Artery Research

Volume 26, Issue Supplement 1, December 2020, Pages S32 - S33

P.12 Investigating the Role of Glycemic Markers in Pulse Pressure Amplification in Young Adults: The African-PREDICT Study

Authors
Yolandi Breet1, 2, *, Leandi Lammertyn1, 2, Wayne Smith1, 2
1Hypertension in Africa Research Team (HART), North-West University
2MRC Research Unit for Hypertension and Cardiovascular Disease, North-West University
*Corresponding author. Email: 21195706@nwu.ac.za
Corresponding Author
Yolandi Breet
Available Online 31 December 2020.
DOI
10.2991/artres.k.201209.025How to use a DOI?
Keywords
Pulse pressure ratio; diabetes
Abstract

Objective: Pulse pressure amplification (PPA) is described as the amplification of pulse pressure from central arteries to the periphery [1] and individuals with a decreased PPA have an increased risk of cardiovascular disease [2]. Adverse changes in PPA are evident in diabetic populations [3]; however, it is unclear whether PPA differs along varying degrees of glycaemia in young healthy populations. We therefore investigated whether PPA is attenuated with higher levels of glycemic markers and whether PPA is associated with glycemic markers independent of other known risk factors.

Methods: We included 1195 men and women from the African-PREDICT study, aged 20–30 years, with no prior diagnosis of chronic disease. We determined supine central PP (cPP) using the SphygmoCor XCEL device and PPA was defined as the ratio of the amplitude of the PP between the distal and proximal locations (bPP/cPP). Fasting glucose and glycated haemoglobin were determined and the study population was stratified by tertiles of each glycemic marker.

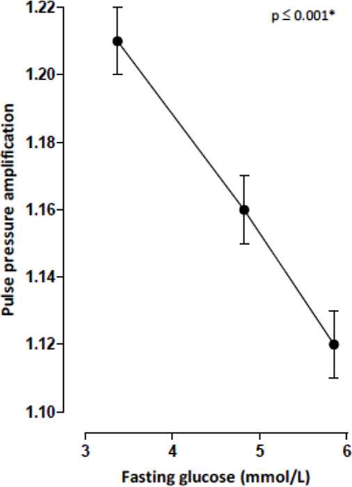
Results: The mean PPA was lower in the highest tertile of fasting glucose when compared to the lowest tertile (1.11 vs. 1.23; p ≤ 0.001). PPA declined with increasing levels of fasting glucose (p–trend ≤ 0.001) after adjustment for age, sex, ethnicity, height, heart rate and mean arterial pressure. In multivariable adjusted regression, we found an independent inverse association between PPA and fasting glucose (β = −0.15, p ≤ 0.001).

Conclusion: PPA decreases with an increase in fasting glucose in adults younger than 30 years, exemplifying early vascular changes which may increase future cardiovascular risk.

Figure

Pulse pressure amplification plotted against tertiles of fasting glucose. Values are adjusted for age, sex, heart rate, height and mean arterial pressure. *indicates p-value < 0.05 between the lowest and highest glucose group.

Adjusted R2 Pulse pressure amplification 0.15

β (SE) p
Age (years) –0.17 (0.03) <0.001
Sex 0.10 (0.04) 0.023
Ethnicity 0.02 (0.03) 0.573
Height (cm) 0.13 (0.04) 0.005
Waist circumference (cm) –0.06 (0.03) 0.150
Mean arterial pressure (mmHg) 0.17 (0.03) <0.001
Heart rate (bpm) 0.10 (0.03) <0.001
LDL-c (mmol/L) –0.04 (0.03) 0.179
Fasting glucose (mmol/L) –0.15 (0.03) <0.001
Total energy expenditure (kCal) 0.06 (0.04) 0.091
Self-reported smoking (%) –0.01 (0.02) 0.809
Self-reported alcohol use (%) –0.03 (0.02) 0.350

Data expressed as beta-values and standard errors. LDL-c, low-density lipoprotein cholesterol. p-values ≤ 0.05 regarded as significant.

Table

Forward stepwise multiple regression analyses between PPA and fasting glucose

Copyright
© 2020 Association for Research into Arterial Structure and Physiology. Publishing services by Atlantis Press International B.V.
Open Access
This is an open access article distributed under the CC BY-NC 4.0 license (http://creativecommons.org/licenses/by-nc/4.0/).

Download article (PDF)
View full text (HTML)

Journal
Artery Research
Volume-Issue
26 - Supplement 1
Pages
S32 - S33
Publication Date
2020/12/31
ISSN (Online)
1876-4401
ISSN (Print)
1872-9312
DOI
10.2991/artres.k.201209.025How to use a DOI?
Copyright
© 2020 Association for Research into Arterial Structure and Physiology. Publishing services by Atlantis Press International B.V.
Open Access
This is an open access article distributed under the CC BY-NC 4.0 license (http://creativecommons.org/licenses/by-nc/4.0/).

Cite this article

TY  - JOUR
AU  - Yolandi Breet
AU  - Leandi Lammertyn
AU  - Wayne Smith
PY  - 2020
DA  - 2020/12/31
TI  - P.12 Investigating the Role of Glycemic Markers in Pulse Pressure Amplification in Young Adults: The African-PREDICT Study
JO  - Artery Research
SP  - S32
EP  - S33
VL  - 26
IS  - Supplement 1
SN  - 1876-4401
UR  - https://doi.org/10.2991/artres.k.201209.025
DO  - 10.2991/artres.k.201209.025
ID  - Breet2020
ER  -