Journal of Statistical Theory and Applications

Volume 20, Issue 2, June 2021, Pages 395 - 406

Parameter Estimation of the Weighted Generalized Inverse Weibull Distribution

Authors
Sofi Mudasir*, S.P. Ahmad
Department of Statistics, University of Kashmir, Srinagar 190 006, India
*Corresponding author. Email: sofimudasir3806@gmail.com
Corresponding Author
Sofi Mudasir
Received 2 August 2018, Accepted 28 November 2020, Available Online 10 July 2021.
DOI
10.2991/jsta.d.210607.002How to use a DOI?
Keywords
Generalized inverse Weibull distribution; Weighted generalized inverse Weibull distribution; Loss function; Bayesian estimation
Abstract

Weighted distributions are used widely in many fields of real life such as medicine, ecology, reliability, and so on. The idea of weighted distributions was given by Fisher and studied by Rao in a unified manner who pointed out that in many situations the recorded observations cannot be considered as a random sample from the original distribution. This can be due to nonobservability of some events, damage caused to the original observations or adoption of unequal probability sampling procedure. In this paper, we have proposed weighted version of generalized inverse Weibull distribution known as weighted generalized inverse Weibull distribution (WGIWD). Classical and Bayesian methods of estimation were proposed for estimating the parameters of the new model. The usefulness of the new model was demonstrated by applying it to a real-life data set.

Copyright
© 2021 The Authors. Published by Atlantis Press B.V.
Open Access
This is an open access article distributed under the CC BY-NC 4.0 license (http://creativecommons.org/licenses/by-nc/4.0/).

1. INTRODUCTION

In many observational studies for wild life, human, fish population or insect, every unit in the population does not have the same chance of being included in the sample. In such cases, sampling frames are not well defined and recorded observations are biased. These observations don't follow the parent distribution and hence their modeling gives birth to the theory of weighted distributions. Fisher [1] and Rao [2] introduced and unified the concept of weighted distribution. Rao identified various situations that can be modeled by weighted distributions. These situations refer to instances where the recorded observations cannot be considered as a random sample from the original distributions. This may occur due to nonobservability of some events or damage caused to the original observation, or adoption of unequal probability sampling procedure. Weighted distributions were used frequently in research related to reliability, biomedicine, ecology and branching processes can be seen in Patil and Rao [3], Gupta and Kirmani [4], Gupta and Keating [5], Oluyede [6] and in references there in. There are many researchers for weighted distribution as Das and Roy [7] discussed the length-biased weighted generalized Rayleigh distribution with its properties, Sofi et al. [8] studied the structural properties of length-biased Nakagami distribution. For more important results of weighted distribution see Oluyede and George [9], Ghitany and Al-Mutairi [10], Ahmed, Reshi and Mir [11], Sofi et al. [12].

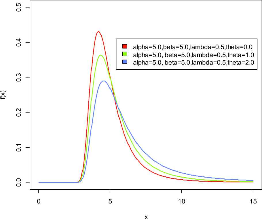
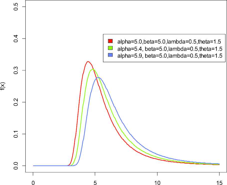
Figure 1

Probability distribution function of weighted generalized inverse Weibull distribution.

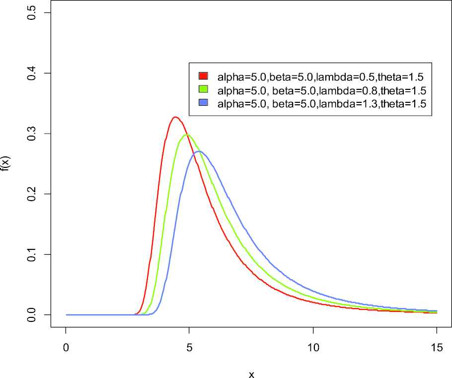
Figure 2

Probability distribution function of weighted generalized inverse Weibull distribution.

Figure 3

Probability distribution function of weighted generalized inverse Weibull distribution.

Suppose X is a nonnegative random variable with probability density function fx, then the probability density function of the weighted random variable is given by

fwx=wxfxμw,x>0,(1)
where wx be a nonnegative weight function and μw=Ewx<

The probability density function of generalized inverse Weibull distribution is given by

fx=λβαβxβ+1expλαxβ    x>0;α,β,λ>0(2)
where α and β are called scale and shape parameters, respectively.

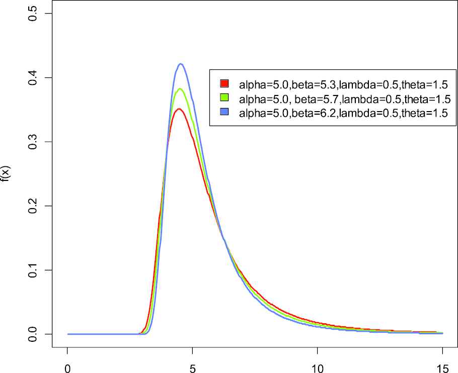
Figure 4

Probability distribution function of weighted generalized inverse Weibull distribution.

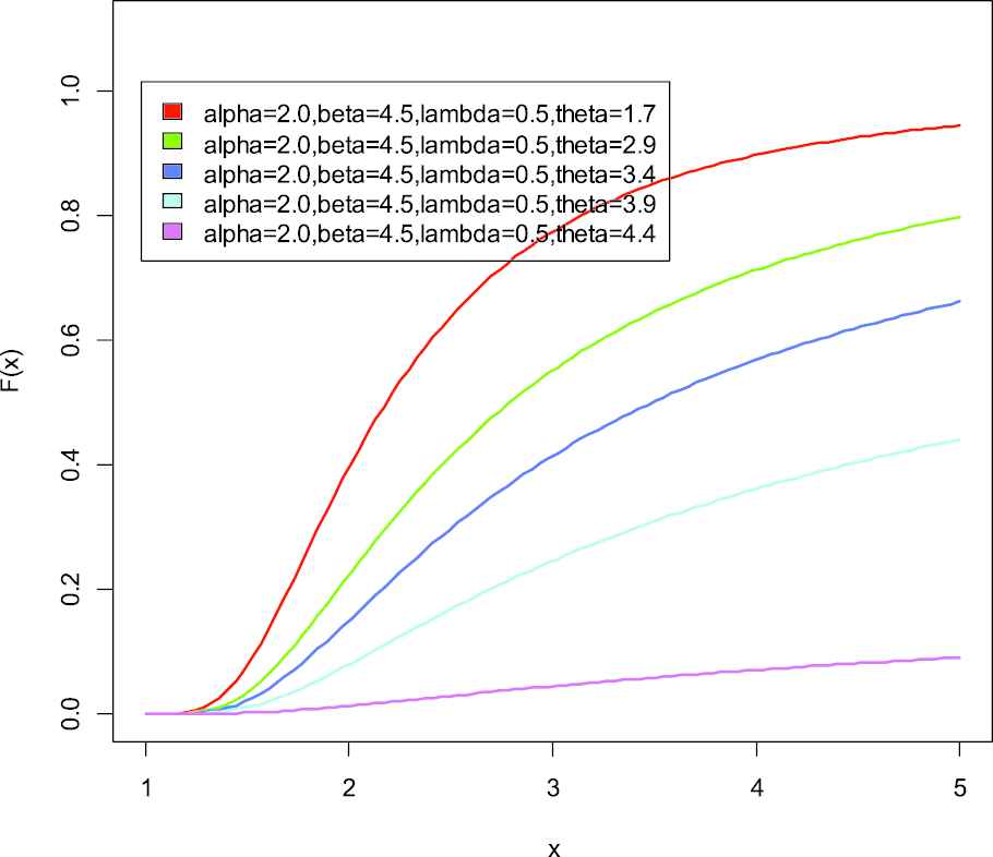
Figure 5

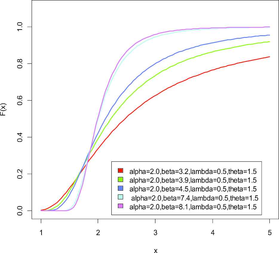
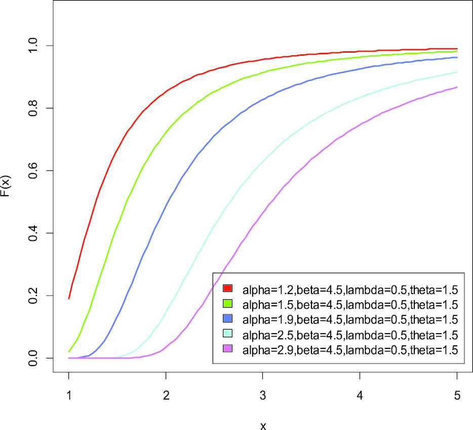
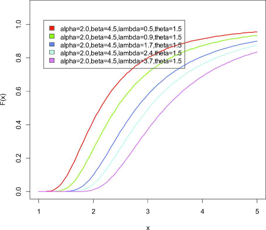
Cumulative distribution function of weighted generalized inverse Weibull distribution.

Let

wx=xθ,θ>0(3)

Now, μw=0wxfxdx

         μw=αθλθβΓ1θβ,    θβ<1(4)

Figure 6

Cumulative distribution function of weighted generalized inverse Weibull distribution.

Figure 7

Cumulative distribution function of weighted generalized inverse Weibull distribution.

Substitute the value of Equations (2)(4) in Equation (1), we get

fwx=βαβθλ1θβxθβ1expλαxβΓ1θβ,x>0;α,β,θ,λ>0 and θ<β(5)

The density function in Equation (5) is known as weighted generalized inverse Weibull distribution (WGIWD).

Also the cumulative distribution function (cdf) of weighted generalized inverse Weibull distribution (WGIWD) is

Fwx=Γ1θβ,λαβxβΓ1θβ

Figure 8

Cumulative distribution function of weighted generalized inverse Weibull distribution.

2. MAXIMUM LIKELIHOOD ESTIMATION

Let x1,x2,,xn be a random sample from (5), then the likelihood function is given by

L=βαβθλ1θβΓ1θβni=1nxiθβ1expλαβi=1nxiβ
         logL=nlogβ+n(βθ)logα+n(1θβ)logλnlogΓ1θβ+θβ1i=1nlogxiλαβi=1nxiβ

Now differentiate the above equation with respect to α and equate to zero, we get

α^=nβθλβi=1nxiβ1β

This is the required MLE of α

3. PARAMETER ESTIMATION UNDER SQUARED ERROR LOSS FUNCTION

In this section two different prior distributions namely Jeffrey's prior and extension of Jeffrey's prior are used for estimating the scale parameter of the WGIWD.

3.1. Using Jeffrey's Prior

Consider that the parameter α has Jeffrey's prior given by

π1αdetIα,  α>0
where Iα is the fisher information matrix obtained as
Iα=nE2logfwxα2=nββθα2

Therefore, the Jeffrey's prior distribution is defined by

π1α1α(6)

The posterior distribution using Jeffrey's prior is obtained by using Bayes theorem given by

P1α|xLα|xπ1α
         P1α|x=kβλ1θβΓ1θβnηθβ1αnβθ1expλαβT(7)
where η=i=1nxi,    T=i=1nxiβ  and   k is the normalizing constant and is given by
k=Γn1θβTn1θβΓn1θββn1ηθβ1

With this value of k we get from (7) the posterior distribution as

P1α|x=βλTn1θβΓn1θβαnβθ1expλαβT(8)

By using squared error loss function Lα^,α=cα^α2, for some constant c, the risk function is given by

Rα^=cα^2+cΓnβθ+2βΓn1θβλT2β2cα^Γnβθ+1βΓn1θβλT1β

The Bayes estimator α^ is the solution of the equation Rα^α^=0, which results in

α^=Γnβθ+1βΓnβθβλT1β(9)

3.2. Using Extension of Jeffrey's Prior

The extension of Jeffrey's prior relating to the scale parameter α is given as

π2αdetIαC1,C1R+
where Iα is same as in Jeffrey's prior.

         π2α1α2C1

The posterior distribution using extension of Jeffrey's prior is obtained by using the same procedure as in case of Jeffrey's prior and is given by

P2α|x=βλTnβθ2C1+1βΓnβθ2C1+1βαnβθ2C1expλαβT(10)

By using squared error loss function Lα^,α=cα^α2, for some constant c, the risk function is given by

Rα^=cα^2+cΓnβθ2C1+3βΓnβθ2C1+1βλT2β2cα^Γnβθ2C1+2βΓnβθ2C1+1βλT1β

The Bayes estimator α^ is the solution of the equation Rα^α^=0, which results in

α^=Γnβθ2C1+2βλT1βΓnβθ2C1+1β(11)

Remark 1.

If C1=12 in (11), the same Bayes estimator is obtained as in (9) corresponding to Jeffrey's prior.

4. PARAMETER ESTIMATION UNDER QUADRATIC LOSS FUNCTION

In this section we use quadratic loss function to obtain Bayes estimators using Jeffrey's and extension of Jeffrey's prior information.

The quadratic loss function is defined as

Lα^,α=αα^α2

4.1. Using Jeffrey's Prior

By using the quadratic loss function Lα^,α=αα^α2, the risk function is given by

Rα^=1+α^2λT2βΓnβθ2βΓn1θβ2α^λT1βΓnβθ1βΓn1θβ

The Bayes estimator α^ is the solution of the equation Rα^α^=0, which results in

α^=Γnβθ1βλT1βΓnβθ2β(12)

4.2. Using Extension of Jeffrey's Prior

Taking the posterior distribution (11) and by using the quadratic loss function, the risk function is given by

Rα^=1+α^2λT2βΓnβθ2C11βΓnβθ2C1+1β2α^λT1βΓnβθ2C1βΓnβθ2C1+1β

The Bayes estimator α^ is the solution of the equation Rα^α^=0, which results in

α^=Γnβθ2C1βλT1βΓnβθ2C11β(13)

Remark 2.

Replacing C1=12 in (13), the same Bayes estimator is obtained as in (12) corresponding to Jeffrey's prior.

5. PARAMETER ESTIMATION UNDER NEW LOSS FUNCTION

In this section we obtain the Bayes estimators under new loss function introduced by Al-Bayyati [13] using Jeffrey's and extension of Jeffrey's prior

The Al-Bayyati's new loss function also called new loss function is of the form

Lα^,α=αC2α^α2,C2R

Here we use this loss function to obtain the Bayes estimator of the scale parameter α of the WGIWD.

5.1. Using Jeffrey's Prior

By using the new loss function Lα^,α=αC2α^α2, the risk function is given by

Rα^=α^2Γnβθ+C2βλTC2βΓn1θβ+Γnβθ+C2+2βλTC2+2βΓn1θβ2α^Γnβθ+C2+1βλTC2+1βΓn1θβ

The Bayes estimator α^ is the solution of the equation Rα^α^=0, which results in

α^=Γnβθ+C2+1βλT1βΓnβθ+C2β(14)

Remark 3.

The Bayes estimator obtained under Jeffrey's prior given in (14) coincides with the Bayes estimator given in (9) if C2=0 in (14).

5.2. Using Extension of Jeffrey's Prior

By taking the posterior distribution (11) and using the new loss function, the risk function is given by

Rα^=α^2Γnβθ2C1+C2+1βλTC2βΓnβθ2C1+1β+Γn(βθ)2C1+C2+3βλTC2+2βΓn(βθ)2C1+1β2α^Γnβθ2C1+C2+2βλTC2+1βΓnβθ2C1+1β

The Bayes estimator α^ is the solution of the equation Rα^α^=0, which results in

α^=Γnβθ2C1+C2+2βλT1βΓnβθ2C1+C2+1β(15)

Remark 4.

If C1=12 in (15), the same Bayes estimator is obtained as in (14) corresponding to Jeffrey's prior and if C2=0 in (15) the Bayes estimator coincides with the Bayes estimator given in (11).

6. POSTERIOR MEAN AND POSTERIOR VARIANCE OF SCALE PARAMETER UNDER JEFFREY'S AND EXTENSION OF JEFFREY'S PRIORS

In this section, we calculate the posterior mean and posterior variance of the scale parameter α under Jeffrey's and extension of Jeffrey's Prior distribution.

6.1. Posterior Mean and Posterior Variance of Under Jeffrey's Prior

We have the posterior distribution under Jeffrey's prior as

P1α|x=βλTn1θβΓn1θβαnβθ1expλαβT(16)

Now

Eαr=0αrP1α|xdα(17)

By using Equation (16) in Equation (17), we get

Eαr=Γnβθ+rβλTrβΓnβθβ(18)

If r = 1 in (18), we get

E(α)=Γnβθ+1βλT1βΓnβθβ

This is the posterior mean

If r = 2 in (18), we get

Eα2=Γnβθ+2βλT2βΓnβθβ

Thus the posterior variance is given by

vα=ΓnβθβΓnβθ+2βΓ2nβθ+1βλT2βΓ2nβθβ

6.2. Posterior Mean and Posterior Variance of Under Extension of Jeffrey's Prior

We have the posterior distribution under extension of Jeffrey's prior as

P2α|x=βλTnβθ2C1+1βΓnβθ2C1+1βαnβθ2C1expλαβT(19)

Now

Eαr=0αrP2α|xdα(20)

By using Equation (19) in Equation (20), we get

Eαr=Γnβθ2C1+r+1βλTrβΓnβθ2C1+1β(21)

If r = 1 in (21), we get

Eα=Γnβθ2C1+2βλT1βΓnβθ2C1+1β

This is the posterior mean

If r = 2 in (21), we get

Eα2=Γnβθ2C1+3βλT2βΓnβθ2C1+1β

Thus the posterior variance is given by

         vα=Γnβθ2C1+1βΓnβθ2C1+3βΓ2nβθ2C1+2βλT2βΓ2nβθ2C1+1β

Remark 5.

If C1=12 then the posterior mean and posterior variance obtained under extension of Jeffrey's prior coincides with the posterior mean and posterior variance obtained under Jeffrey's prior.

7. DATA ANALYSIS

In this section we analyze real-life data set for illustration given by Lee and Wang [14] which represent remission times (in months) of a random sample of 128 bladder cancer patients (Table 1). A program has been developed in R language to obtain the Bayes estimates and posterior risks. The data are as follows: 0.08, 2.09, 3.48, 4.87, 6.94, 8.66, 13.11, 23.63, 0.20, 2.23, 3.52, 4.98, 6.97, 9.02, 13.29, 0.40, 2.26, 3.57, 5.06, 7.09, 9.22, 13.80, 25.74, 0.50, 2.46, 3.64, 5.09, 7.26, 9.47, 14.24, 25.82, 0.51, 2.54, 3.70, 5.17, 7.28, 9.74, 14.76, 26.31, 0.81, 2.62, 3.82, 5.32, 7.32, 10.06, 14.77, 32.15, 2.64, 3.88, 5.32, 7.39, 10.34, 14.83, 34.26, 0.90, 2.69, 4.18, 5.34, 7.59, 10.66, 15.96, 36.66, 1.05, 2.69, 4.23, 5.41, 7.62, 10.75, 16.62, 43.01, 1.19, 2.75, 4.26, 5.41, 7.63, 17.12, 46.12, 1.26, 2.83, 4.33, 5.49, 7.66, 11.25, 17.14, 79.05, 1.35, 2.87, 5.62, 7.87, 11.64, 17.36, 1.40, 3.02, 4.34, 5.71, 7.93, 11.79, 18.10, 1.46, 4.40, 5.85, 8.26, 11.98, 19.13, 1.76, 3.25, 4.50, 6.25, 8.37, 12.02, 2.02, 3.31, 4.51, 6.54, 8.53, 12.03, 20.28, 2.02, 3.36, 6.76, 12.07, 21.73, 2.07, 3.36, 6.93, 8.65, 12.63, 22.69.

Min. 1st Qu. Median Mean 3rd Qu. Max. Standard deviation Skewness Kurtosis
0.080 3.348 6.395 9.366 11.840 79.050 10.50833 3.286569 18.48308
Table 1

Descriptive statistics for the above real data set.

By using different loss functions, that is, SELF, QLF and NLF, the Bayes estimates and posterior risk through Jeffrey's and extension of Jeffrey's priors are presented in the tables below where posterior risk are in parentheses.

8. CONCLUSION

In this paper, we have primarily estimate the scale parameter of the new model known as WGID under Jeffrey's and extension of Jeffrey's prior distributions assuming different loss functions. For comparison, we use the real-life data set and the results are shown in the tables above.

Tables 2 and 3 show the estimates and the posterior risk in parentheses of the scale parameter α for different values of the parametersunder the Jeffrey's and extension of Jeffrey's priors. From the tables it is clear that the estimates and posterior risks obtained under extension of Jeffrey's prior coincides with the estimates obtained under Jeffrey's prior when the value of hyper-parameter C1=12. Also on comparing the posterior risks under different loss functions, it is observed that NLF has less value of posterior risk than other loss functions. Thus we conclude that in our case it is the NLF which is more preferable than other loss functions.

λ β θ C C2 MLE SELF QLF NLF
1.05 1.5 0.5 1 0.5 0.7981785 0.7971406 0.7887990 0.7992192
(0.003311692) (0.005266604) (0.0029587057)
2.0 0.5 3 1.0 0.8956767 0.8945112 0.8898279 0.8968437
(0.006259293) (0.002628107) (0.0018663487)
2.5 1.0 4 1.5 0.8374464 0.8361384 0.8326298 0.8387554
(0.005839690) (0.002105796) (0.0011153567)
3.5 1.5 6 2.0 0.8687908 0.8675784 0.8656269 0.8695190
(0.005057925) (0.001127539) (0.0006331024)
3.97 1.5 0.5 1 0.5 0.3288763 0.3284486 0.3250116 0.3293051
(0.0005622312) (0.005266605) (0.0003224283)
2.0 0.5 3 1.0 0.4606284 0.4600290 0.4576205 0.4612285
(0.0016554805) (0.002628793) (0.0002538581)
2.5 1.0 4 1.5 0.4919450 0.4911766 0.4891155 0.4927139
(0.0020151567) (0.002105852) (0.0001732894)
3.5 1.5 6 2.0 0.5941366 0.5933075 0.5919729 0.5946346
(0.0023654540) (0.001127542) (0.0001384708)
4.12 1.5 0.5 1 0.5 0.3208446 0.3204274 0.3170743 0.3212629
(0.0005351054) (0.005266658) (0.0003031018)
2.0 0.5 3 1.0 0.4521654 0.4515770 0.4492128 0.4527545
(0.0015952082) (0.002628331) (0.0002401214)
2.5 1.0 4 1.5 0.4847009 0.4839439 0.4819132 0.4854585
(0.0019562459) (0.002105828) (0.0001645215)
3.5 1.5 6 2.0 0.5878742 0.5870538 0.5857333 0.5883669
(0.0023158514) (0.001127543) (0.0001327244)

MLE = maximum likelihood estimator, SELF = square error loss function, QLF = quadratic loss function, NLF = new loss function.

Table 2

Estimates and (posterior risk) of α under Jeffrey's prior.

λ β θ C C1 C2 MLE SELF QLF NLF
1.05 1.5 0.5 1 0.5 0.5 0.7981785 0.7971406 0.7887990 0.7992192
(0.003311692) (0.005266604) (0.0029587057)
2.0 0.5 3 1.0 1.0 0.8956767 0.8921727 0.8874770 0.8945112
(0.006259250) (0.002641994) (0.0018614567)
2.5 1.0 4 2.0 1.5 0.8374464 0.8308672 0.8273250 0.8335090
(0.005858038) (0.002139587) (0.0011082842)
3.5 1.5 6 2.5 2.0 0.8687908 0.8636644 0.8616906 0.8656269
(0.005092232) (0.001145624) (0.0006316363)
3.97 1.5 0.5 1 0.5 0.5 0.3288763 0.3284486 0.3250116 0.3293051
(0.0005622312) (0.005266605) (0.0003224283)
2.0 0.5 3 1.0 1.0 0.4606284 0.4588263 0.4564114 0.4600290
(0.0016554692) (0.002642805) (0.0002531927)
2.5 1.0 4 2.0 1.5 0.4919450 0.4880801 0.4859993 0.4896320
(0.0020214881) (0.002143806) (0.0001721906)
3.5 1.5 6 2.5 2.0 0.5941366 0.5906308 0.5892810 0.5919729
(0.0023814988) (0.001145851) (0.0001381502)
4.12 1.5 0.5 1 0.5 0.5 0.3208446 0.3204274 0.3170743 0.3212629
(0.0005351054) (0.005266658) (0.0003031018)
2.0 0.5 3 1.0 1.0 0.4521654 0.4503964 0.4480259 0.4515770
(0.0015951972) (0.002641997) (0.0002394920)
2.5 1.0 4 2.0 1.5 0.4847009 0.4808930 0.4788428 0.4824220
(0.0019623923) (0.002139695) (0.0001634783)
3.5 1.5 6 2.5 2.0 0.5878742 0.5844053 0.5830697 0.5857333
(0.0023315597) (0.001145638) (0.0001324170)

MLE = maximum likelihood estimator, SELF = square error loss function, QLF = quadratic loss function, NLF = new loss function.

Table 3

Estimates and (posterior risk) of α under extension of Jeffrey's prior.

CONFLICTS OF INTEREST

The authors declare they have no conflicts of interest.

AUTHORS' CONTRIBUTIONS

Authors developed the new model and performed the analytical calculations. They also discussed the results and contributed to the final manuscript.

ACKNOWLEDGMENTS

The authors are very much thankful to the reviewers for their valuable inputs to bring this research paper to this form.

REFERENCES

2.C.R. Rao, G.P. Patil (editor), Pergamon Press and Statistical Publishing Society Calcutta, 1965, pp. 320-332. https://www.jstor.org/stable/25049375
5.R.C. Gupta and J.P. Keating, Scan. J. Statist., Vol. 13, 1985, pp. 49-56. https://www.jstor.org/stable/4616010
7.K.K. Das and T.D. Roy, Adv. Appl.Sci. Res., Vol. 2, 2011, pp. 320-327.
8.S. Mudasir and S.P. Ahmad, Int. J. Mod. Mat. Sci., Vol. 13, 2015, pp. 217-227.
13.H.N. Al-Bayyati, Comparing Methods of Estimating Weibull Failure Models Using Simulation, Ph.D. Thesis, College of Administration and Economics, Baghdad University, Iraq, 2002.
Journal
Journal of Statistical Theory and Applications
Volume-Issue
20 - 2
Pages
395 - 406
Publication Date
2021/07/10
ISSN (Online)
2214-1766
ISSN (Print)
1538-7887
DOI
10.2991/jsta.d.210607.002How to use a DOI?
Copyright
© 2021 The Authors. Published by Atlantis Press B.V.
Open Access
This is an open access article distributed under the CC BY-NC 4.0 license (http://creativecommons.org/licenses/by-nc/4.0/).

Cite this article

TY  - JOUR
AU  - Sofi Mudasir
AU  - S.P. Ahmad
PY  - 2021
DA  - 2021/07/10
TI  - Parameter Estimation of the Weighted Generalized Inverse Weibull Distribution
JO  - Journal of Statistical Theory and Applications
SP  - 395
EP  - 406
VL  - 20
IS  - 2
SN  - 2214-1766
UR  - https://doi.org/10.2991/jsta.d.210607.002
DO  - 10.2991/jsta.d.210607.002
ID  - Mudasir2021
ER  -