Journal of Statistical Theory and Applications

Volume 19, Issue 2, June 2020, Pages 223 - 237

Marshall–Olkin Power Generalized Weibull Distribution with Applications in Engineering and Medicine

Authors
Ahmed Z. Afify1, Devendra Kumar2, *, I. Elbatal3, 4
1Department of Statistics, Mathematics and Insurance, Benha University, Benha, Egypt
2Department of Statistics, Central University of Haryana, Haryana, India
3Department of Mathematics and Statistics, College of Science, Imam Mohammad Ibn Saud Islamic University, Riyadh, Saudi Arabia
4Department of Mathematical Statistics, Faculty of Graduate Studies for Statistical Research, Cairo University, Giza, Egypt
*Corresponding author. Email: devendrastats@gmail.com
Corresponding Author
Devendra Kumar
Received 12 December 2019, Accepted 26 April 2020, Available Online 21 May 2020.
DOI
10.2991/jsta.d.200507.004How to use a DOI?
Keywords
Marshall–Olkin-G Family; Maximum likelihood; Momemts; Power-generalized Weibull model
Abstract

This paper proposes a new flexible four-parameter model called Marshall–Olkin power generalized Weibull (MOPGW) distribution which provides symmetrical, reversed-J shaped, left-skewed and right-skewed densities, and bathtub, unimodal, increasing, constant, decreasing, J shaped, and reversed-J shaped hazard rates. Some of the MOPGW structural properties are discussed. The maximum likelihood is utilized to estimate the MOPGW unknown parameters. Simulation results are provided to assess the performance of the maximum likelihood method. Finally, we illustrate the importance of the MOPGW model, compared with some rival models, via two real data applications from the engineering and medicine fields.

Copyright
© 2020 The Authors. Published by Atlantis Press SARL.
Open Access
This is an open access article distributed under the CC BY-NC 4.0 license (http://creativecommons.org/licenses/by-nc/4.0/).

1. INTRODUCTION

The Weibull distribution has been used in modeling lifetime data with monotonic failure rates. It does not provide adequate fits to real data with unimodal or bathtub-shaped hazard rates, often encountered in engineering, medicine and reliability fields. Hence, several authors have constructed different generalizations and extended forms of the Weibull distribution to increase its flexibilty. For example, exponentiated Weibull [1], Marshall–Olkin extended Weibull [2], beta Weibull [3], Kumaraswamy Weibull [4], transmuted complementary Weibull geometric [5], Weibull-Weibull [6], odd log-logistic exponentiated Weibull [7], alpha logarithmic transformed Weibull [8], and odd Lomax Weibull [9] distributions.

Another Weibull extension called the power generalized Weibull (PGW) model pioneered by [10] and they used it in accelerated failure time models. The hazard rate function (HRF) of PGW model can be monotone, unimodal, and bathtub shaped.

The PGW model can be specified by the cumulative distribution function (CDF)

GPGW(x;λ,β,α)=1e11+λxβα,x>0,λ,β,α>0,(1)
where λ represents a scale parameter, β and α represent shape parameters.

The corresponding probability density function (PDF) and HRF take the forms,

gPGW(x;λ,β,α)=λβαxβ11+λxβα1e11+λxβα,x>0,λ,β,α>0
and
hPGW(x;λ,β,α)=λβαxβ11+λxβα1,x>0,λ,β,α>0,
respectively.

Some special cases of the PGW distribution are the Weibull distribution with parameters λ and β for α=1; the exponential distribution with parameter λ for α=β=1; the Rayleigh distribution with parameter λ for α=1 and β=2; and the Nadarajah-Haghighi (NH) model [11] with parameters α=1 and λ for β=1. Further applications of the PGW model can be explored in [12,13] and [14].

This paper is devoted to propose and study a new flexible extension of the PGW model called the MOPGW distribution, which has some desirable motivations as follows:

  • The MOPGW contains a number of well-known lifetime sub-models called, Marshall–Olkin Weibull [15], Marshall–Olkin-NH [16], NH [11], PGW [10], Weibull [17], exponential, and Rayleigh distributions, among others, see Table 1.

  • The PDF of the MOPGW distribution can be reversed-J shaped, right-skewed, concave down, left-skewed, or symmetric, see Figure 1. Further, its HRF takes some important forms such as, constant, monotone (decreasing or increasing), bathtub, upside down bathtub, and reversed-J shaped. Hence, the MOPGW distribution can be considered as a superior lifetime distribution to other models, which exhibit only monotonic and constant hazard rates, see Figure 2.

  • The MOPGW distribution is considered as a suitable model for modeling skewed data that cannot be properly modeled by other extensions of the Weibull distribution. Further, it can be utilized to model real data in many applied areas, such as engineering, survival analysis, medicine, and industrial reliability.

  • The kurtosis of the MOPGW distribution is more flexible as compared to the baseline PGW model, whereas its skewness varies within the interval (1.43529, 5.62470), whereas the PGW skewness can only range in the interval (-0.68927, 4.25756). Further, the MOPGW distribution can be leptokurtic (kurtosis >3) or platykurtic (kurtosis <3), see Table 2.

  • Two real-life data applications from the engineering and medicine sciences, prove that the MOPGW distribution outperforms nine other well-known competing lifetime distributions, motivating its usage in applied fields.

λ β α γ Distribution Authors
1 MO-Weibull [15]
1 1 MO-Exponential [15]
2 1 MO-Rayleigh
1 MO-NH [16]
1 PGW [10]
1 1 Weibull [17]
1 1 1 Exponential
2 1 1 Rayleigh [21]
1 1 NH [11]

MOPGW, Marshall-Olkin power generalized Weibull; MO, Marshall-Olkin; NH, Nadarajah-Haghighi; PGW, power generalized Weibull.

Table 1

Special cases of the MOPGW distribution.

Figure 1

Probability density function (PDF) shapes for the Marshall–Olkin power generalized Weibull (MOPGW) distribution considering different values of its parameters.

Figure 2

Hazard rate function (HRF) shapes for the Marshall–Olkin power generalized Weibull (MOPGW) distribution considering different values of its parameters.

α β γ μ σ2 γ1 γ2
0.5 0.5 0.5 2.83608 30.1952 2.69914 10.2286
1.5 4.22743 47.3561 1.92163 5.88874
5.0 3.77437 51.0655 2.02701 6.09045
1.5 0.5 0.32446 0.53667 5.62470 55.9161
5.0 1.45888 2.59897 2.40956 13.0233
5.0 0.5 0.01676 0.00084 3.39967 20.1131
5.0 0.06375 0.00291 1.27168 5.17103
1.5 0.5 0.5 1.51528 2.77558 3.00036 18.1059
1.5 2.54943 5.08931 2.11351 10.5501
5.0 4.16067 8.48966 1.46293 6.80443
1.5 0.5 0.47876 0.11798 1.11729 4.28686
1.5 0.70459 0.15479 0.55711 3.02953
5.0 0.98220 0.17173 0.07453 2.76358
5.0 0.5 0.19101 0.01481 0.72482 3.05190
1.5 0.27045 0.01725 0.16615 2.44296
5.0 0.36019 0.01646 −0.35840 2.76453
5.0 0.5 0.5 1.02414 0.09972 0.50451 3.35065
1.5 1.22535 0.11075 0.16575 2.98447
5.0 1.45201 0.10985 −0.17619 3.10095
1.5 0.5 0.75476 0.03309 −0.17730 2.74402
1.5 0.86456 0.02914 −0.59094 3.26362
5.0 0.97071 0.02195 −1.04886 4.61832
5.0 0.5 0.57806 0.01664 −0.39356 2.82240
1.5 0.65379 0.01351 −0.86979 3.74856
5.0 0.72281 0.00917 −1.43529 5.93460

MOPGW, Marshall-Olkin power generalized Weibull.

Table 2

μ, σ2, γ1, and γ2 of the MOPGW model for several values of its parameters with λ = 1.

The MOPGW distribution is constructed by incorporating the PGW as a baseline model in the Marshall–Olkin-G (MO-G) family proposed by [15]. This family has been widely used to provide more flexible extensions of the well-known classical distributions in the statistical literature. See, for example, [2,18,19], and the references therein.

The CDF of the MO-G family has the form

F(x;γ)=G(x)γ+(1γ)G(x),x>0,γ>0.(2)

The corresponding PDF and HRF of the MO-G class are

f(x;γ)=γg(x)1γ̄Ḡ(x)2,x>0,γ>0
and
h(x;γ)=γg(x)G¯(x)1γ¯G¯(x),x>0,γ>0,
where γ¯ = (1γ). The MO-G class reduces to the baseline distribution for γ=1. Further details about the MO-G class can be explored in [15] and [20].

The rest of the article is outlined as follows: The MOPGW distribution, its special cases, and PDF and HRF plots are provided in Section 2. Several structural properties of the MOPGW distribution are derived in Section 3. In Section 4, the estimation of the MOPGW parameters is demonstrated via the maximum likelihood and its performance is evaluated by simulation results. In Section 5, we illustrate the importance of the MOPGW model by using two real data applications. Finally, the paper is concluded in Section 6.

2. THE MOPGW DISTRIBUTION

In this section, we introduce the four-parameter MOPGW distribution. By inserting (1) in Equation (2), the CDF of the MOGPW distribution follows as

F(x;λ,β,α,γ)=1e11+λxβαγ+(1γ)1e11+λxβα,x>0,λ,β,α,γ>0.(3)

The corresponding PDF of the MOPGW distribution takes the form

f(x;λ,β,α,γ)=λβαγxβ11+λxβα1e11+λxβα1(1γ)e11+λxβα2,x>0,λ,β,α,γ>0.(4)

Henceforth, the random variable with PDF (4) is denoted by XMOPGW (ϕ), where ϕ=(λ,β,α,γ).

The HRF of the MOPGW distribution reduces to

h(x;λ,β,α,γ)=λβαγxβ11+λxβα11γ¯e11+λxβα,x>0,λ,β,α,γ>0.

Figures 1 and 2 display some plots of the probability density and hazard functions of the MOPGW distribution for some different values of its parameters. Figures 1 and 2 reveal that the MOGPW density exhibits reversed-J shaped, left-skewed, symmetric, or right-skewed shapes, whereas its HRF can exhibit constant, monotone (increasing or decreasing), or nonmonotone (unimodal or bathtub) hazard rate shapes.

Further, the MOPGW distribution contains some important special sub-models which are displayed in Table 1.

3. STATISTICAL PROPERTIES OF THE MOPGW DISTRIBUTION

Some properties of the MOPGW distribution including quantile function (QF), ordinary and conditional moments, generating function (MGF), mean deviation, Lorenz and Bonferroni curves, and residual life and reversed residual life moments are derived.

3.1. Quantile Function

The QF Q(u), of the MOPGW distribution follows, by inverting its CDF, as

Q(u)=1λ1ln1u1u(1γ)1α11β,u(0,1).(5)

Equation (5) can be easily used to generate the MOPGW random variates, and the median of X follows from it with u=0.5.

3.2. Moments

Here, we derive the rth moment of the MOPGW distribution.

Theorem 1.

If X MOPGW (ϕ), where ϕ=(λ,β,α,γ), then the rth moment of X has the form

μr(x)=γλrβi,j=0(1γ)jej+1(1)ij+1riβαβrβiΓrβ(iα)αβ,j+1.

Proof:

The rth moment of X is defined by

μr(x)=0xrf(x;λ,β,α,γ)dx=0λβαγxr+β11+λxβα1e11+λxβα1(1γ)e11+λxβα2dx.(6)

Using the generalized binomial expression for d<1 and k>0 (a real non-integer)

(1d)k=i=0Γ(k+i)Γ(k)i!di.(7)

Using Equation (7) in (6), we obtain

μr(x)=λβαγj=0(j+1)(1γ)jej+10xr+β11+λxβα1e(j+1)1+λxβαdx.

Setting y= (j+1)1+λxβα , we get

x=1λyj+11α11β,
and after some algebra, we have
μr(x)=γλrβj=0(1γ)jej+1j+1yj+11α1rβdy.(8)

Consider the power series with real number power w

x+aw=i=0wixwawi,(9)
where wi is a binomial coefficient. The above power series converges for w0 an integer, or xa<1 (see [22]). Applying (9) in Equation (8), the rth moment of X becomes
μr(x)=γλrβj=0(1γ)jej+1i=0(1)irβij+1yj+11α(rβi)eydy=γλrβi,j=0(1γ)jej+1(1)ij+1riβαβrβiΓrβ(iα)αβ,j+1,(10)
where the complementary incomplete gamma is defined by Γ(s,t)=txs1exdx, for all real numbers except negative integers.

Table 2 shows some numerical values for the mean, μ, variance, σ2, skewness, γ1, and kurtosis, γ2, of the MOPGW distribution which can be computed, using the R software, for several values of β, α, and γ, with λ=1. Table 2 shows that the MOPGW skewness can range in the interval (1.43529,5.62470), whereas the PGW skewness can range only in (0.68927,4.25756) for λ=1 and the shape parameters have values from 0.5 to 5. The kurtosis spread for the MOPGW model is much larger ranging in the interval (2.76358,55.9161), whereas the kurtosis spread for the PGW model can only vary from 2.54958 to 33.2167 for the same parameter values. Further, the MOPGW model can be right skewed and left skewed. Table 2 illustrates that the MOPGW model is leptokurtic (kurtosis >3) or platykurtic (kurtosis <3). Hence, the MOPGW distribution can be utilized in modeling skewed data.

3.3. Generating Function

The MGF is useful for several reasons, one of which is its application in analyzing the sums of random variables.

Theorem 2.

If XMOPGW (ϕ), where ϕ=(λ,β,α,γ), hence the MGF of X follows as

MX(t)=r=0trr!γλrβi,j=0(1γ)jej+1(1)ij+1riβαβrβiΓrβ(iα)αβ,j+1.

Proof.

The MGF can be defined as

MX(t)=E(etX)=0etxf(x;λ,β,α,γ)dx.

Since the series expansion of etx is given by etx=k=0(tx)kk!. Thus,

MX(t)=k=0tkk!0xkf(x)dx=k=0tkk!μk(x).(11)

Then, substituting from Equations (10) into (11), we get

MX(t)=k=0tkk!γλkβi,j=0(1γ)jej+1(1)ij+1kiβαβkβiΓkβ(iα)αβ,j+1,
which completes the proof.

3.4. Conditional Moments

The rth lower incomplete moment of X can be defined (for any real s>0) as vs(t)=E(xsX<t)=0txsf(x,ϕ)dx. Hence, vs(t) for the MOPGW distribution takes the form

vs(t)=0txsf(x)dx=0tλβαγxs+β11+λxβα1e11+λxβα1(1γ)e11+λxβα2dx.

After some algebra, we get

vs(t)=γλsβi,j=0(1γ)jej+1(1)ij+1siβαβsβiΛsβ(iα)αβ,(j+1)1+λtβα,(12)
where the lower incomplete gamma function is denoted by Λ(s,t)=0txs1exdx. The first incomplete moment of X, v1(t), is computed using Equation (12) by setting s=1, and it takes the form
v1(t)=γλ1βi,j=0(1γ)jej+1(1)ij+11iβαβ1βiΛ1β(iα)αβ,(j+1)1+λtβα.

Similarly, the rth upper incomplete moment of X can be defined (for any real s>0) as ηs(t)=E(xsX>t)=txsf(x,ϕ)dx.

The rth upper incomplete moment of MOPGW distribution is

ηs(t)=txsf(x)dx=tλβαγxs+β11+λxβα1e11+λxβα1(1γ)e11+λxβα2dx=γλsβi,j=0(1γ)jej+1(1)ij+1siβαβsβiΓsβ(iα)αβ,(j+1)1+λtβα,
where the upper incomplete gamma function is denoted by Γ(s,t)=txs1exdx.

3.5. Mean Deviation, Lorenz, and Bonferroni Curves

This section is devoted to derive the mean deviation about the mean, denoted by δ1(x), and the mean deviation about the median, denoted by δ2(x), for the MOPGW model.

The mean deviations about the mean of the MOPGW distribution is

δ1(x)=Exμ1=2μ1F(μ1)2v1(μ1).

The mean deviations about the median of the MOPGW distribution has the form

δ2(x)=ExM=μ12v1(M).

Using Equation (10), we get the mean of X, μ1=E(X), the median of X is M=Q(0.5), F(μ1) follows simply from Equation (3) and v1(μ1) denotes the first incomplete moment.

Further, the Lorenz and Bonferroni curves have useful applications in income inequality measures, demography, reliability, insurance, and medicine.

Lorenz curve has the form

L(p)=v1(q)μ1,
where q=G1(p).

The Bonferroni curve takes the form

B(p)=v1(q)pμ1.

3.6. Moments of Residual and Reversed Residual Lives

The rth moment of the residual life is

μr(t)=E[(Xt)rX>t]=1F¯(t)t(xt)rf(x)dx,r1.

Using the binomial series to the term (xt)r and the PDF of the MOPGW in (4), the μr(t) reduces to

μr(t)=1F¯(t)h=0r(t)rhrhtxrf(x)dx=(1γ)jej+1(1)iF¯(t)h=0ri,j=0(t)rhrhγλrβj+1riβαβrβi×Γrβ(iα)αβ,(j+1)1+λtβα,
where upper incomplete gamma is Γ(s,t)=txs1exdx.

The mean residual life (MRL) of the MOPGW distribution follows from the last equation, with r=1, as

μ1(t)=γλ1βF¯(t)i,j=0(1γ)jej+1(1)ij+11iβαβ1βiΓ1β(iα)αβ,(j+1)1+λtβαt.

The variance residual life of the MOPGW distribution is obtained directly using μ2(t) and μ(t).

Further, the rth moment of reversed residual life is

mr(t)=E[(tX)rXt]=1F(t)0t(tx)rf(x)dx,r1.

Using the binomial series to the term (tx)r and the MOPGW PDF in (4), the mr(t) follows as

mr(t)=1F(t)h=0r(t)rhrh0txrf(x)dx=(1γ)jej+1(1)iF(t)h=0ri,j=0(t)rhrhγλrβj+1riβαβrβi×Λrβ(iα)αβ,(j+1)1+λtβα,
where the lower incomplete gamma has the form Λ(s,t)=0txs1exdx.

The mean waiting time (or mean reversed residual life) of the MOPGW distribution reduces to

m(t)=tγλ1βF(t)i,j=0(1γ)jej+1(1)ij+11iβαβ1βiΛ1β(iα)αβ,(j+1)1+λtβα.

The variance and coefficient of variation of reversed residual life for the MOPGW distribution follow simply using m(t) and m2(t).

4. ESTIMATION AND SIMULATION

In this section, we discuss the estimation of the MOPGW parameters using the maximum likelihood. Let x1,x2,...,xn be a random sample from the MOPGW distribution with parameters vector ϕ=(λ,β,α,γ)T.

The log likelihood function, log(ϕ), has the form

log(ϕ)=nlog(λβαγ)+(β1)i=1nlog(xi)+(α1)i=1nlog1+λxiβi=1n1+λxiβα2i=1nlog1(1γ)e11+λxiβα.(13)

The maximum likelihood estimates (MLEs) of λ,β,α, and γ are obtained by maximizing Equation (13) with respect to these parameters. Further, the MLEs of the MOPGW parameters can be obtained by solving the following four nonlinear equations, which represent the score vector elements given by

log(ϕ)λ=nλ+(α1)i=1nxiβ1+λxiβαi=1nxiβ1+λxiβα12i=1n(1γ)βxiβ1+λxiβα1e11+λxiβα1(1γ)e11+λxiβα,
log(ϕ)β=nβ+i=1nlogxi+(α1)i=1nλlog(xi)xiβ1+λxiβαi=1nλlog(xi)xiβ1+λxiβα12αλi=1n(1γ)e11+λxβαlog(xi)xiβ1+λxiβα11(1γ)e11+λxiβα,
log(ϕ)α=nα+i=1nlog1+λxiβi=1nlog1+λxiβ1+λxiβα2λi=1n(1γ)e11+λxiβαlog1+λxiβ1+λxiβα1(1γ)e11+λxiβα
and
log(ϕ)γ=nγ2i=1ne11+λxiβα1(1γ)e11+λxiβα.

Further, there are some programs called, Ox program (sub-routine MaxBFGS), SAS (PROCNLMIXED), R (optim function), Mathcad, and Newton–Rapshon method, which can be utilized to maximize the log-likelihood function in order to determine the MLEs.

Now, we perform a Monte Carlo simulation to evaluate the performance of the MLEs of the MOPGW parameters λ,β,α, and γ based on their mean squares errors (MSEs). The simulation results are obtained via the Mathcad software, version 14.0. The MOPGW variates are generated for several values of the parameters and for different sample sizes, n=50 and 100. The following parameters values are considered, λ=(0.5,1.0), β=(0.1,0.3), α=(0.5,1.0,1.5,2.0), and γ=(1.0,2.0). The average estimates (AVEs) and their corresponding MSEs are calculated for each setting. The AVEs and MSEs are listed in Tables 3 and 4.

Parameters
AVEs
MSEs
λ β α γ λ̂ β̂ α̂ γ̂ λ̂ β̂ α̂ γ̂
0.5 0.1 0.5 1 0.9202 0.0500 0.8640 0.9930 1.6582 0.9753 0.0500 2.3723
1 1.2811 0.0580 1.0871 2.9701 1.1396 1.3785 0.0541 1.4844
1.5 1.9702 0.1011 0.8217 2.4601 0.4943 1.3842 0.4189 1.1360
2 1.3065 0.1214 0.9389 2.7378 1.4620 1.7830 0.1344 1.7093
0.3 0.5 2.2057 0.1235 0.6703 2.7709 1.0459 1.9742 0.0815 1.9016
1 0.9405 0.2207 1.0513 1.8933 0.7882 1.4132 0.3502 2.1485
1.5 1.2020 0.2977 1.2730 2.5025 0.7177 1.4006 0.3133 1.6867
2 1.1791 0.3759 1.0358 2.6856 0.5435 1.1479 0.4736 1.3190
1 0.1 0.5 1.5039 0.0500 0.9729 2.7398 1.1576 0.7366 0.2676 1.4537
1 1.9530 0.7891 0.7961 1.7431 1.4313 0.1478 0.9689 1.5849
1.5 2.0288 0.3393 1.2637 2.9830 1.0931 0.0707 2.0806 1.5534
2 2.5381 1.1032 0.9184 2.9873 1.4982 0.0679 1.5117 2.3054
0.3 0.5 1.9103 0.2057 0.6087 1.8260 1.5463 0.7388 0.9302 1.1497
1 2.2046 0.5422 0.7175 2.9335 1.9484 0.5651 0.6425 1.8055
1.5 3.0120 1.3879 0.5676 3.1894 1.5879 0.4016 1.1681 2.2586
2 2.1232 2.5133 1.7885 2.9748 0.9844 0.3422 1.8977 0.9037
0.5 0.1 0.5 2 0.3270 0.0500 0.6942 0.8281 0.9630 0.4918 0.6203 1.7827
1 1.1391 0.0533 1.1584 2.7994 0.1380 1.0959 0.5341 2.5354
1.5 0.9781 0.0737 1.1984 2.9578 0.1363 2.1470 0.0547 2.2515
2 1.7858 0.1049 0.7978 2.9440 0.2439 1.9954 0.1420 2.9927
0.3 0.5 2.2858 0.1029 0.6213 2.6937 0.4588 1.4278 0.1588 2.0491
1 2.1103 0.1975 0.5946 2.3362 0.3802 1.2081 0.4836 2.1916
1.5 2.2977 0.2504 0.6448 2.9056 0.3301 1.5568 0.3173 1.7513
2 1.5577 0.3140 1.0508 2.8405 0.4583 1.5468 0.4170 1.3579
1 0.1 0.5 0.9596 0.0510 1.0642 1.7048 1.0923 0.6854 0.1785 1.4263
1 1.0611 0.1292 0.9846 1.5859 1.3129 0.2748 0.8653 0.7359
1.5 1.6313 0.3118 1.1332 2.6599 1.5714 0.1743 1.1237 1.5683
2 2.5047 0.8806 1.0001 2.9519 1.3696 0.0676 1.5708 1.4902
0.3 0.5 0.9017 0.1320 1.0972 1.9979 1.1166 0.9673 0.7618 1.7971
1 1.2100 0.4056 0.7544 1.6171 1.4462 0.4686 0.6188 1.4686
1.5 0.8302 0.5522 1.7014 2.8225 1.5482 0.6256 0.8528 1.7732
2 2.0142 1.6809 1.5975 2.9999 1.3241 0.4989 1.3067 1.7950

AVE, average estimate; MSE, mean squares error.

Table 3

AVEs and their associated MSEs (n=50).

Parameters
AVEs
MSEs
λ β α γ λ̂ β̂ α̂ γ̂ λ̂ β̂ α̂ γ̂
0.5 0.1 0.5 1 0.3595 0.0500 0.6929 0.4942 1.0292 0.7498 0.2392 2.1435
1 0.9676 0.0580 1.2379 2.7996 1.0687 0.9651 0.3836 1.4553
1.5 1.3876 0.0985 0.9082 2.2925 0.9067 1.8129 0.1981 1.3743
2 1.3068 0.1283 0.9110 2.0583 1.0018 2.0171 0.2020 1.2384
0.3 0.5 1.5576 0.2141 0.9024 2.4123 0.7984 2.0533 0.2072 1.8196
1 1.6017 0.2043 0.9302 2.5424 0.6430 1.5325 0.3686 1.1215
1.5 1.4011 0.2943 1.0464 2.3157 0.8278 1.4305 0.3485 1.6112
2 1.6386 0.3782 0.9007 2.4975 0.7073 1.9542 0.3109 1.2240
1 0.1 0.5 1.0035 0.0519 1.0910 2.4792 1.2406 0.8302 0.2642 1.1904
1 2.3296 0.5527 0.6585 2.0968 1.8703 0.2951 0.4097 0.7702
1.5 2.7437 0.4934 0.6510 2.9925 1.3197 0.0946 1.7443 1.5855
2 2.0756 0.9331 1.4044 2.9889 1.3320 0.0658 2.0452 1.4687
0.3 0.5 1.6041 0.2006 0.6433 1.5800 2.3048 1.3419 0.2079 0.8049
1 1.7475 0.4622 1.0189 2.5818 1.6972 0.4632 0.8230 1.5771
1.5 2.1441 0.9269 1.1965 2.9988 1.3120 0.4003 1.3964 1.8371
2 1.9626 1.7117 1.7679 2.9993 1.2800 0.3688 1.9772 1.6761
0.5 0.1 0.5 2 0.2979 0.0500 0.7382 0.8526 0.9125 0.5190 0.3053 2.1986
1 1.0792 0.0508 1.1367 2.9312 0.4648 1.2058 0.3080 2.4279
1.5 1.1903 0.0761 1.0201 2.5770 0.5441 1.4865 0.3016 2.2644
2 1.5855 0.1078 0.8191 2.1929 0.7954 2.2353 0.1865 2.1491
0.3 0.5 1.3581 0.0998 0.9561 2.2802 0.5436 2.0943 0.1089 2.3885
1 1.2990 0.1881 0.9117 2.1297 0.3253 1.8123 0.2371 2.0485
1.5 1.1645 0.2507 1.1015 2.4764 0.4894 1.9389 0.2591 2.2461
2 1.4522 0.3199 0.9606 2.6714 0.5056 1.6968 0.3897 1.8849
1 0.1 0.5 1.5041 0.0501 0.9779 1.6841 0.9834 0.7566 0.3622 1.7222
1 2.2392 0.1842 0.4764 1.3209 1.9527 0.6950 0.3336 0.5380
1.5 2.2205 0.3257 0.8010 2.7536 1.8079 0.2037 0.9809 1.8040
2 2.3423 0.7380 1.0303 2.9997 1.4461 0.0953 1.6802 1.7298
0.3 0.5 1.5499 0.1429 0.8390 2.1318 1.4969 1.5425 0.3213 1.4146
1 1.9087 0.4567 0.6987 1.6015 1.9548 0.9360 0.3987 1.1856
1.5 2.1028 0.8042 0.9827 2.9339 1.3663 0.5518 1.0519 1.6054
2 1.9990 1.4741 1.5191 2.9987 1.1484 0.5384 1.7617 1.6857

AVE, average estimate; MSE, mean squares error.

Table 4

AVEs and their associated MSEs (n=100).

The values of AVEs and MSEs reveal that

  • All parameters estimates show consistency property, that is, the MSEs decrease when the sample size increases.

  • For fixed λ,β, and γ, the MSEs of α̂ increase, in most cases when α increases.

  • For fixed λ,α, and γ, the MSEs of β̂ increase, when β increases.

  • For fixed β,α, and γ, the MSEs of λ̂ increase, when λ increases.

  • For fixed λ,β, and α, the MSEs of γ̂ increase, when γ increases.

5. APPLICATIONS

Two real data applications are provided in this section to study empirically the importance and flexibility of the MOPGW distribution. The first set of data represents the gauge lengths of 20 mm and it consists of 74 observations. This data is reported in [23], and it is studied by [24,25] and [26]. The second set of data consists of n=128 observations of remission times (months) of bladder cancer patients studied by [27]. The MOPGW provides better fits to the cancer data than the odd Lindley Burr XII [28], generalized odd Lindley Burr XII [29], quasi xgamma-geometric [30], and Weibull Marshall–Olkin Lindley [31] distributions.

For the gauge lengths and cancer data, the fits of the MOPGW model is compared with some competitive distributions called, the exponentiated power generalized Weibull (EPGW) [32], alpha power exponentiated W (APEW) [33], Kumaraswamy W (KwW) [4], beta W (BW) [3], transmuted geometric W (TGcW [34], transmuted exponentiated generalized W (TEGW) [35], odd Lomax W (OLxW) [9], W Burr XII (WBXII) [36], and W Fréchet(WFr) [37].

The W (Cramér–Von Mises), A (Anderson–Darling), KS (Kolmogorov–Smirnov), and its PV (p-value) measures, are considered to compare the fits of the MOPGW distribution with other aforementioned models.

Tables 5 and 6 provide the MLEs and associated standard errors (SEs) (between parentheses) of the parameters of all fitted models and the values of W, A, KS, and PV, for both data sets, respectively. They show that the MOPGW distribution gives the best fit to the given data sets and it can be considered a very competitive distribution to aforementioned extensions of the Weibull distribution.

Distribution Estimates (SEs) W A KS PV
MOPGW (λ,β,α,γ) 0.0287 7.1320 0.3624 6.3451 0.0244 0.1839 0.0503 0.9921
(0.0895) (6.2545) (0.6108) (21.620)
EPGW (λ,β,α,γ) 0.0320 3.5114 1.4106 2.1014 0.0269 0.2119 0.0580 0.9648
(0.0661) (4.4837) (3.1836) (2.7709)
APEW (α,β,λ,β) 5.5281 3.3500 0.0863 2.1428 0.0256 0.1911 0.0521 0.9880
(16.298) (1.5888) (0.1855) (1.5643)
KwW (α,β,a,b) 0.2914 1.3671 6.0143 60.246 0.0265 0.2084 0.0573 0.9684
(0.7269) (14.118) (79.223) (1576.5)
BW (α,β,a,b) 0.4099 4.5309 1.5816 0.9338 0.0267 0.2102 0.0578 0.9656
(0.3434) (2.3153) (1.1844) (4.5321)
TGcW (α,β,λ,β) 0.3363 6.5104 0.7005 1.3899 0.0253 0.1950 0.0538 0.9829
(0.0432) (1.2878) (0.4511) (1.5504)
TEGW (β,λ,a,b) 3.8225 −0.4156 0.0436 1.8658 0.0265 0.1998 0.0541 0.9819
(1.1864) (0.7320) (0.0668) (1.1250)
OLxW (α,β,a,b) 0.1101 2.1569 0.5848 5.1896 0.0266 0.2126 0.0608 0.9470
(0.2148) (2.5461) (0.1790) (1.1192)
WBXII (α,β,a,b) 3.5400 0.3785 0.0404 3.1760 0.0278 0.2256 0.0606 0.9487
(5.0510) (0.3761) (0.1375) (2.1929)
WFr (α,β,a,b) 2.4251 0.9826 4.5360 3.7590 0.0278 0.2243 0.0602 0.9514
(49.622) (14.716) (604.17) (25.468)

MLE, maximum likelihood estimate; SE, standard error; MOPGW, Marshall–Olkin power generalized Weibull; EPGW, exponentiated power generalized Weibull; APEW, alpha power exponentiated W; KwW, Kumaraswamy W, BW, beta W; TGcW, transmuted geometric W; TEGW, transmuted exponentiated generalized W; OlxW, odd Lomax W; WBXII, W Burr XII; WFr, W Fréchet; KS, Kolmogorov–Smirnov; PV, p-value.

Table 5

MLEs, associated SEs, W, A, KS, and PV for gauge lengths data.

Distribution Estimates (SEs) W A KS PV
MOPGW (λ,β,α,γ) 2375.7 0.5804 0.2726 25323.6 0.0138 0.0855 0.0284 0.9999
(1427.3) (0.0858) (0.0238) (14785)
EPGW (λ,β,α,γ) 0.0072 2.9130 0.2416 0.4518 0.0159 0.1103 0.0319 0.9995
(0.0078) (0.5370) (0.0604) (0.1001)
APEW (α,β,λ,β) 0.0080 0.7009 0.1535 2.2892 0.0203 0.1445 0.0348 0.9978
(0.0283) (0.6411) (0.3522) (2.8493)
KwW (α,β,a,b) 0.2162 0.4588 4.1198 2.9402 0.0415 0.2732 0.0447 0.9603
(0.2491) (0.5283) (5.9761) (8.3513)
BW (α,β,a,b) 0.3218 0.6662 2.7348 0.9076 0.0436 0.2882 0.0450 0.9582
(0.4365) (0.2450) (1.5996) (1.5117)
TGcW (α,β,λ,β) 0.0307 1.5319 −0.4581 19.176 0.0265 0.1888 0.0331 0.9990
(0.0157) (0.2577) (0.5461) (18.941)
TEGW (β,λ,a,b) 0.7241 0.7225 0.2523 2.2424 0.0310 0.2045 0.0409 0.9830
(0.1998) (0.3437) (0.1874) (1.0744)
OLxW (α,β,a,b) 0.2987 29.936 3.2692 0.5736 0.0117 0.0734 0.0326 0.9992
(0.2229) (61.348) (5.1876) (0.2744)
WBXII (α,β,a,b) 0.7448 0.1575 19.089 2.6464 0.0474 0.3134 0.0481 0.9280
(0.2979) (0.1960) (97.974) (0.9554)
WFr (α,β,a,b) 106.09 0.1918 42.274 2.7145 0.0671 0.4277 0.0548 0.8363
(350.22) (0.1560) (160.04) (2.2077)

MLE, maximum likelihood estimate; SE, standard error; MOPGW, Marshall–Olkin power generalized Weibull; EPGW, exponentiated power generalized Weibull; APEW, alpha power exponentiated W; KwW, Kumaraswamy W, BW, beta W; TGcW, transmuted geometric W; TEGW, transmuted exponentiated generalized W; OlxW, odd Lomax W; WBXII, W Burr XII; WFr, W Fréchet; KS, Kolmogorov–Smirnov; PV, p-value.

Table 6

MLEs, associated SEs, W, A, KS, and PV for cancer data.

Figure 3 displays the histogram plots for the gauge lengths and cancer data, and the fitted PDF, CDF, SF, and PP plots of the MOPGW distribution.

Figure 3

Fitted Marshall–Olkin power generalized Weibull (MOGPW) probability density function (PDF), estimated cumulative distribution function (CDF), SF, and PP plots (left panel) for gauge lengths data and (right panel) for cancer data.

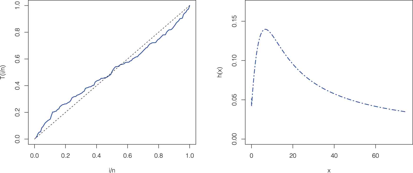
The TTT plot of gauge lengths data and the HRF plot of the MOPGW distribution are displayed in Figure 4, whereas the TTT plot of cancer data and MOPGW HRF plot are shown in Figure 5. It is clear that the MOPGW HRF is increasing for gauge lengths data, whereas it is unimodal (upside down bathtub) for cancer data. Furthermore, the scaled TTT plot for gauge lengths data is concave which indicates an increasing HRF, whereas it is concave then convex for cancer data which indicates a unimodal HRF. Hence, the MOPGW distribution is a suitable for modeling both data sets.

Figure 4

TTT plot for gauge lengths data (left panel) and the Marshall–Olkin power generalized Weibull (MOPGW) hazard rate function (HRF) plot (right panel).

Figure 5

TTT plot for cancer data (left panel) and the Marshall–Olkin power generalized Weibull (MOPGW) hazard rate function (HRF) plot (right panel).

6. CONCLUSIONS

We propose and study the flexible four-parameter Marshall–Olkin power generalized Weibull (MOPGW) distribution. Some mathematical quantities of the MOPGW distributions are derived in explicit expressions. The maximum likelihood is utilized to estimate the MOPGW parameters and the simulation results show its performance. The MOPGW distribution can provide better fits than some other generalized extensions of the Weibull model for two real data sets from the engineering and medicine fields.

CONFLICT OF INTEREST

The authors declare no potential conflict of interests.

AUTHORS' CONTRIBUTIONS

All authors contributes equally.

ACKNOWLEDGMENTS

The authors would like to thank the editor and the reviewer for their constructive comments and suggestions which greatly improved the paper.

REFERENCES

6.T.H.M. Abouelmagd, S. Al-mualim, M. Elgarhy, et al., Pak. J. Stat., Vol. 33, 2017, pp. 449-466.
14.M. Nikulin and F. Haghighi, Metron., Vol. 67, 2009, pp. 75-86.
17.W. Weibull, J. Appl. Mech. Trans. ASME., Vol. 18, 1951, pp. 293-297.
22.R.L. Graham, Concrete Mathematics: a Foundation for Computer Science, second ed., Addison-Wesley, Boston, MA, USA, 1994, pp. 672.
28.T.H.M. Abouelmagd, S. Al-mualim, A.Z. Afify, et al., Pak. J. Stat., Vol. 34, 2018, pp. 15-32.
34.A.Z. Afify, M. Alizadeh, H.M. Yousof, et al., Pak. J. Stat., Vol. 32, 2016, pp. 139-160.
Journal
Journal of Statistical Theory and Applications
Volume-Issue
19 - 2
Pages
223 - 237
Publication Date
2020/05/21
ISSN (Online)
2214-1766
ISSN (Print)
1538-7887
DOI
10.2991/jsta.d.200507.004How to use a DOI?
Copyright
© 2020 The Authors. Published by Atlantis Press SARL.
Open Access
This is an open access article distributed under the CC BY-NC 4.0 license (http://creativecommons.org/licenses/by-nc/4.0/).

Cite this article

TY  - JOUR
AU  - Ahmed Z. Afify
AU  - Devendra Kumar
AU  - I. Elbatal
PY  - 2020
DA  - 2020/05/21
TI  - Marshall–Olkin Power Generalized Weibull Distribution with Applications in Engineering and Medicine
JO  - Journal of Statistical Theory and Applications
SP  - 223
EP  - 237
VL  - 19
IS  - 2
SN  - 2214-1766
UR  - https://doi.org/10.2991/jsta.d.200507.004
DO  - 10.2991/jsta.d.200507.004
ID  - Afify2020
ER  -