Journal of Statistical Theory and Applications

Volume 19, Issue 2, June 2020, Pages 297 - 313

Exponentiated Power Function Distribution: Properties and Applications

Authors
Muhammad Zeshan Arshad1, *, ORCID, Muhammad Zafar Iqbal2, ORCID, Munir Ahmad1
1National College of Business Administration and Economics, 40-E/1, Gulberg-III, Lahore, Punjab 54660, Pakistan
2Department of Mathematics and Statistics, University of Agriculture, Agriculture University Road, Faisalabad, Punjab 38000, Pakistan
*Corresponding author. Email: profarshad@yahoo.com
Corresponding Author
Muhammad Zeshan Arshad
Received 3 March 2018, Accepted 5 May 2019, Available Online 3 July 2020.
DOI
10.2991/jsta.d.200514.001How to use a DOI?
Keywords
Exponentiated distribution; Power function distribution; Bathtub-shaped failure rate; Order statistics; Rényi entropy; Maximum likelihood estimation
Abstract

In this study, we have focused to propose a flexible model that demonstrates increasing, decreasing and upside-down bathtub-shaped density and failure rate functions. The proposed model refers to as the exponentiated power function (EPF) distribution. Some mathematical and reliability measures are developed and derived. We develop explicit expressions for the moments, quantile function and order statistics. Some shapes of the density and the reliability functions are sketched out and discussed. We suggest the method to estimate the unknown parameters of EPF by the maximum likelihood estimation. Two suitable lifetime datasets from engineering sector are used to explore the dominance of the EPF distribution.

Copyright
© 2020 The Authors. Published by Atlantis Press SARL.
Open Access
This is an open access article distributed under the CC BY-NC 4.0 license (http://creativecommons.org/licenses/by-nc/4.0/).

1. INTRODUCTION

In this unanticipated world of science, probability distributions recompense an imperative role to elucidate the real-world phenomenon and in distribution theory, so far the power function (PF) distribution is considered as one of the simplest and handy lifetime distribution likewise exponential and Pareto distributions. The PF distribution is the special case of the beta distribution and one may sight the importance of the PF distribution in statistical tests such as likelihood ratio test. The simplicity and usefulness of the PF distribution compelled the researchers to explore its further extensions, generalizations and applications in different areas of science. For more details we refer the readers to Dallas [1]. He developed an interesting relationship between PF and Pareto distribution when the inverse transformation of the Pareto variable developed the PF. Meniconi and Barry [2] found PF as a best-fitted model on electronic components dataset. Saran and Pandey [3] developed a characterization based on the k-th record values. Independence of record values based characterization discussed by Chang [4]. Order statistics (OS) and lower record values supported characterization suggested by Tavangar [5]. Cordeiro and Brito [6] developed the beta version of PF and discussed its comprehensive properties along with the application in the petroleum reservoir and milk production datasets. Ahsanullah et al. [8] illustrated a characterization based on lower record values. Zaka et al. [7] applied various methods to estimate the parameters of PF comprising least square (LS), relative least square (RLS) and ridge regression (RR) and based on the simulated results, LS method declared as the best method for the estimation of parameters of PF.

Several authors generalized the PF in G family of distributions. For this, see the exemplar work of Tahir et al. [9]. They [9] generalized the PF in Weibull-G family of distributions and found its application in two-lifetime bathtub datasets. Shahzad et al. [10] derived the moments of PF by using L-moments, TL-moments, LL-moments and LH- moments. They discovered the method L- moments provide better estimates on different sample sizes as compared to the competing methods. Haq et al. [11] generalized the PF in the transmuted family and illustrated its application in two-lifetime datasets. Okorie et al. [12] expressed the PF in Marshall-Olkin G family and discussed its application in survival times of 50 objects and survival times of a group of patients who received only chemotherapy treatment. Abdul-Moniem [13] investigated the PF in Kumaraswamy G family and illustrated its application in the plasma concentration of indomethacin dataset. Haq et al. [11] this time illustrated the PF in McDonald and modeled it to the three-lifetime datasets. Hassan et al. [14] generalized the PF in Odd exponential - G class and discussed its application in three-lifetime datasets.

Lehmann [15] introduced the exponentiated G family of distributions. It can be defined as the CDF F(x) of base distribution is raised to the power say α>0 and the corresponding exponentiated G(x) can be written as Gx=Fxα.

We have the following objectives:

  1. We develop two-parameters model namely exponentiated power function (EPF) distribution and so far we are concerned it has not been studied and discussed earlier.

  2. Computational point of view, the EPF distribution provides simplex and uncomplicated cdf, pdf and likelihood function.

  3. EPF distribution presents flexible shapes of density such as: left-skewed, right-skewed, symmetric, canopy, bathtub and reverse bathtub-shaped.

  4. It has flexible shapes of hazard rate function such a: U-shape, J-shape and bathtub-shaped hazard rate function.

  5. EPF distribution offers more realistic and rationalized results specifically on bathtub-shaped failure rate data and it presents consistently better fit over its competing models.

  6. We are highly concerned to discover and explore its further application in diverse areas of science, where modeling through base line distribution lack.

This article is organized on the following steps: Construction of the proposed model and its properties are presented in Section 2. Estimation of the model parameters by the method of maximum likelihood estimation and the Monte Carlo simulation study is performed in Section 3. Application of the proposed model is illustrated in Section 4 and the final conclusion is stated in Section 5.

2. NEW MODEL

In this section we present a new model by introducing a shape parameter (β>0) to the baseline distribution, developed by Saran and Pandey [3]. The new model can be referred to as the EPF distribution. The associated CDF of EPF distribution.

A random variable X is said to follow the exponentiated power function (EPF) distribution if the associated CDF and corresponding PDF of the EPF distribution are defined by

Fx=1gxgmαβ,(1)
and the corresponding PDF of EPF distribution is given by
fx=αβgxgmαα11gxgmαβ1,(2)
where α>0 and β>0 are the two shape parameters and m is a possible minimum m<x and g is a possible maximum value of x g>x. For β=1, proposed model reduces to the baseline model.

One of the imperative roles of probability distribution in reliability engineering is the reliability analysis and to predict the life of a device. A range of reliability measures have been developed and studied in literature, however, survival function of EPF distribution

Sx=11gxgmαβ,(3)
and the failure rate function of the EPF distribution is given by
hx=αβgxα11gxgmαβ1gmα11gxgmαβ.(4)

Most of the time it is assumed that the mechanical components follow to the bathtub-shaped failure rate function. It is quite obvious to establish the following useful measures including cumulative hazard rate function Hcx=logRx, reverse hazard rate function Hrx=fx/Rx, mills ratio Mx=Rx/fx, odd function Ox=Fx/Rx and elasticity ex=xfx/Fx for the EPF distribution.

2.1. Shapes

Various shapes of the density and failure rate functions of the EPF distribution for selected choices of the parameter are presented in Figures 14. Figures 13 present the density plots possible shapes like left-skewed, right-skewed, symmetric, canopy shape, bathtub and reverse bathtub shaped. However, Figure 4 illustrates the U-shape, J-shape and bathtub-shaped failure rate function of the EPF distribution.

Figure 1

Density plot of exponentiated power function (EPF) distribution for Black(α = 5.1, β = 21.1), Red(α = 5.5, β = 4.2), Blue(α = 4.3, β = 7.3), Hotpink(α = 3.4, β = 8.4), Green(α = 2.5, β = 9.5), Goldenrod1(α = 2.0, β = 10.5) for m = 1, g = 7.

Figure 2

Density plot of exponentiated power function (EPF) distribution for Black(α = 6.1, β = 1.1), Red(α = 5.2, β = 1.2), Blue(α = 4.3, β = 1.3), Hotpink(α = 3.4, β = 1.4), Green(α = 2.5, β = 1.5), Goldenrod1(α = 1.6, β = 1.6) for m = 1, g = 7.

Figure 3

Density plot of exponentiated power function (EPF) distribution for Black(α = 2.3, β = 2.9), Red(α = 1.1, β = 1.1), Blue(α = 0.01, β = 0.02), Hotpink(α = 2.1, β = 1.1), Green(α = 1.3, β = 2.9), Goldenrod1(α = 1.5, β = 1.5) for m = 1, g = 7.

Figure 4

Failure rate function plot of exponentiated power function (EPF) distribution for Black(α = 0.009, β = 0.1), Red(α = 1.1, β = 1.1), Blue(α = 1.1, β = 0.1), Hotpink(α = 2.1, β = 0.3), Green(α = 0.2, β = 0.001), Goldenrod1(α = 2.5, β = 0.1) for m = 1, g = 7.

2.2. Linear Representations

Linear representation of PDF and CDF lead the calculations easier than the conventional integral calculation corresponding to determining the mathematical properties.

For power series expansion, if “β” is real noninteger and 1<z<1, then it can be written as

1zβ1=j=0wjzj,
where wj=(1)jβ1j=(1)jΓβj!Γβj, by Eq. (1), CDF in linear representation is written as
Fx=i,j=0(1)i+jβiαijggmαixgαij,
Fx=i,j=0Aijxαij,(5)
where Aij=(1)i+jβiαijgmαigαij1,α,β>0,mx and gx, and by Eq. (2), PDF in linear representation is written as
fx=αβgmgxgmα1i=0(1)iβ1igxgmαi,
fx=i,j=0αβg(j1)αi+α1(gm)α+αi(1)i+jβ1iαi+α1jxjαi+α1,
fx=i,j=0Bijxjαi+α1,(6)
where Bij=αβg(j1)(αi+α1)(gm)α+αi(1)i+jβ1iαi+α1j,α,β>0,mx and gx.

Further properties of EPF distribution will be discussed by the conventional integral technique.

2.3. Limiting Behavior

Here we study the limiting behavior of distribution function, density function, reliability function and failure rate function of the EPF distribution present in Eqs. (1), (2), (3) and (4) at xm and xg.

Proposition 1.

Limiting behavior of distribution function, density function, reliability function and failure rate function of the EPF distribution at xm is followed by

Fx~0,
fx~0,
Sx~1,
hx~0,

Proposition 2.

Limiting behavior of distribution function, density function, reliability function and failure rate function of the EPF distribution at xg is followed by

Fx=1,
fx=0,
Sx=0,
hx=0,

Above limiting behaviors of distribution function, density function, reliability function and failure rate function illustrate the effect of parameters on the tail of the EPF distribution.

2.4. Moments and Its Associated Measures

Moments have a remarkable role in the discussion of distribution theory, to study the significant characteristics of a probability distribution.

Theorem 1.

Let X~EPFx;α,β,m,g, the r-th ordinary moment say μr is written as

μr=k=0rβgrrk1kgmgkBkα+1,β,

Proof from Eq. (2), μr can be written as

μr=mgxrαβgxgmαα11gxgmαβ1dx,
r-th ordinary moment of X is given by
μr=k=0rβgrrk1kgmgkBkα+1,β,(7)
where B (.,.) is the beta function and α>0,β>0 are the shape parameters with mx and x.

One can derive the mean of X by setting r = 1 in (7) and it is given by

μ1=k=0rβg1k1kgmgkBkα+1,β.

For higher moments about the origin like 2nd, 3rd and 4th, it can be formulated by setting r = 2, 3 and 4 in the Eq. (7) respectively. Further to discuss the variability in X, the Fisher index Varx/Ex plays a supportive role.

Corollary 1.

The relation between the ordinary moments and central moments is defined by

μs=i=0ssi1iμ1iμsi.

The s-th central moment of X is given by

μs=i=0ssi1iβgk=011k1kgmgkBkα+1,βiβgsik=0sisik1kgmgkBkα+1,β,

The skewness and kurtosis of X are

β1=i=033i1iβgk=011k1kgmgkBkα+1,βiβg3ik=03i3ik1kgmgkBkα+1,β2i=022i1iβgk=011k1kgmgkBkα+1,βiβg2ik=02i2ik1kgmgkBkα+1,β3
and
β2=i=044i1iβgk=011k1kgmgkBkα+1,βiβg4ik=04i4ik1kgmgkBkα+1,βi=022i1iβgk=011k1kgmgkBkα+1,βiβg2ik=02i2ik1kgmgkBkα+1,β2.

Corollary 2.

The relation between ordinary moments and cumulants of a probability distribution is defined as

Kr=μrj=1r1r1j1Kjμrj.

The r-th cumulants of X are given by

Kr=βgrk=0rrk1kgmgkBkα+1,βj=1r1r1j1Kjβgrjk=0rj1krjkgmgkBkα+1,β.

Furthermore, moment generating function can be written as

MXt=r=0trr!μr.

Moment generating function of X is given by

MXt=j=0tjj!βgrk=0rrk1kgmgkBkα+1,β.

2.5. Quantile Function

Hyndman and Fan [16] introduced the concept of quantile function. The pth quantile function of X~EPFx;α,β,m,g is obtained by inverting the CDF mention in Eq. (1). Quantile function is defined by

p=Fxp=PXxp,0<p<1.

Quantile function of X is given by

xp=ggm1p1β1α.(8)

One may obtain 1st quartile, median and 3rd quartile of X by setting p = 0.25, 0.5 and 0.75 in Eq. (8) respectively. Henceforth, to generate random numbers, we assume that CDF Eq. (1) follows uniform distribution u = U (0, 1).

2.6. Quantiles-Based Skewness, Kurtosis and Mean Deviation

Based on the quantile function, one can study the skewness (symmetry) and kurtosis (peakedness) of X by using the following useful measures introduced by Bowley [17] and Moors [18] respectively.

SkB=Q34+Q142Q12Q34Q14, and KrM=Q38Q18Q58+Q78Q68Q28.

These descriptive measures are based on quartiles and octiles. Moreover, these measures are less reactive to the outliers and work more effectively for the distributions having the deficiency in moments.

Furthermore, quartile deviation of X is obtain by

QDB=Q34Q142.

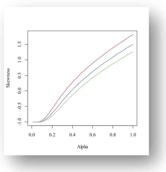
In Figure 5, the Bowley skewness as a function of α, Figure 6, the Moors kurtosis as a function of α and Figure 7, the quartile deviation as a function of α of X is plotted for selected values of β in the support of fixed m and g.

Figure 5

Red(β = 1.2), Blue(β = 1.9), Green(β = 3.5) for m = 1, g = 5.

Figure 6

Red(β = 0.2), Blue(β = 0.3), Green(β = 0.4) for m = 1, g = 5.

Figure 7

Red(β = 0.2), Blue(β = 0.3), Green(β = 0.4) for m = 1, g = 5.

2.7. Mode

Mode of EPF distribution is obtained by taking the first derivative of the PDF mention in Eq. (2)

fx=αβα1gm2gxgmα21gxgmαβ1+αβgm2gxgmα1αβ11gxgmαβ2gxgmα1,
and set f(x) equal to zero, we obtain the simplified form of mode is illustrated as follows:
x^=ggmα1αβ11/α.

2.8. Entropy

The disorderedness of a system is defined as entropy. The extended form of Shannon entropy is Rényi entropy as δ1. One can study the shapes of PDF and its tail behaviors, either by performing the entropy or kurtosis measure. The Rényi [19] entropy has a wide range of application such as in medical science (ultrasound signals, neurobiology), information theory (maximizing the distribution) and computer science (pattern recognition, image matching, ZIP files, MP3s, JPEGs and the problem of source coding).

Rényi entropy is described as

IδX=1δ1log0fδxdx;     δ>0andδ1.

The simplified form of Rényi entropy when X~EPFx;α,β,m,g, is given by

Iδ=1δ1logmgαβgmδi,j=01i+jδβ1iδ(iα+α1jggmδiα+α1gjxjdx,
hence simple mathematics reduces the Rényi entropy as follows:
Iδ=1δ1log(i,j=0wijj+1(gj+1mj+1)),
where wij=αβgmδ1i+jδβ1iδ(iα+α1jggmδiα+α1gj, α>0,β>0.

The quadratic Rényi entropy is considered, as a special case of Rényi entropy. To obtain quadratic Rényi entropy of X, simply substitute δ by 2 in the above equation.

2.9. Order Statistics

In reliability analysis and life testing of a component in quality control, OS and its moments are considered as noteworthy measures. Let X1,X2,,Xn be a random sample of size n follow to the EPF distribution and X1<X2<<Xn be the corresponding OS. The random variables X(i),X(1) and Xn be the ith, minimum and maximum OS of X. The PDF of Xi is given by

fxix=n!i1!ni!Fxi11Fxnifx,
for i=1,2,3,,n.

By incorporating the Eqs. (1) and (2), i-th OS PDF of X is given by

fxix=n!i1!ni!1gxgmαβi111gxgmαβniαβgxgmαα11gxgmαβ1.(9)

The Eq. (9) is quite helpful in computing the w-th moment OS of the EPF distribution. Further, the minimum and maximum OS of X follows directly from the Eq. (9) with i = 1 and i = n, respectively.

The w-th moment OS, EXOSw, of X is

EXOSw=j=0nik=0rujkBka+1,bi+j,(10)
where ujk=bBi,ni+11j+knijrkgmkgkr and B (.,.) is the beta function and α>0,β>0 are the shape parameters with mx and gx.

2.10. Stress–Strength Reliability

Let X1 and X2 be the strength and stress of a random component respectively. The life of the random component is described by the model known as the stress–strength reliability model. The inadequate and adequate working of a component depend on the conditions X2> X1 and X2< X1 respectively. It can be expressed as

R=PX2<X1.

Let X1~ EPF (x;α,β,m,g) and X2~ EPF (x;α,γ,m,g) be independent and follow to EPF distribution. The reliability R is defined as

R=mgf1xF2xdx.

From Eqs. (1) and (2), reliability R is written as

R=mgαβgxgmαα11gxgmαβ11gxgmαγdx,
and simplified form of the above equation in term of β and γ yields the reliability function of the EPF distribution and it is given by
R=ββ+γ.

3. PARAMETER ESTIMATION

In this section, we suggest the method of maximum likelihood estimation which provides the maximum information about the unknown model parameters.

From (2), the likelihood function, Lϑ=i=1nfxi;α,β,m,g, of the EPF distribution is

l=nlnα+nlnβαnlngx+α1lngx+β1ln1gxgmα.

To obtain the maximum likelihood estimates (MLEs) of the model parameters can be obtained by maximizing the above equation with respect to α,β or by solving the following nonlinear equations:

lα=nαnlngm+lngm+β1gxgmαlngxgm1gxgmα,
lβ=nβ+ln1gxgmα.

The above two non-linear equations do not provide the analytical solution for MLEs and the optimum value of α, and β. The Newton-Raphson is an appropriate algorithm which plays a supportive role in such kind of MLEs. For numerical solution we prefer the R software and under its package namely, Adequacy-Model, to estimate the parameters of EPF distribution.

3.1. Simulation Study

A simulation study can be executed by (a) Identity simulation; (b) Quasi-identity simulation; (c) Laboratory simulation; (d) Computer simulation. In this section, the performance of MLE's, we discuss by the following algorithm:

Step-1: A random sample x1, x2, x3,…, xn of sizes n = 25, 50, 100, 200 and 500 are generated from Eq. (8).

Step-2: Each sample is simulated 1000 times.

Step-3: The required results are obtained based on the different combinations of the parameters place in S-I(α = 0.5, β = 1.5, m = 1 and g = 4), S-II(α = 3.5, β = 1.5, m = 4 and g = 5), S-III(α = 2.5, β = 1.5, m = 1 and g = 9), S-IV(α = 1.5, β = 2.5, m = 1 and g = 4).

Step-4: Average MLEs and their corresponding standard errors (short S.Es) (present in parenthesis) are presented in Table 1.

S-I
S-II
Parameters
Parameters
(Standard Errors)
(Standard Errors)
α^ β^ α^ β^
25 0.4305 1.4049 3.0139 1.4049
(0.1025) (0.3881) (0.7179) (0.3882)
50 0.4914 1.5148 3.4395 1.5148
(0.0821) (0.3031) (0.5747) (0.3031)
100 0.5374 1.5624 3.7617 1.5624
(0.0630) (0.2221) (0.4411) (0.2222)
200 0.5206 1.4769 3.6441 1.4768
(0.0440) (0.1479) (0.3080) (0.1483)
500 0.4739 1.4460 3.3175 1.4460
(0.0254) (0.0908) (0.1775) (0.0908)
Table 1

Average values of maximum likelihood estimates (MLEs) with standard errors (present in parenthesis) for various sample sizes.

Step-5: Biases and mean square errors (MSEs) are presented in Tables 2 and 3.

S-III
For α^
For β^
n Bias MSE Bias MSE
25 0.1909 0.4984 0.2196 0.3599
50 0.1034 0.1966 0.1128 0.1172
100 0.0259 0.0906 0.0506 0.0481
200 0.0155 0.0418 0.0394 0.0216
500 −0.0068 0.0094 0.0179 0.0047
Table 2

Bias and mean square errors (MSEs) for various sample sizes.

S-IV
For α^
For β^
n Bias MSE Bias MSE
25 0.4029 0.1429 0.4534 1.4515
50 0.0586 0.0571 0.2289 0.4349
100 0.0174 0.0265 0.1034 0.1736
200 0.0122 0.0123 0.0796 0.0781
500 0.0003 0.0027 0.0369 0.0166
Table 3

Bias and mean square errors (MSEs) for various sample sizes.

Step-6: Mean, median, variance, skewness, kurtosis and confidence intervals (CIs) (90% and 95%) are presented in Tables 47.

For α^ S-III
n Mean Median Variance Skewness Kurtosis
25 2.6909 2.6040 0.4619 0.8309 4.0110
50 2.6034 2.5672 0.1859 0.1859 3.0492
100 2.5259 2.5022 0.0898 0.4047 3.0275
200 2.5155 2.5009 0.0416 0.4418 3.2494
500 2.4932 2.4912 0.0093 0.1690 3.1844

For β^ S-III
n Mean Median Variance Skewness Kurtosis

25 1.7196 1.5939 0.3117 1.7798 8.2574
50 1.6128 1.5735 0.1044 1.0428 4.9496
100 1.5506 1.5307 0.0456 0.6965 3.7277
200 1.5394 1.5268 0.0200 0.5001 3.1365
500 1.5179 1.5167 0.0041 0.1631 3.1463
Table 4

Mean, median, variance, skewness and Kurtosis for various sample sizes.

For α^ S-IV
n Mean Median Variance Skewness Kurtosis
25 1.6029 1.5608 0.1323 0.7349 3.7258
50 1.5580 1.5388 0.0537 0.4042 2.9432
100 1.5174 1.5027 0.0262 0.3582 2.9546
200 1.5122 1.5023 0.0121 0.3922 3.1839
500 1.5002 1.4993 0.0027 0.1432 3.1876

For β^ S-IV
n Mean Median Variance Skewness Kurtosis

25 2.9533 2.6818 1.2460 1.9720 9.2736
50 2.7289 2.6453 0.3825 1.1625 5.4804
100 2.6034 2.5520 0.1629 0.7596 3.8927
200 2.5796 2.5516 0.0718 0.5571 3.2296
500 2.5369 2.5343 0.0152 0.1807 3.1734
Table 5

Mean, median, variance, skewness and Kurtosis for various sample sizes.

S-III
Two-sided 90% CI
Two-sided 95% CI
n For α^ For β^ For α^ For β^
25 (2.6555, 2.7263) (1.6904, 1.7486) (2.6487, 2.7331) (1.6850, 1.7542)
50 (2.5809, 2.6258) (1.5960, 1.6296) (2.5766, 2.6301) (1.5927, 1.6329)
100 (2.5103, 2.5415) (1.5394, 1.5616) (2.5073, 2.5446) (1.5373, 1.5638)
200 (2.5049, 2.5262) (1.5320, 1.5468) (2.5029, 2.5282) (1.5307, 1.5482)
500 (2.4881, 2.4982) (1.5144, 1.5213) (2.4872, 2.4991) (1.5138, 1.5220)
Table 6

Two-sided 90% and 95% confidence intervals (CIs) for α and β for various sample sizes.

S-IV
Two-sided 90% CI
Two-sided 95% CI
n For α^ For β^ For α^ For β^
25 (1.5840, 1.6219) (2.8952, 3.0114) (1.5804, 1.6256) (2.8841, 3.0226)
50 (1.5459, 1.5700) (2.6967, 2.7611) (1.5436, 1.5724) (2.6905, 2.7672)
100 (1.5090, 1.5259) (2.5824, 2.6244) (1.5074, 1.5275) (2.5784, 2.6284)
200 (1.5064, 1.5179) (2.5656, 2.5935) (1.5054, 1.5190) (2.5629, 2.5962)
500 (1.4975, 1.5029) (2.5305, 2.5433) (1.4970, 1.5034) (2.5292, 2.5446)
Table 7

Two-sided 90% and 95% confidence intervals (CIs) for α and β for various sample sizes.

Step-7: Increase in the sample sizes reflects the consistent decrease in biases and MSEs, mean, median, variance, skewness, kurtosis and the two-sided 90% and 95% CI of the MLEs.

Step-8: Finally based on the results, we can declare that the method of maximum likelihood estimation works quite well for EPF.

4. APPLICATION

This section reports the application of EPF distribution. Accordingly, we consider two suitable lifetime datasets. The first dataset refers to the failure times of fifty devices put on life test at time zero discussed by Aarset [20] and the observations are 0.1, 0.2, 1.0, 1.0, 1.0, 1.0, 1.0, 2.0, 3.0, 6.0, 7.0, 11.0, 12.0, 18.0, 18.0, 18.0, 18.0, 18.0, 21.0, 32.0, 36.0, 40.0, 45.0, 45.0, 47.0, 50.0, 55.0, 60.0, 63.0, 63.0, 67.0, 67.0, 67.0, 67.0, 72.0, 75.0, 79.0, 82.0, 82.0, 83.0, 84.0, 84.0, 84.0, 85.0, 85.0, 85.0, 85.0, 85.0, 86.0, 86.0. The second dataset illustrates the thirty devices failure times discussed by Meeker and Escobar [21] and the observations are 275, 13, 147, 23, 181, 30, 65, 10, 300, 173, 106, 300, 300, 212, 300, 300, 300, 2, 261, 293, 88, 247, 28, 143, 300, 23, 300, 80, 245, 266. The EPF distribution compares to its competing models based on the criteria: -log-likelihood (-LogL), Akaike information criterion (AIC), Bayesian information criterion (BIC), consistent Akaike information criterion (CAIC), Hannan-Quinn information criterion (HQIC). The following goodness-of-fit statistics comprising Anderson-Darling (A*) and Cramer-von Mises (W*) are used to study the fit of EPF distribution to the data. The minimum value of (-LogL), AIC, BIC, CAIC, HQIC, A* or W* can be helpful to declare the model as best fit to the data.

Numerous facts and figures of proposed and competing models are presented in Tables 812, corresponding to the Aarset [20] and Meeker and Escobar [21] datasets. Table 8 illustrates the various descriptive statistics. Tables 9 and 11 describe the parameters estimates and their standard errors (present in parenthesis). Furthermore, Tables 10 and 12 express the various selection criterions and goodness-of-fit statistics. The EPF distribution satisfies the criteria of a better fit model based on the results. Consequently, we declare the EPF distribution is a better fit in its competing models on both the datasets.

Data Min. 1st Quartile Median Mean 3rd Quartile Maximum
Aarset 0.10 13.50 48.50 45.67 81.25 86.00
Meeker and Escobar 2.00 68.75 196.50 177.03 298.25 300.00
Table 8

Descriptive information.

Models Estimates (Standard Errors)
α^ β^ a^ b^ θ^ λ^
EPF 0.33 0.45
(0.0781) (0.0742)
KPF 0.37 0.41 1.05
(23.4742) (0.0678) (67.1407)
OGEP 3.33 0.14 0.05
(0.6629) (0.0283) (0.0174)
WPF 1.49 0.73 1.05
(0.4886) (1.2097) (67.1407)
MOPF 7.62 0.26
(5.7076) (0.1544)
GPF 0.58
(0.0817)

EPF = exponentiated power function; GPF = generalized power function; WPF = Weibull power function; KPF = Kumaraswamy power function; MOPF = Marshall-Olkin power function, OGEPF = odd generalized exponentiated power function.

Table 9

Parameter estimates and standard errors in parenthesis for Aarset dataset for mx and g, γx.

Model -LogL AIC BIC HQIC CAIC W* A*
EPF 199.17 402.34 406.16 403.79 402.59 0.0434 0.3579
KPF 201.58 409.16 414.89 411.34 409.68 0.0442 0.3750
OGEP 204.12 414.24 419.97 416.42 414.76 0.0374 0.3102
WPF 205.18 416.35 422.09 418.54 416.87 0.0459 0.3799
MOPF 212.55 429.11 432.93 430.56 429.36 0.1179 0.8264
GPF 213.56 429.12 431.03 429.85 429.20 0.0482 0.3628

EPF = exponentiated power function; GPF = generalized power function; WPF = Weibull power function; KPF = Kumaraswamy power function; MOPF = Marshall-Olkin power function, OGEPF = odd generalized exponentiated power function.

Table 10

Information criterions and goodness-of-fit statistics for Aarset dataset.

Model Estimates (Standard Errors)
α^ β^ a^ b^ θ^ λ^
EPF 0.15 0.41
(0.0464) (0.0849)
KPF 0.50 0.22 0.67
(62.6313) (0.0446) (83.6549)
OGEP 1.44 0.21 0.005
(0.58) (0.05) (0.003)
WPF 3.38 0.81 0.21
(1.3170) (0.2509) (0.0487)
MOPF 11.80 0.28
(13.33) (0.27)
GPF 0.23
(0.0507)

EPF = exponentiated power function; GPF = generalized power function; WPF = Weibull power function; KPF = Kumaraswamy power function; MOPF = Marshall-Olkin power function, OGEPF = odd generalized exponentiated power function.

Table 11

Parameter estimates and standard errors in parenthesis for Meeker and Escobar dataset for mx and g,γx.

Model -LogL AIC BIC HQIC CAIC W* A*
EPF 119.63 243.26 246.06 244.15 243.70 0.09 0.85
KPF 125.21 256.41 260.62 257.76 257.34 0.19 1.45
WPF 152.58 311.15 315.36 312.50 312.08 0.08 0.75
OGEP 154.37 314.74 318.94 316.08 315.66 0.28 1.92
GPF 154.37 314.74 318.94 316.08 315.66 0.28 1.92
MOPF 165.53 335.06 337.87 335.96 335.51 0.34 2.30

EPF = exponentiated power function; GPF = generalized power function; WPF = Weibull power function; KPF = Kumaraswamy power function; MOPF = Marshall-Olkin power function, OGEPF = odd generalized exponentiated power function.

Table 12

Information criterions and goodness-of-fit statistics for Meeker and Escobar dataset.

Competing Models

Abbr. Model Parameters/Variable Range Reference
GPF G(x)=1(gxgm)α α>0,mxg Saran and Pandey [3]
WPF Gx=1eaxβγβxβb a,b,γ,β>0,0<xγ Tahir et al. [9]
KPF G(x)=1(1(xγ)θα)β α,β,θ,γ>0,0<xγ Abdul-Moniem [13]
MOPF G(x)=1α(1(xγ)β)(xγ)β+α(1(xγ)β) α,β,γ>0,0<xγ Okorie et al. [12]
OGEPF Gx=1eλxαγαxαβ α,β,λ>0,0<xγ Tahir et al. [22]

GPF = generalized power function; WPF = Weibull power function; KPF = Kumaraswamy power function; MOPF = Marshall-Olkin power function, OGEPF = odd generalized exponentiated power function.

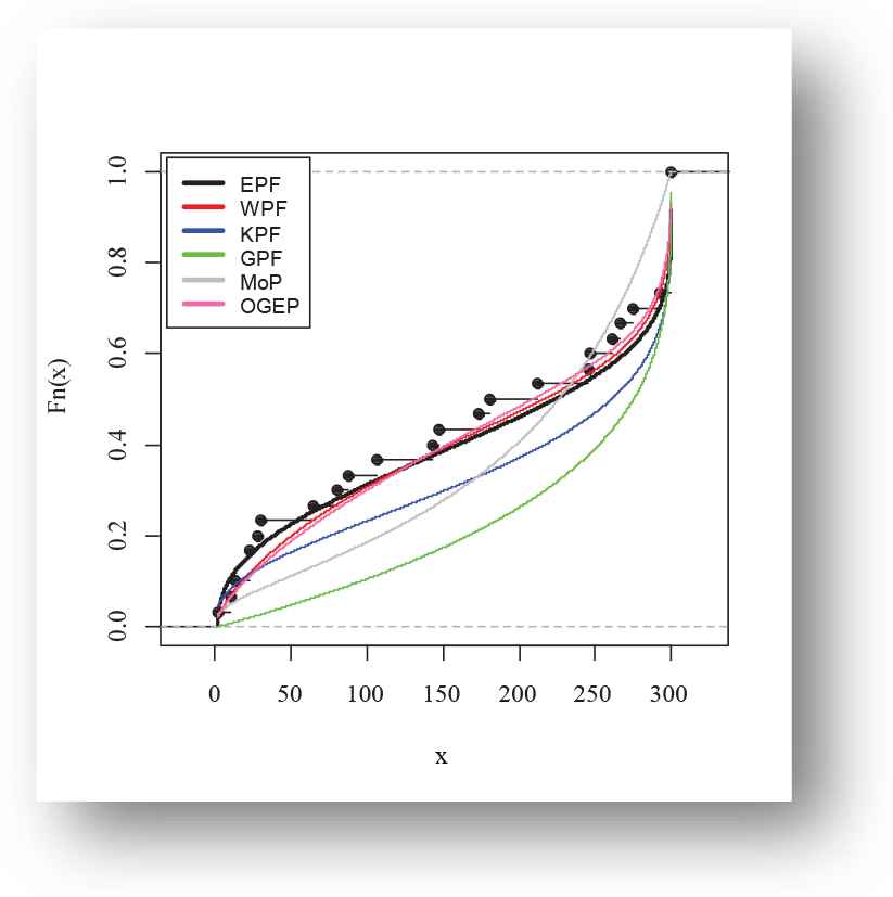
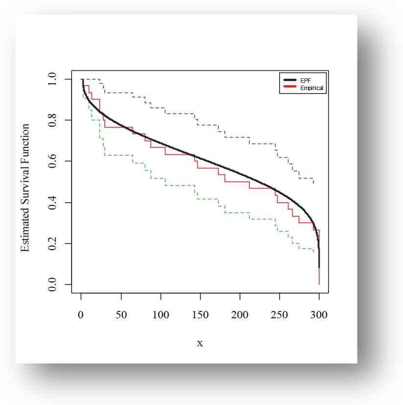
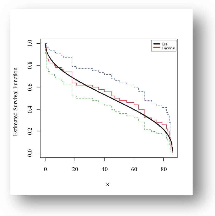
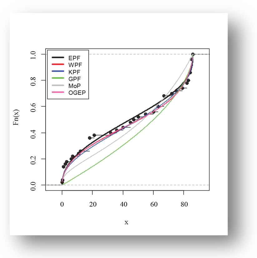
The following fitted PDFs, CDFs, competing models, Kaplan Meier survival and probability probability (PP) plots are drafted over empirical histogram for Aarset data, presented in Figures 811, respectively.

Figure 8

Empirical fitted density finction plot of exponentiated power function (EPF) distribution for Aarset data

Figure 9

Empirical fitted distribution function plot of exponentiated power function (EPF) distribution for Aarset data

Figure 10

Kaplan-Meier survival finction plot of exponentiated power function (EPF) distribution for Aarset data

Figure 11

Probability-probability (PP) plot of exponentiated power function (EPF) distribution for Aarset data

The following fitted PDFs, CDFs, competing models, Kaplan Meier survival and PP plots are drafted over empirical histogram for Meeker and Escobar data, presented in Figures 1215, respectively.

Figure 12

Empirical fitted density finction plot of exponentiated power function (EPF) distribution for Meeker and Escobar data

Figure 13

Empirical fitted distribution function plot of exponentiated power function (EPF) distribution for Meeker and Escobar data

Figure 14

Kaplan-Meier survival finction plot of exponentiated power function (EPF) distribution for Meeker and Escobar data

Figure 15

Probability-Probability (PP) plot of exponentiated power function (EPF) distribution for Meeker and Escobar data

5. CONCLUSION

In this article, we have developed a flexible model that demonstrates the bathtub-shaped density and failure rate functions and addresses the most efficient and consistent results, over the data follows to the bathtub-shaped phenomena. The proposed distribution is the exponentiated form of generalized power function distribution and it is referred to as the exponentiated power function (EPF) distribution. Numerous structural and reliability measures are derived and discussed. Model parameters are estimated by the method of maximum likelihood estimation and the Monte Carole simulation is carried out as well to investigate the performance of the MLEs. Two datasets from engineering sectors discussed by Aarset and Meeker and Escobar, are used to reveal the superiority of EPF distribution over its competing models.

CONFLICT OF INTEREST

There are no conflicts of interest for any of the authors.

AUTHORS' CONTRIBUTIONS

All authors had access to the data and a role in writing the manuscript.

ACKNOWLEDGMENTS

The authors are grateful to the editor and anonymous reviewers for their constructive comments and valuable suggestions which certainly improved quality of the paper.

REFERENCES

3.J. Saran and A. Pandey, Statistica, Vol. 14, 2004, pp. 523-536.
4.S.K. Chang, J. Chungcheong Math. Soc., Vol. 20, 2007, pp. 139-146.
5.M. Tavangar, J. Iran. Stat. Soc., Vol. 10, 2011, pp. 13-27.
8.M. Ahsanullah, M. Shakil, and B.M.G. Golam-Kibria, ProbStat Forum, Vol. 6, 2013, pp. 68-72.
11.M. Ahsan-ul-Haq, N.S. Butt, R.M. Usman, and A.A. Fattah, Gazi Univ. J. Sci., Vol. 29, 2016, pp. 177-185.
12.I.K. Okorie, A.C. Akpanta, and J. Ohakwe, Eur. J. Stat. Probab., Vol. 5, 2017, pp. 16-29.
14.A. Hassan, E. Elshrpieny, and R. Mohamed, Gazi Univ. J. Sci., Vol. 32, 2019, pp. 351-370.
17.L.A. Bowley, Elements of Statistics, fourth, Charles Scribner, New York, NY, USA, 1920.
19.A. Rényi, University of California Press, in Proceedings of the 4th Fourth Berkeley Symposium on Mathematical Statistics and Probability (Berkeley, CA, USA), 1961, pp. 547-561.
21.Q.W. Meeker and A.L. Escobar, Statistical Methods for Reliability Data, John Wiley& Sons, New York, NY, USA, 1998.
Journal
Journal of Statistical Theory and Applications
Volume-Issue
19 - 2
Pages
297 - 313
Publication Date
2020/07/03
ISSN (Online)
2214-1766
ISSN (Print)
1538-7887
DOI
10.2991/jsta.d.200514.001How to use a DOI?
Copyright
© 2020 The Authors. Published by Atlantis Press SARL.
Open Access
This is an open access article distributed under the CC BY-NC 4.0 license (http://creativecommons.org/licenses/by-nc/4.0/).

Cite this article

TY  - JOUR
AU  - Muhammad Zeshan Arshad
AU  - Muhammad Zafar Iqbal
AU  - Munir Ahmad
PY  - 2020
DA  - 2020/07/03
TI  - Exponentiated Power Function Distribution: Properties and Applications
JO  - Journal of Statistical Theory and Applications
SP  - 297
EP  - 313
VL  - 19
IS  - 2
SN  - 2214-1766
UR  - https://doi.org/10.2991/jsta.d.200514.001
DO  - 10.2991/jsta.d.200514.001
ID  - Arshad2020
ER  -