with Environmental Applications

Authors
Mervat Mahdy*, Dina Samir
Department of Statistics, Mathematics and Insurance, College of Commerce, Benha University, Egypt
*Corresponding author. Email: drmervat.mahdy@fcom.bu.edu.eg
Corresponding Author
Mervat Mahdy
Received 3 August 2018, Accepted 11 March 2019, Available Online 6 March 2020.
DOI
10.2991/jsta.d.200224.003How to use a DOI?
Keywords
Nakagami distribution; Selection model; Distribution theory; Moment generating function; Log-likelihood function; Monte Carlo simulation
Abstract

In this article, a selection of Nakagami distribution is investigated. Some properties of the model with some plots of the density function are illustrated. Additionally, weighted of the one-sided Gaussian distribution, Generalized Rayleigh distribution are discussed as a special case of Generalized Nakagami distribution. In addition, maximum likelihood estimators are investigated with numerical methods and are compared by four sub-models with a real wave height data set. Finally, a simulation study is presented for parameters.

Copyright
© 2020 The Authors. Published by Atlantis Press SARL.
Open Access
This is an open access article distributed under the CC BY-NC 4.0 license (http://creativecommons.org/licenses/by-nc/4.0/).

1. INTRODUCTION

Nakagami distribution (NA) is useful for modeling the fading of radio signals and other areas of telecoms engineering. It has the applications in medical imaging investigation to model the ultrasounds especially in Echo (heart efficiency test). It is also helpful for modeling high-frequency seismogram envelopes. The reliability theory also make wide use of the NA distribution. By reason of the memory less property of this distribution, it is well appropriate to model the constant hazard rate portion; as it is used in reliability theory. Also, it is also used in the study of failure times of electrical components. On the other hand, the NA distribution is the excellence distribution to check the reliability of electrical component as compared to Gamma, Weibull and lognormal distributions.

The random variable X has the NA distribution if its probability density function is defined as follows:

gxμ,Ω=2μΩμx2μ1expμx2ΩΓμ,μ>0;Ω>0,x>0,(1)
where μ is a shape parameter and Ω is a second parameter controlling spread (scale parameter). The cumulative distribution of a random variable from (1) can be obtained as
G(x|μ,Ω)=1Γ(μ)γ(μ,μx2Ω),(2)
where γ.,. is the incomplete gamma function. In Telatar [1], Gxμ,Ω is represented in terms of an incomplete gamma function dependent on the average signal-to-noise ratio (μx2Ω) which we denoted by ASNR. This allows the system to be characterized. The NA distribution covers a wide range of fading conditions. A special case of the NA distribution in which μ=0.5 implies the one-sided Gaussian distribution (OG). Also, when μ=1, it implies the Rayleigh distribution RA. In addition, if Y belongs to gamma distribution with shape and scale parameters θ1 and θ2 respectively, then Y belongs to NA distribution with parameters μ=θ1 and Ω=θ1θ2. Finally, if 2μ is integer-valued and if B follows a chi distribution with parameters 2μ, hence Ω2μBgxμ,Ω.

The problem of modeling lifetime of systems and components in reliability theory and survival analysis among other sciences is very important. In some real situations the measurements are not reported according to the standard distribution of the data. This may be due to the fact that the units of a population have unequal chances in order to be recorded by investigator. In a special case, the probability of recording data from the main population depends on size (length) of the data. The random sample drawn in this way is called a size-biased sample.

In this article, we pay attention to a selection model from the NA distribution. Selection distributions have been considered extensively by many authors; for a best survey of estimation method discussions and applications, see Heckman [2], Copas and Li [3], Arrellano-Valle et al. [4], Signer et al. [5], Balakrishnan et al. [6], Zamani et al. [7] and Arashi et al. [8] and more recently. The organization of this paper is as follows: In Section 2, we present definition and some representations of this model. In Section 3, some important properties are discussed. Also, numerical methods and graphs helped to picture some measures are obtained. Statistical inferences by numerical methods are fulfilled in Section 4 to estimate the parameters of the introduced distribution with real wave height data. In Section 5, the explanation of various estimators compared by performing the Monte Carlo simulation is studied.

We use the notation XDY to mean that X and Y are equal in distribution.

2. DEFINITION

Let AR+ and BR+ be two random vectors and D to be a measurable subset of R+. Arellano-Valle et al. [4] studied a weighted distribution as the conditional distribution of B given AD. Clearly, a p–dimensional random vector Xw is said to have a multivariate weighted density function with parameters depending on the characteristics of A, B and D, if XwDBAR. If B has a pdf, fB, then Xw has a pdf as follows:

fXwx=fBxPrADB=xPrAD.(3)

The random variable Xw is called the weighted version of X, and its distribution in relative to X is called the weighted distribution of X with weight function wx. Some special weighted functions are mentioned in Patil [9] and Azzalini [10].

Let X be a random variable with the probability density function (1) and let we selected generalized weighted function as mentioned in Patil [9] as

w(x)=xθFi(x)F¯j(x).

Then, by (3) we have

fXw(x)=xθFi(x)F¯j(x)g(x)Eg[xθFi(x)F¯j(x)];x>0.(4)

According to (1), we have

Ii,j,θμ,Ω=EgxθFixF¯jx=2μΩμΓμ01Γμγμ,μx2Ωi×1γμ,μx2ΩΓμjx2μ+θ1expμx2Ωdx.(5)

As mentioned in Gradshteyn and Ryshik [11], we know that the lower incomplete gamma function can be rewritten as

γα,x=xαα×1F1α;1+α;x,

According to Gradshteyn and Ryshik [11] α and x are parameters and 1F1.;.;. is the generalized hypergeometric function with one parameter of type 1 and one parameter of type 2. Suppose for a reasonably low outage probability, the ASNR has to be sufficiently large, that is, the term μx2Ω in (2) has to be small, we invoke an asymptotic expansion of the confluent hypergeometric function at small x. From the series expansion in Gradshteyn and Ryshik [11], we observe that 1F1α;1+α;x1 for x0. By taking γμ,μx2ΩΓμ=u, we get that (5) can be expressed as

Ii,j,θμ,Ω=Ωμθ2Γμ+1θ2μBj+1,i+θ2μ+1,(6)
whereas B.,. is beta function. By using (4) and (6), and after some elementary algebra, we have Generalized Nakagami density function, GN, (denoted as GNi,j,θ,μ,Ω) as follows:
fXwx=φ1μ,θ,Ωφ21μ,θ,Ω,x>0,(7)
where
  • φ1μ,θ,Ω=2γμ,μx2ΩΓμγμ,μx2Ωjx2μ+θ1expμx2Ω;

  • φ2μ,θ,Ω=Ωθ2+μμθ1μ2μ22μΓi+j+θ2μ+1μBj+1,i+θ2μ+1.

In addition, we can conclude that a generalized OG distribution (denoted as fXw[1](x)) and a Generalized RA distribution (denoted as fXw[2](x)) as sub-models of (7) as respectively follows:

fXw[1](x)=πj+θ+12φ3(μ,θ,Ω)φ41(μ,θ,Ω),xR+,
and
fXw[2](x)=φ41(μ,θ,Ω)φ5(μ,θ,Ω),xR+,
where erfx is error function,
  • φ3μ,θ,Ω=2θ+12erfx12Ωiππerfx12Ωjxθexpx22Ω,

  • φ4μ,θ,Ω=Ωθ+12Bj+1,i+θ+1 and

  • φ5μ,θ,Ω=2γ1,x2Ωi1γ1,x2Ωjxθ+1expx2Ω.

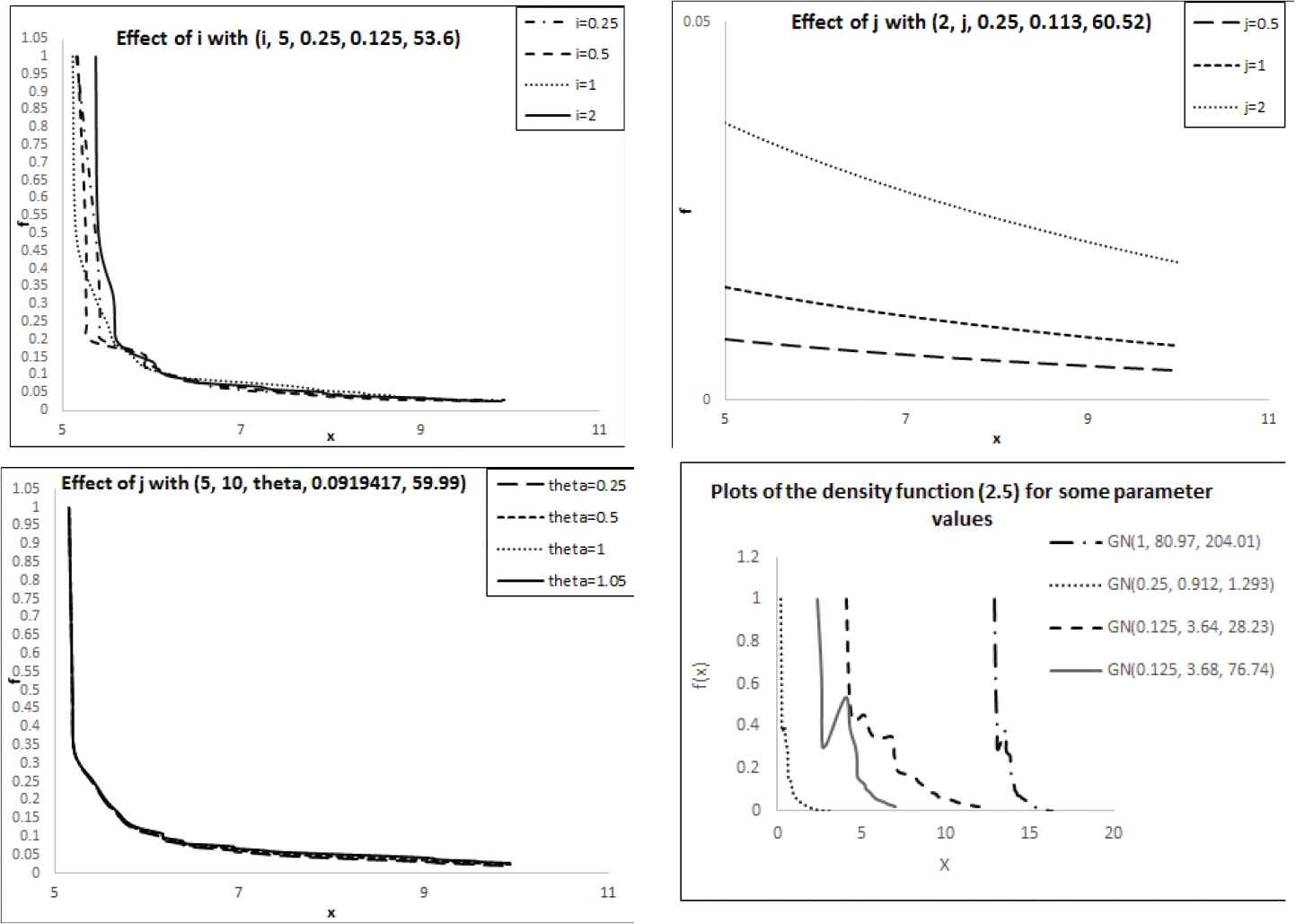
Now, we consider the effect of any parameter on the pdf of GNi,j,θ,μ,Ω introduced in (7) with Figure 1. In each panel, one of the parameters changes in first three panels and in the last panel we change all parameters with together.

Figure 1

Plots of the density function with effect of parameters.

We furnish two simple formula for pdf of the GNi,j,θ,μ,Ω distribution, if j>0 or j>0. First, if |x|<1 and j+, it follows the series (Nadarajah and Kotz [12], p. 324, Eq. (1.7))

(1x)j=y=0(1)yΓ(j+1)Γ(jy+1)y!xy.(8)

Using the series representation (8), the pdf of the GNi,j,θ,μ,Ω distribution for |γμ,μx2ΩΓμ|<1 and j+ can be expanded as

fXwx=2ϰ21x,θ,μ,Ωy=01yΓj+1ΓyμΓjy+1y!μx2Ωμi+yμi+y×ϰ1x,θ,μ,Ω,
where
  • ϰ1x,θ,μ,Ω=1F1μ;1+μ;μx2Ωi+yx2μ+θ1expμx2Ω;

  • ϰ2x,θ,μ,Ω=Ωθ2+μμθ1μ2μ22μΓi+θ2μ+1μBj+1,i+θ2μ+1.

By using confluent hypergeometric function Rainville ([13], p. 123) we can be rewrite the pdf of the GNi,j,θ,μ,Ω distribution as

fXwx=2y=01yΓj+1ΓyμΓjy+1y!μx2Ωμi+yμi+y×n=0μnμ+1nμx2Ωnn!i+yx2μ+θ1expμx2ΩΩθ2+μμθ1μ2μ22μΓi+θ2μ+1μBj+1,i+θ2μ+1.(9)

If ((μ)n((μx2Ω))n)((μ+1)nn!)<1 and na is Pochhammer's symbol, Eq. (9) can be rewritten as

fXwx=2y=0n=0φμ,jy,nx2μ+θ+2n21+2μi+2yexpμx2ΩμΩμΓi+1μIi,j,θμ,Ω,(10)
where
φμ,jy,n=1y+n2Γj+1n+1i+y1ΓyμΓjy+1y!i+y1!μΩμi+y+n2n!nμi+yμnμ+1nn.

Now, we can obtain cumulative distribution function of the GNi,j,θ,μ,Ω in this case as follows:

FXwx=2y=0n=0φμ,jy,n0xu2μ+θ+2n21+2μi+2yexpμu2ΩduμΩμΓi+1μIi,j,θμ,Ω.

Now, on setting t=μu2Ω,FXwx reduces to

FXwx=y=0n=0φμ,jy,n0μx2Ωtμ+θ2+n21+μi+yexptdtμΩθ2+n2+μi+yΓi+1μIi,j,θμ,Ω.

Then we have

FXwx=y=0n=0φμ,jy,nγμi+1+θ2+n2+y,μx2ΩμΩθ2+n2+μi+yΓi+1μIi,j,θμ,Ω.

If μ+θ2+n2Z+, then

FXwx=y=0n=0φμ,jy,nμ+θ2+n21!1expμx2Ωw=0μi+1+θ2+n2+y1μx2Ωww!μΩθ2+n2+μi+yΓi+1μIi,j,θμ,Ω.(11)

Second, by application of the binomial expansion in (7), when jZ+, we can rewrite (7) as follows:

fXwx=2k=0j1kjk1Γμk+i+1γμ,μx2Ωk+ix2μ+θ1expμx2ΩμΩμIi,j,θμ,Ω.(12)

With same assumptions in (10) and same steps, we can represent (12) as follow:

fXwx=2k=0jn=0ϖμ,j,in,kμnn!μ+1nnx2μk+i+2μ+θ1+2n2expμx2ΩIi,j,θμ,Ω,(13)
where ϖμ,j,in,k is given in Appendix.

Also, the cumulative distribution function in this case can be followed with same technique.

FXwx=k=0jn=0ϖμ,j,in,kμnn!μ+1nnΩμμk+i+μ+θ2+n2γμk+i+μ+θ2+n2,μx2ΩIi,j,θμ,Ω.

If μk+i+μ+θ2+n2+, we have

FXwx=k=0jn=0ϖμ,j,in,kcμ,Ω,,in,k1expμx2Ωw=0μk+i+μ+θ2+n21μx2Ωww!Ii,j,θμ,Ω,(14)
where cμ,j,in,k=μnn!μ+1nnΩμμk+i+μ+θ2+n2μk+i+μ+θ2+n21!.

3. PROPERTIES OF THE GN DISTRIBUTION

We need to emphasize the importance of hazard rate, reversed hazard rate, moments and moment generating functions in any statistical analysis especially in applied issues. An advantages and characteristics of a distribution can be studied through measures of central tendency; dispersion functions; measures of skewness and kurtosis.

The hazard rate rx=fXwx1FXwx, and reversed hazard rate functions r̃x=fXwxFXwx of GNi,j,θ,μ,Ω can be obtained directly using Equations (1012, 14).

Now, we consider the effect of any parameter on reversed hazard function with Figure 2. In each panel, one of the parameters is changed.

Figure 2

Plots of reversed hazard function with effect of parameters.

If X~GNi,j,θ,μ,Ω, then the rth moment is given by

E(Xr)=y=0n=0φμ,jy,nΓμi+1+θ+r2+n2+yΓi+1μIi,j,θμ,Ω.

If ((μ)n((μx2Ω))n)((μ+1)nn!)<1, |γμ,μx2ΩΓμ|<1, j+ and

τμ,jy,n=1y+n2Γj+1n+1i+y1ΓyμΓjy+1y!i+y1!Ωμθ2+r2n!nμi+yμnμ+1nn.

Also, if j+, we obtain E(Xr) as

E(Xr)=k=0jn=0ϖ¯μ,j,in,kΓμk+i+μ+θ2+n2,
where ϖ¯μ,j,i(n,k)=ϖμ,j,i(n,k)((μ)n(n!(μ+1)n))n([(μΩ)]μ(k+i)+μ+θ2+n2Ii,j,θ(μ,Ω)). Now, The skewness and kurtosis measures can be obtained from the ordinary moments utilizing well-known relationships.

If X~GNi,j,θ,μ,Ω, then its moment generating function is given by

Mt=2y=0n=0φμ,jy,n0x2μ+θ+2n21+2μi+2yexpμx2Ω+txdxμΩμΓi+1μIi,j,θμ,Ω.

Substituting u=μx2Ω+tx, we have

Mt=y=0n=02φμ,jy,n0t2+4μΩu0.5t±t2+4μΩu2μ+θ+2n21+2μi+2yexpudu2μΩ2μ+θ+2n21+2μi+2yμΩμΓi+1μIi,j,θμ,Ω.

Hence, for 2μ+θ+2n21+2μi+2y>0 integer, and by taking 2μ+θ+2n21+2μi+2y=d, and d+, we can obtain

Mt=y=0n=02φμ,jy,ns=0d±1sdstds04uμΩ+t2s12expudu2μΩ2μ+θ+2n21+2μi+2yμΩμΓi+1μIi,j,θμ,Ω,=y=0n=0s=0dds2φμ,jy,n±1stds4μΩs12Γs+12,t24μΩexpt24μΩ2μΩ2μ+θ+2n21+2μi+2yμΩμΓi+1μIi,j,θμ,Ω.

It is not possible to compute the median and mode explicitly. The mode is obtained from the equation below

μx2Ωμ1eμx2Ωiγμ,μx2Ω1jΓμγμ,μx2Ω1=2μxΩ2μ+θ1x1.

To obtain the median, we consider that Fx=12, hence

y=0n=0φμ,jy,nμ+θ2+n21!1expμx2Ωw=0μi+1+θ2+n2+y1μx2Ωww!μΩθ2+n2+μi+yΓi+1μIi,j,θμ,Ω=12,
if μ+θ2+n2Z+, otherwise we should solve the following equation to obtain the median:
k=0jn=0ϖμ,j,in,kcμ,Ω,,in,k1expμx2Ωw=0dμx2Ωww!=Ii,j,θμ,Ω2,
where d=(μ(k+i)+μ+θ2+n21).

These central indices computed numerically, and we show output for some values that indicate in the Table 1 as

(θ,μ,Ω) Mean Median Mode
(1, 80.97, 204.01) 14.2838 14.1990 14.2357
(0.5, 93.49, 196.89) 14.0072 13.9790 14.0198
(0.25, 0.912, 1.293) 1.0091 0.9493 1.0548
(0.125, 3.68, 76.74) 5.4827 5.4178 4.9304
(0.125, 3.64, 28.23) 8.9588 8.8974 8.6173
Table 1

The mean, median and mode of GNθ,μ,Ω.

The basic uncertainty measure for density function f is differential entropy

HX(f)=E[lnfX(X)]=0fX(x)ln1fX(x)dx.

The differential entropy of a non-negative absolutely continuous random variable X, is also known as Shannon information measure or sometime called dynamic measure of uncertainty. Intuitively speaking the entropy gives the expected uncertainty contained in fx about the predictability of an outcome of X, see Ebrahimi and Pellerey [14]. It also measure how the distribution spreads over its domain. A high value of HX corresponds to a low concentration of the probability mass of X.

When θ=1,i=j=0, the density function in (7) is referred to as length-biased distribution. Then, we have

Exθ=1ΓμΩμθ2Γμ+θ2.

Hence,

HXfXwx=ln2+μ+θ2lnμΩ1+2μ+θ12ψμ+θ2lnμΩlnΓμ+θ2,
where
0tv1lntexpptdt=Γvpvψvlnp.

Also, Havrda and Charvat [15] introduced β–entropy class as follows:

Hβ(fXw(x))=1β110fXwβ(x)(x)dx;β1,β>0,H(fXw(x))β=1,,(15)
where β is a non-stochastic constant, by using (15) and (7) and after some elementary algebra, we have:
0xθβGiβxG¯jβxgβxμ,Ωdx  =Ωμβθ2Γμ+1βθ2μBjβ+1,βi+θ2μ.

Hence

HβfXwx=1β11Bjβ+1,βi+θ2μBβj+1,i+θ2μ+1;
for all β>1.

4. NUMERICAL ILLUSTRATION

In this section, we consider the problem of statistical inference about generalized weighted of the NA distribution such as maximum likelihood estimator (MLE) of the unknown parameters, asymptotic distribution and bootstrap confidence intervals and bias reduced maximum likelihood.

4.1. MLE and Asymptotic Distribution

Let X1,X2,,XN be random variables that are i.i.d. according to (7) and Θ=i,j,θ,μ,ΩT. The log-likelihood function of the independent multivariate generalized weighted of the NA distribution based on X1,X2,,XN is given by

ln=i=1Nlngwθ,i,jx=ik=1Nlnγμ,μxk2Ω+jk=1NlnΓμk=1Nγμ,μxk2Ω+2μ+θ1k=1Nlnxkk=1Nμxk2Ω+Nln2Nθ2+μlnΩNθ1μ2μ22μlnμNi+j+θ2μ+1lnΓμNlnBj+1,i+θ2μ+1,(16)
where xk,k=1,,N are samples of Xk,k=1,,N, and we simply apply the chain rule:
xlnΓx+k=γ+r=11r1r+x+k1,
where γ is the Euler–Mascheroni constant. Let Cu=μμ1xu2Ωμexpμxu2Ω, ζ=Γμk=1Nγμ,μxk2Ω and ψxtr.=ψ0.x denotes the trigamma function, then the score function is given by U(X1,X2,,XN|Θ)=(lni,lnj,lnθ,lnμ,lnΩ)T, where
lni=k=1Nlnγμ,μxk2ΩNlnΓμNψ0i+θ2μ+1ψ0i+θ2μ+j+2,(17)
lnj=k=1NlnζNlnΓμNψ0j+1ψ0i+j+θμ+2,(18)
ik=1NCkγμ,μxk2Ω+NjψμΓμk=1NCkζ+2k=1Nlnxkk=1Nxk2ΩNlnΩlnμ=Nlnμ4μ22θ4μ2+θ1μ2μ22μ2lnΓμθN2μ2Nψ0μi+j+θ2μ+1+Nθ2μ2ψ0i+θ2μ+1ψ0i+j+θ2μ+2
lnΩ=k=1Nμxk2Ω2iΩ2μ2μμ+2k=1Nxk21μCkγμ,μxk2Ω+jNΩ2μ2μμ+2k=1NCkxk21μζNΩθ2+μ,
lnθ=k=1NlnxkNlnΩ2Nlnμ1μ2μNlnΓμ2μN2μi+θ2μ1+2μγ+r=11r1r+i+θ2μ12μj+i+θ2μ+112μj+i+θ2μ12μγ+r=11r1r+j+i+θ2μ1,
and ψnx is the polygamma function, defined in Abramowitz and Stegun ([16], p. 258), we simply apply the chain rule:
xlnΓx+k=γ+r=11r1r+x+k1,
where γ is the Euler–Mascheroni constant.

The ML estimation of Θ, Θ̂, requires solving the non-linear system U(x,Θ)=0, which does not lead to a closed-form expression for Θ̂. Then we require numerical methods to estimate Θ. An asymptotic expansion of ψ0x is provided in Abramowitz and Stegun ([16], p. 259), and by using the first order approximation ψ0xlnx12x in (17 and 18), we obtain the ML estimation of Θ=i,j,θ,μ,ΩT as a solution of the following fixed-point type equations;

gi^=i^,gj^=j^,gθ^=θ^,gμ^=μ^,and gΩ^=Ω^.

This solution can be obtained by simple iterative procedure, for instance suppose we start with an initial guess μ̂0, then the next iteration μ1 can be obtained as μ̂1=gμ̂0, similarly, μ̂2=gμ̂1 and so on. Finally the iterative procedure should be stopped when μ̂iμ̂i+1<ε, where ε is a pre-assigned tolerance value. Also, to compute the standard error, approximate confidence intervals and hypothesis testing of Θ, we use the information matrix that does not have a closed form. Then we use observed information matrix, defined as ςΘ=TlnΘ=Θ.

Also,

H^XfXwx=ln2+μ^+θ^2lnμ^Ω^1+2μ^+θ^12ψμ^+θ^2lnμ^Ω^lnΓμ^+θ^2,(19)
and
H^βfXwx=1β11Bj^β+1,βi^+θ^2μ^Bβj^+1,i^+θ^2μ^+1.(20)

According Migon et al. [17] we can treat MLE as approximately hepta-variate normal; consequently, when n we can compute the standard error and asymptotic confidence intervals for Θ by using the expected fisher information matrix (EJΘ), given by

EJΘ=J^11J^15J^55,
where elements of this matrix (JΘ) based on a single observation is given in Appendix. Also, the asymptotic joint distribution of the maximum likelihood of Θ̂ can be stated as
nii^jj^θθ^μμ^ΩΩ^dN50,EJ1,
where d denotes convergence in distribution and J1 is the inverse of the fisher information matrix J with
1nJ1=1nJ^11J^15Ĵ551=1nVari^Covi^,j^Covi^,θ^Varj^Covj^,θ^Varθ^.

Then asymptotic equal tailed 100(1κ)% confidence intervals for Θ can be determined as:

ı^±zκ2Var(ı^);ȷ^±zκ2Var(ȷ^);μ^±zκ2Var(μ^);Ω^±zκ2Var(Ω^);θ^±zκ2Var(θ^),
where zκ is 100κth percentile of N(0,1).

4.2. Simulation

To generate NA distributed samples, we can use the relationship between NA random variable X, and gamma random variable Y, that is Y=X2, for generating gamma distributed samples, we used Matlab programming. Without loss of generality throughout the simulations, we generated data with i=j=0, and θ=2 for Φ=μ,Ω,H,Hβ that appear in (16), (19) and (20) by using the Monte Carlo simulation as follows.

  1. Generate random samples of sizes n = 25, 50, 75, 100 for each choice of the vector of the parameters Θ=μ,Ω,H,Hβ

  2. The estimates are obtained by maximizing (16) numerically.

  3. The bias and mean square errors (MSE) of the estimations are calculated based on 1000 Monte Carlo repetitions. and the results are presented in Tables 2 and 3.

  4. From Tables 2 and 3, we see that in most of the considered cases, the MSE of the estimation parameters decrease as n increases. The first 1000 simulations of the estimates and their biases are plotted in Figures 3 and 4.

Figure 3

Box plot of the estimates Φ^=(μ^,Ω^,H^,H^β).

Figure 4

QQ plot for the bias of Φ^=(μ^,Ω^,H^,H^β).

The box plot in Figure 3 shows that among 1000 simulated estimates, there are 11 outliers for estimating μ, six outliers for estimating Ω, five outliers for estimating H and ten outliers for estimating Hβ. The probability plots in Figure 4 show that the biases of estimates, follow normal distributions that shown the data fit the GN model well, except the outliers are evident at the high and low end of the range.

Φ=(μ,Ω,H,Hβ) n μ̂ Ω̂ H^ H^β
25 1.66471 −0.0097242 0.1288861 0.3051938
9,0.05,1.9,0.9 50 0.83921 −0.0097206 0.1069311 0.2479989
75 0.78625 −0.0092648 0.1165099 0.0756641
100 0.49690 −0.0097457 0.0977865 0.1894217
25 6.35943 0.25078738 −0.6844654 0.1247769
21,0.3,1.4,0.997 50 5.34456 0.25220518 −0.699643 0.0948707
75 4.06696 0.23026453 −0.8001621 0.4420531
100 4.90382 0.25265919 −0.7125854 0.0991315
Table 2

Bias of the estimation of Φ^=μ^,Ω^,H^,H^β.

Φ=(μ,Ω,H,Hβ) n μ̂ Ω̂ H^ H^β
25 17.39353 0.000134 0.057585 2.794999
9,0.05,1.9,0.9 50 6.51417 0.000121 0.035095 2.153815
75 3.470943 8.87E-05 0.019668 0.005767
100 3.316798 0.000114 0.026113 1.46267
25 66.02313 0.063837 0.499707 0.141606
21,0.3,1.4,0.997 50 37.24665 0.063766 0.498175 0.009003
75 36.05122 0.059743 0.752393 1.621199
100 28.44723 0.064003 0.514119 0.028294

MSE: mean square errors.

Table 3

MSE of Φ^=μ^,Ω^,H^,H^β.

5. APPLICATIONS

5.1. Applications in Reliability

In next results, The application of the proposed model will be verified in the reliability theory based on three datasets. The GN distribution is compared with other usual two parameter lifetime distributions. The following lifetime distributions were considered.

5.2. Wave Height Data

The modeling of wave heights is used by mariners, as well as in coastal, ocean and naval engineering. Prevosto et al. [18], Mathiesen et al. [19] and Goda and Kobune [20] studied the heights of waves by RA distribution. In this subsection, an application of the NA distribution to this problem is described. The set of data we use are for the maximum down-crossing wave heights (Hmax D), in meters, for 23 abnormal waves, as reported by Petrova et al. ([21], p. 237). These waves were measured at the offshore platform North Alwyn in the northern part of the North Sea, about 100 miles east the Shetland Islands, during November storm in 1997.

The data are presented below:

Data set: 16.44, 18.17, 16.97, 13.51, 15.19, 17.63, 17.99, 20.29, 18.09, 11.7, 10.78, 13.17, 13.32, 19.92, 18.33, 19.44, 15.62, 16.43, 16.01, 13.46, 15.0, 13.47, 14.09.

In order to compare the four distribution models, we consider the criteria like AIC (Akaike information criterion), AICC (corrected Akaike information criterion) and BIC (Bayesian information criterion). The better distribution corresponds to lesser AIC, AICc and BIC values. Table 4 indicated that the GN distribution has the lesser AIC, AICC and BIC values compared to NA distribution, OG distribution and RA distribution. Hence, we can conclude that the GN distribution leads to a better fit than other models. Further, Table 5 reports the maximum likelihood estimates of the parameters, also, 95% asymptotic confidence intervals for the parameters are provided. Moreover, Figure 5 shows empirical and fitted distribution, we see that the GN provided a better fit for this data that NA distribution, OG distribution and RA distribution.

Model 2logL AIC AICc BIC
GN 100.277 104.277 104.877 106.548
NA 140.833 144.833 145.433 147.104
OG 202.2293 204.2293 204.4198 205.3648
RA 217.1838 219.1838 219.3743 220.3193

AIC: Akaike information criterion; AICC: corrected Akaike information criterion; BIC: Bayesian information criterion; GN: Generalized Nakagami; NA: Nakagami; OG: One-sided Gaussian distribution; RA: Rayleigh distribution.

Table 4

Goodness of fit criteria.

Model μ^ Ω^ H^ H^β=2
GN 9.8790342.34805,22.10612 234.762957165.8062,303.7197 −2.301852 0.9997
NA 9.4994.4774,23.4757 258.526697169.7344,347.319 2.36844 0.9455498
OG 12 738.512340.927,1517.95165 4.02811 0.9896195
RA 1 1475.756727.4213,2224.090 4.243923 0.9918437

GN: Generalized Nakagami; MLE: maximum likelihood estimator; NA: Nakagami; OG: One-sided Gaussian distribution; RA: Rayleigh distribution.

Table 5

Estimate of MLEs for wave data under four particular sub-models GN0,0,2,μ,Ω and asymptotic confidence intervals are in parentheses.

Figure 5

Empirical and fitted distributions.

CONFLICT OF INTEREST

Authors have no conflict of interest to declare.

APPENDIX

  1. ϖ¯μ,j,in,k that appear in (13):

    ϖμ,j,in,k=aμ,j,in,kbμ,j,in,k,
    where
    aμ,j,in,k=1kn2jkΓμk+i+1μk+ik+i1!1;
    bμ,j,in,k=n+1k+i1μΩμk+i+μ+n2μnn!μ+1nn;
    ϖ¯μ,j,in,k=ϖμ,j,in,kμnn!μ+1nn[μΩ]μk+i+μ+θ2+n2Ii,j,θμ,Ω.

  2. The fixed-point type equations for Θ=i,j,μ,Ω,θT:

    gî=expα1+lnα2+j+12α3α2θ2μ1,
    gĵ=1c1+2lnΓμ2ψ0π4+1+2lnj+11,
    gθ̂=1k=1NlnxkNlnΩ2Nlnμ1μ2μNlnΓμ2μN2μγ+r=11r1r+i+θ2μ1+2μj+i+θ2μ+11+2μj+i+θ2μ1+2μγ+r=11r1r+j+i+θ2μ12μi,
    gμ^=iπ1+Njπ2+2π3π6NlnΩ+θN2μ2lnΓμNψμπ4+Nθ2μ2[ψ0π4+jψ0π4+1]2Nπ512,
    and
    gΩ̂=Nθ2+μμΩπ6iΩ2μ2μμ+2k=1Nxk21μCkγμ,μxk2Ω+jNΩ2μ2μμ+2k=1NCkxk21μζ,
    where
    • α1=1Nk=1Nlnγμ,μxk2ΩlnΓμ,

    • α2=i+θ2μ+j+2,

    • α3=i+θ2μ+1,

    • c1=2k=1NlnζN,

    • π1=k=1Nμμ1xk2Ωμexp(μxk2Ω)γμ,μxk2Ω,

    • π2=[ψ(μ)Γ(μ)(μ)μ1k=1N(xk2Ω)μexp(μxk2Ω)]ζ,

    • π3=k=1Nlnxk,

    • π4=i+j+θ2μ+1,

    • π5=[{lnμ(4μ22θ)2}+θ(1μ)2μ2] and

    • π6=k=1Nxk2Ω.

  3. The elements of the 5×5 unit expected information matrix are given by

    J11=Nψitrπ4+1ψitrα3,J12=J21=Nψjtrπ4+1,
    J13=J31=k=1NϖCkxk2Ωμ+1Nψμtrα3ψμtrπ4+1+ψ0μ,
    J14=J41=k=1Nϖ1Ω2μ+3Ckμμ+2xk2μ+1,
    J15=J51=N2μ1i+θ2μ2+2μr=1r+i+θ2μ12+b1,
    J22=Nψjtrπ4+1ψjtrj+1,J23=J32=b2Nψ0μ+Nψμtrπ4+1,
    J24=J42=ζ1NΩ2μ3μμ+2k=1NCkxk2μ+1,
    J25=J52=2μNr=1r+π4222μN2μπ422μN2μπ412,
    J33=ik=1Nϖ2Ckϖ1b3μμ1xk2Ω+Njζ3b4k=1NCkb3ζb5Nb6+ψ0μθN2μ2lnΓμθNμ3Nb7+Nb8,
    J34=J43=ik=1Nϖ2ϖ1CkμΩ2xk2Ω+μμ+2Ω2μ3Ck2xk2μ+1+Njζ2ζμΩ2k=1NCkxkxk2Ω+b9+k=1Nxk2Ω2Nψ0Ω,
    J35=J53=Nμ2b10Nb11+b12+b13,
    J44=k=1N2μxk2Ω3+NΩ2θ2+μik=1Nϖ2Ω2μ3μμ+2Ckxk21μμ2+μxk2Ωik=1Nϖ2Ω4μ5μ22μCk2xk22μ+2+jNζ2ζμμ+2Ω2μ3k=1NCkxk21μμ2+1Ωμxk2jNΩ4μ5μ2μ+4ζ2k=1NCkxk2μ+1k=1NCkxk21μ,
    J45=N2Ω, andJ55=N2μα312+r=1r+α322+2μπ42+2μπ412r=1r+π422,
    where ϖi=1γiμ,μxk2Ω, b1=2μr=1r+π422μ2μπ422μ2μπ412, b2=k=1Nζ1Γμψ0μk=1NCkxk2Ω1μ, b3=lnμ+lnxk2Ωxk2Ω, b4=ψμtrμΓμ+ψ0μ2, b5=ψμΓμk=1NCk×ψ0μk=1NCkxk2Ωμ+1, b6=2μ1lnμ4μ2+2θ+21μ3θμ28μlnμ4μ2ψ0μ2θψ0μ, b7=θ2μ1ψμtrμθ2μ2ψ0μ,b8=θμ3ψ0α3+θ2μ2ψμtrα3+θμ3ψ0π4+1+θ22μ4ψμtrπ4+1, b9=ψμΓμk=1NCkμ2μk=1NCkxk2Ω21μγμ,μxk2Ω, b10=μ+lnμμΨ0μ+lnΓμ12, b11=2γ+2r=1r1r+i+θ2μ11112μ2α31, b12=12μ2π4+2π412μπ412θμr=1r+α322, b13=θμr=1r+π4222γ+r=11r1r+π42.

REFERENCES

7.H. Zamani, N. Ismail, and M. Shekari, J. Biostat. Epidemiol., Vol. 4, 2018, pp. 18-23.
9.G.P. Patil, A.H. El-Shaarawi and W.W. Piegorsch (editors), Encyclopedia of Environmetrics, John Wiley & Sons, Chichester, England, Vol. 4, 2002.
10.A. Azzalini, Scand. J. Stat., Vol. 12, 1985, pp. 171-178.
11.I.S. Gradshteyn and I.M. Ryzhik, A. Jeffrey and D. Zwillinger (editors), Table of Integrals, Series, and Products, sixth, Academic Press, New York, NY, USA, 2000.
13.E.D. Rainville, Special Functions, Chelsea Publ. Co., Bronx, NY, USA, 1971.
15.J. Havrda and F. Charvat, Kybernetika, Vol. 3, 1967, pp. 30-35.
16.M. Abramowitz and I.A. Stegun, Handbook of Mathematical Functions with Formulas, Graphs, and Mathematical Tables, Dover, New York, NY, USA, 1964.
17.H.S. Migon, D. Gamerman, and F. Louzada, Statistical Inference: an Integrated Approach, London, England, 2014.
20.Y. Goda and K. Kobune, in Proceedings of the International Conference on Coastal Engineering (Delft, The Netherlands), 1990.
Journal
Journal of Statistical Theory and Applications
Volume-Issue
19 - 1
Pages
75 - 90
Publication Date
2020/03/06
ISSN (Online)
2214-1766
ISSN (Print)
1538-7887
DOI
10.2991/jsta.d.200224.003How to use a DOI?
Copyright
© 2020 The Authors. Published by Atlantis Press SARL.
Open Access
This is an open access article distributed under the CC BY-NC 4.0 license (http://creativecommons.org/licenses/by-nc/4.0/).

Cite this article

TY  - JOUR
AU  - Mervat Mahdy
AU  - Dina Samir
PY  - 2020
DA  - 2020/03/06
TI  - Construction, Characterization, Estimation and Performance Analysis of Selection Generalized Nakagami Distributions with Environmental Applications
JO  - Journal of Statistical Theory and Applications
SP  - 75
EP  - 90
VL  - 19
IS  - 1
SN  - 2214-1766
UR  - https://doi.org/10.2991/jsta.d.200224.003
DO  - 10.2991/jsta.d.200224.003
ID  - Mahdy2020
ER  -