International Journal of Computational Intelligence Systems

Volume 13, Issue 1, 2020, Pages 130 - 141

Optimisation of Group Consistency for Incomplete Uncertain Preference Relation

Authors
Xiujuan Ma1, Zaiwu Gong1, 2, *, Weiwei Guo1
1School of Management Science and Engineering, Nanjing University of Information Science and Technology, No. 219, Ningliu Road, Nanjing, Jiangsu 210044, China
2School of Business, Linyi University, Shuangling Road, Linyi, Shandong 276000, China
*Corresponding author. E-mail: zwgong26@163.com
Corresponding Author
Zaiwu Gong
Received 6 October 2019, Accepted 8 December 2019, Available Online 30 January 2020.
DOI
10.2991/ijcis.d.200121.002How to use a DOI?
Keywords
Incomplete preference relation; Group decision making; Additive consistency; Uncertainty theory
Abstract

An incomplete uncertain preference relation (UPR) is typical in group decision making (GDM) for decision makers (DMs) to express preference over alternatives because of the information interaction barrier between people and decision making environment. Completing missing values can guarantee individual consistency and consensus level effectively. The operation of traditional interval preference relations (IPRs) is based only on the end point transformation, which may cause interval discretisation and information distortion easily. To overcome these limitations, pairwise comparison of alternatives in an IPR is treated as an uncertain distribution function of the subjective preference of the DM which avoids discretisation operation and handles interval numbers collectively. A belief degree is used to maintain the original information as much as possible. It guarantees the extent how people believe the estimated value is close to the incomplete original value. An uncertain chance constrained programming model is proposed herein to estimate incomplete values based on a belief degree when the preference relation obeys a linear uncertain distribution. A distance measure is defined to compute the consistency index and consensus degree. Subsequently, an iterative algorithm is presented for GDM with linear UPRs, which adjusts inconsistent preference relations and uses an operator to aggregate all individual preference relations. Furthermore, it is proven that the operation of UPRs is an extension of that of traditional IPRs under a certain belief degree.

Copyright
© 2020 The Authors. Published by Atlantis Press SARL.
Open Access
This is an open access article distributed under the CC BY-NC 4.0 license (http://creativecommons.org/licenses/by-nc/4.0/).

1. INTRODUCTION

Interval preference relations (IPRs) have been widely used in uncertain group decision making (GDM) to represent decision makers’ (DMs’) preference over alternatives. When encountering complex or emergent situations, DMs cannot express their complete preference information on alternatives and often present an incomplete (sparse) form of judgment because of knowledge reserve, information mastery, environment impact, and so on. Incomplete IPRs can be managed by two approaches. One is filling in incomplete values based on consistency [16], and the other is ranking alternatives directly with known elements [79]. Although the latter preserves the true preferences of DMs, it cannot guarantee the consistency between individuals, thus resulting in the distortion of decision making. Based on consistency, the iterative algorithm [1013] and the optimisation model [4,1417] are two typical methods to complete missing values. Based on the iterative algorithm, although it is easy to change the original preference relations and the convergence speed is slow, the process is robust and the consistency is good. Furthermore, the optimisation model with missing parameter constraints can obtain the optimal solutions of incomplete values.

The consistency index is typically used for measuring the consistency level of an individual IPR; subsequently, an iterative algorithm is established to achieve an acceptable level of consistency, such as in an interval fuzzy preference relation (IFPR) [18,19], interval intuitionistic preference relation [2022], linguistic preference relation [23,24], and hesitant fuzzy preference relation (FPR) [25,26]. The compatibility [2732] is used similar to the consistency index. To ensure the efficiency and consensus [11,3335], GDM typically aggregates individual preference relations into a collective preference relation, which is often obtained by the weighted averaging operator [36,37], ordered weighted averaging operator [6,10,38], and weighted geometric averaging operator [39,40], followed by a consensus to measure the difference among all individuals.

In traditional GDM, an incomplete value is often determined by minimising the deviation between the incomplete value and a supplementary value obtained by the consistency property. However, the new supplementary value may not necessarily match the original preference information, and the DM cannot measure the authenticity between the supplementary value and original missing information. Belief degrees in the uncertainty theory proposed by Liu [41] can solve this problem. Moreover, when handling the interval information, only the two end points of the interval are used in the operation, and the internal information of the interval is completely ignored, which easily results in decision distortion caused by the discretisation operation of the intervals.

In fact, the pairwise comparison of alternatives is located in an uncertain interval range in the IPRs, which is an uncertain estimation based on subjective experience. It can be understood as the uncertainty distribution (UD) of the subjective preference of the DM [4147]: for the linear uncertainty distribution (LUD), every value of the DM's preference in the interval is equally possible; for the normal uncertainty distribution (NUD), the preference value obeys the NUD under a certain belief degree, and so on. As a mathematical system dedicated to researching the belief degrees of experts, uncertainty theory [41] provides a new solution to GDM with IPRs. Using a belief degree to represent the extent of which DMs believe the small enough deviation between the supplementary values and original preference information will happen. This guarantees the authenticity of corresponding estimated values. Further, let the interval preference of DMs obeys a certain UD can handle the interval preference collectively in the process of GDM. That can effectively solve the distortion problem of traditional interval operations.

Therefore, aiming at IPRs with incomplete values, an uncertain chance constrained programming model (UCCPM) is proposed herein to obtain the optimal solutions of incomplete values based on a certain belief degree and a LUD with its consistency condition. We also discover that the operation of uncertain preference relations (UPRs) is an extension of that of traditional IPRs. Based on the uncertainty theory, we define the consistency index which measures the deviation between IPRs and the formula for adjusting the inconsistent preference relations including all values in the interval. We use an induced hybrid weighted aggregation (IHWA) operator [16] to obtain the collective preference relations, which considers the weight of DMs and ordered positions simultaneously. Furthermore, we extend the GDM algorithm suggested by Meng and Chen [16] on FPRs to UPRs.

The paper is organised as follows. Section 2 discusses the basic definitions and properties of uncertainty theory and FPRs. Section 3 introduces the concept of UPRs. This section further defines the UCCPM, consistency index, and an algorithm to revise inconsistent preference relations. Additionally, an algorithm of GDM with UPRs which can address incomplete and inconsistent cases based on additive consistency is presented with an example and a comparative analysis. Section 4 summarises conclusions and discusses ideas for future research.

2. PRELIMINARIES

2.1. Uncertainty Theory

In uncertainty theory, a variable is called an uncertain variable, and a measure (distribution) function represents the degree with which we believe the uncertain variable falls into the left side of the current point [41].

Definition 1.

Let Γ be a nonempty set, and let L be a σ-algebra over Γ. Then Γ,L is called a measurable space, and each element Λ in L is called an event. M represents an uncertain measure on the σ-algebra L. M{Λ} indicates the belief degree with which we believe Λ will happen.

Definition 2.

Let Γ be a nonempty set, let L be a σ-algebra over Γ, and let M be an uncertain measure. Then the triplet Γ,L,M is called an uncertainty space.

Axiom 1.

M{Γ}=1 for the universal set Γ.

Axiom 2.

M{Λ}+M{Λc}=1 for any event Λ.

Axiom 3.

For each countable sequence of events Λ1,Λ2,, we have Mi=1nΛii=1nM{Λi}.

Axiom 4.

Let Γk,Lk,Mk be uncertainty spaces for k=1,2,... The product uncertain measure M is an uncertain measure satisfying MΠk=1Λk=k=1Mk{Λk}, where Λk are arbitrarily chosen events from Lk for k=1,2,, respectively.

Definition 3.

An uncertain variable is a function ξ from an uncertainty space (Γ,L,M) to the set of real numbers. Let ξ1,ξ2,,ξn be uncertain variables, and let f be a real-valued measurable function. Then ξ=fξ1,ξ2,,ξn is an uncertain variable.

Definition 4.

The UD Φ of an uncertain variable ξ is defined by Φ(x)=M{ξx} for any real number x. Φ(x) is a monotone increasing function and 0Φ(x)1 (Figure 1).

Figure 1

Uncertainty distribution.

From Axiom 2, we have M{ξx}+M{ξ>x}=1, then M{ξ>x}=1Φ(x). When the UD Φ is continuous, we also have M{ξ<x}=M{ξx}=Φ(x), M{ξx}=1Φ(x).

Definition 5.

An UD Φ(x) is said to be regular if it is a continuous and strictly increasing function with respect to x at which 0<Φ(x)<1, and limxΦ(x)=0, limx+Φ(x)=1.

Definition 6.

Let ξ be an uncertain variable with regular UD Φ(x). Then the inverse function Φ1(α) is called the inverse uncertainty distribution (IUD) of ξ. A function Φ1:(0,1)R is the IUD of an uncertain variable ξ if and only if M{ξΦ1(α)}=Φ(Φ1(α))=α, for all α(0,1).

Definition 7.

An uncertain variable ξ is called linear if it has a LUD Φx:

Φ(x)={0xaxabaaxb1xb(1)
denoted by ξL(a,b) where a and b are real numbers with a<b (Figure 2).
Figure 2

Linear uncertainty distribution.

The IUD of linear uncertain variable (LUV) ξ is Φ1(α)=(1α)a+αb (Figure 3). LUD is regular.

Figure 3

Inverse linear uncertainty distribution.

Theorem 1.

Let ξ1,ξ2,,ξn be independent uncertain variables with regular UDs Φ1,Φ2,,Φn, respectively. If fξ1,ξ2,,ξn is strictly increasing with respect to ξ1,ξ2,,ξm and strictly decreasing with respect to ξm+1,ξm+2,,ξn, then ξ=fξ1,ξ2,,ξn has an IUD Ψ1(α). Ψ1(α) is defined as follows:

fΦ11α,,Φm1α,Φm+111α,,Φn11α(2)

2.2. Several Preference Relations

Let X=xi(iN=1,2,,n,n2) be a nonempty set of alternatives, D=dt (tM=1,2,,m) be the set of DMs.

2.2.1. Fuzzy preference relations

Definition 8.

[48] A FPR R=(rij)n×n is characterised by a function μR:X×X[0,1], where μRxi,xj=rij indicates the preference intensity with which alternative xi is preferred over xj. R is additive reciprocal, if

rij+rji=1,rii=0.5,i,jN(3)

rij=0.5 indicates that there is no difference between xi and xj; rij>0.5 represents that xi is preferred to xj; rij<0.5 depicts that xj is better than xi.

Definition 9.

[49] The FPR R=(rij)n×n is additively consistent, if it satisfies

rij=rik+rkj0.5,i,j,kN(4)

2.2.2. Interval fuzzy preference relations

Definition 10.

[50] Let ā1=a1,a1+, ā2=a2,a2+ be any two positive intervals.

  1. ā1ā2=a1,a1+a2,a2+=a1+a2,a1++a2+

  2. ā1ā2=a1,a1+a2,a2+=a1a2+,a1+a2

  3. λā1=λa1,a1+=λa1,λa1+λ0λa1+,λa1λ<0

Definition 11.

[51] Let R̄=(r̄ij)n×n be a FPR. R̄ is called an IFPR if r̄ij=[rijl,rijr] and r̄ji=[rjil,rjir] satisfy

rijl+rjir=rijr+rjil=1(5)
riil=riir=0.5(6)

rijrrijl0, Eq. (5) is the additive reciprocity of R̄.

Definition 12.

[1] Let R̄=(r̄ij)n×n be an IFPR. R̄ is additively consistent if

{rikl+rkjl=rijl+0.5rikr+rkjr=rijr+0.5,i<k<j,i,j,kN(7)
is true. Additionally, it can be represented as r̄ikr̄kj=r̄ij[0.5,0.5].

2.2.3. Incomplete fuzzy preference relations

Definition 13.

[10] Let R=(rij)n×n be a FPR. If at least an unknown preference value rij exists in R, then R is called an incomplete FPR. The incomplete FPR R=(rij)n×n can be completed based on the additive consistency if n1 nonleading diagonal preference values are known.

3. FPRs BASED ON UNCERTAINTY THEORY

3.1. Uncertain Preference Relations

Definition 14.

Let R¯=(L(rijl,rijr))n×n be a non-negative matrix, where r̄ij is an uncertain variable. The UD of r̄ij is Φij, and the IUD is Φij1. R̄ is an UPR if it satisfies

Φij1(β)+Φji1(1β)=1(8)
Φii1(β)=0.5(9)
for any β in [0,1], i,jN.

Eq. (8) is the additive reciprocity of R̄. The judgment element r̄ij in an UPR indicates the degree to which the alternative xi is superior to xj. Φij1(β)=0.5 indicates that there is no difference between xi and xj; Φij1(β)>0.5 indicates that xi is superior to xj; Φij1(β)<0.5 depicts that xj is better than xi.

For example, if r̄ij obeys the LUD, r¯ijL(rijl,rijr), r¯jiL(1rijr,1rijl), then R¯=(r¯ij)n×n is called a linear uncertainty preference relation.

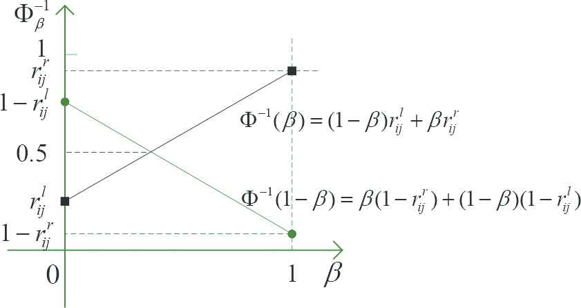
According to the additive reciprocity, (1β)rijl+βrijr+β(1rijr)+(1β)(1rijl)=1 (Figure 4). When β=0, rijl+(1rijl)=1. When β=1, rijr+(1rijr)=1. These are the definitions of additive reciprocity of IFPRs. That is, when β moves in [0,1], Φij1(β) corresponds to each value in the interval.

Figure 4

Additive reciprocity of inverse LUD.

Definition 15.

Let R̄=(r̄ij)n×n be an UPR. R̄ is additively consistent if it satisfies

Φik1(β)+Φkj1(β)=Φij1(β)+0.5(10)
for any β in [0,1], i<k<j, i,j,kN.

3.2. Uncertain Chance Constrained Programming Model

Let R¯t=(r¯ijt)n×n be the incomplete preference relation given by the DM dt (tM). The DMs are independent. r¯ijt is an uncertain variable and its UD is Φijt. We have Φijt1(β)+Φjit1(1β)=1, Φiit1(β)=0.5 for any β (β[0,1]).

In R¯t, let r¯ijt be the unknown value and r¯ijt be the ideal value of r¯ijt obtained from Eq. (10). There are (n2) equations calculating r¯ijt in the upper triangular matrix without considering equations composed of diagonal elements and incomplete values. r¯ijt is determined using the mean value, and the incomplete values in the lower triangular matrix can be obtained from the additive reciprocity.

For higher accuracy, the deviation between the ideal value r¯ijt and the estimated value r¯ijt should be as small as possible. An UCCPM is established as follows:

mini<jεijt(M1)
s.t.M|r̄ijtr̄ijt|εijtα(M11)r̄ijt=1n2k=1,ki,jn(r̄ikt+r̄kjt0.5)(M12)r̄ijtL(0,1)(M13)εijt0(M14)i<j,i,jN,tM(M15)

In the model, εijt represents the deviation between the ideal value and the estimated value; α represents the belief degree and α[0,1]; (M11) signifies that when the absolute value of deviation between the estimated value and ideal value is less than or equal to εijt and its uncertain measure is no less than the belief degree α, the estimated value is useful and credible; (M12) indicates that the ideal value is the average of all possible values except for the equations comprising diagonal elements, and incomplete values; (M13), (M14) and (M15) are range constraints.

Additionally, M{|r¯ijtr¯ijt|εijt}α{M{r¯ijtr¯ijtεijt}α,r¯ijtr¯ijtM{r¯ijtr¯ijtεijt}α,r¯ijt<r¯ijt. Let ϒ be the joint distribution of r̄ijtr̄ijt, Φijt be the distribution of r¯ijt, and Ψijt be the distribution of r¯ijt. Based on Eq. (10), we have Ψijt1(β)=Φikt1(β)+Φkjt1(β)0.5, β[0,1], i<k<j.

  • r¯ijtr¯ijt,

    M{r¯ijtr¯ijtεijt}αϒ(εijt)αεijtϒ1(α)εijtΦijt1(α)Ψijt1(1α)εijtΦijt1(α)k=1,ki,jn[Φikt1(1α)+Φkjt1(1α)0.5]n2

  • r¯ijtr¯ijt,

      M{r¯ijtr¯ijtεijt}α1M{r¯ijtr¯ijtεijt}α1ϒ(εijt)αϒ(εijt)1αεijtϒ1(1α)  εijtΦijt1(1α)Ψijt1(α)  εijtΦijt1(1α)k=1,ki,jnΦikt1(α)+Φkjt1(α)0.5n2

Therefore, the equivalent model of (M1) represented by an inverse distribution is as follows:

mini<j,i,j=Nεijt  (M2)
s.t.εijtΦijt1(α)k=1,ki,jnΦikt1(1α)+Φkjt1(1α)0.5n2(M21)εijtΦijt1(1α)k=1,ki,jnΦikt1(α)+Φkjt1(α)0.5n2(M22)Φijt1(θ)+Φjit1(1θ)=1,θ[0,1](M23)εijt0,i<j,i,jN,tM(M24)

Let r¯ijt be a LUV, r¯ijtL(r¯ijtl,r¯ijtr). (M21) equals to εijt(1α)r̄ijtl+αr̄ijtr1n2k=1,ki,jnαr̄iktl+(1α)r̄iktr+αr̄kjtl+(1α)r̄kjtr0.5, (M22) equals to εijtαr¯ijtl+(1α)r¯ijtr1n2k=1,ki,jn[(1α)r¯iktl+αr¯iktr+(1α)r¯kjtl+αr¯kjtr0.5].

Therefore, the equivalent model of (M2) is

mini<j,i,j=Nεijt  (M3)
s.t.εijt(1α)r̄ijtl+αr̄ijtrk=1,ki,jnαr̄iktl+(1α)r̄iktr+αr̄kjtl+(1α)r̄kjtr0.5n2εijtαr̄ijtl+(1α)r̄ijtrk=1,ki,jn(1α)r̄iktl+αr̄iktr+(1α)r̄kjtl+αr̄kjtr0.5n2(1β)r̄ijtl+βr̄ijtr+βr̄jitl+(1β)r̄jitr=1β[0,1],εijt0,i<j,i,jN,tM

Theorem 2.

The linear equivalent model of UCCPM (M2) is (M3).

3.3. Consistency Analysis of UPRs

3.3.1. Individual additive consistency analysis

Let R¯t=(r¯ijt)n×n be the associated additively consistent UPR of R¯t. r¯ijt is an uncertain variable and its UD is Φijt, IUD is Φijt1. When the completed UPR R̄t is equal to R̄t, then R¯t is additively consistent. When i<j, the deviations of the upper triangular matrix and lower triangular matrix between R¯t and R¯t are respectively defined as follows:

d(r¯ijt,r¯ijt)=|Φijt1(β)Φijt1(1β)|(11)
d(r¯jit,r¯jit)=|Φjit1(β)Φjit1(1β)|(12)

The smaller the value of d, the closer is R̄t to R¯t. Additionally, the consistency level of R̄t is higher. Considering that

d(r¯jit,r¯jit)=|Φjit1(β)Φjit1(1β)|=|1Φijt1(1β)[1Φijt1(β)]|=|Φijt1(1β)+Φijt1(β)|=d(r¯ijt,r¯ijt)
the deviations of the upper triangular matrix and lower triangular matrix can be expressed in the same formula; thus, we will no longer calculate the deviation of the lower triangular matrix separately.

Definition 16.

[16] Let R̄t=(r̄ijt)n×n be the associated additively consistent UPR of R̄t. The additive consistency index (ACI) of R̄t is defined as follows:

ACI(R̄t)=11n(n1)i,j=1nd(r̄ijt,r̄ijt)(13)

The larger the ACI(R̄t), the higher the consistency level of R̄t. If and only if d(r̄ijt,r̄ijt)=0, ACI(R¯t)=1 and R¯t is fully additively consistent.

3.3.2. Adjustment of inconsistent UPRs

Definition 17.

Let R¯t=(r¯ijt)n×n be the associated additively consistent UPR of R̄t. Suppose the UD of R¯t~=(r¯~ijt)n×n is Φ~ijt, θ(0,1). R¯t~ is an improved UPR, if it satisfies

Φ̃ijt1(β)=θΦijt1(β)+(1θ)Φijt1(1β)(14)

Theorem 3.

Let R¯t~ be an improved UPR and R̄t be a complete UPR. Therefore, we can derive that ACI(R¯t~)>ACI(R¯t).

Proof.

  d(r¯~ijt,r¯ijt)=|Φ~ijt1(β)Φijt1(1β)|=|θΦijt1(β)+(1θ)Φijt1(1β)Φijt1(1β)|=|θ[Φijt1(β)Φijt1(1β)]|=θ|[Φijt1(β)Φijt1(1β)]|=θd(r¯ijt,r¯ijt)<d(r¯ijt,r¯ijt)

Thus, ACI(R¯t~)>ACI(R¯t).

Corollary 1.

Let R̄̃t(h)=(r̄̃ijt(h))n×n (hZ) be the hth improved UPR. After an adjustment, the consistency index of the UPR is better than that of the previous one.

Proof.

Let Φ̃ijt(h) be the UD of R̄̃t(h) and its IUD is Φ̃ijt(h)1. Let R¯t(h1)=(r¯ijt(h1))n×n be the additively consistent UPR with UD Φijt(h1) and IUD Φijt(h1)1.

   d(r¯~ijt(h),r¯ijt(h1))=|Φ~ijt(h)1(β)Φijt(h1)1(1β)|=θ|Φ~ijt(h1)1(β)Φijt(h1)1(1β)|=θd(r¯~ijt(h1),r¯ijt(h1))

Since θ(0,1), d(r¯~ijt(h1),r¯ijt(h1)) are known constants, the deviation after each adjustment is smaller than that of the previous one.

In Corollary 1, after h0 number of iterations, a certain threshold Z0 is obtained. When d(r̄ijt(h0),r̄ijt(h01))<Z0, we consider the additive consistency of R̄̃t(h0) to be acceptable.

3.3.3. Consensus analysis

To improve the level of consensus in GDM, all individual FPRs are typically aggregated to obtain a collective FPR. The latter is used to obtain the individual preference relation which deviates significantly from the consensus [4,52,53]. Combining the uncertainty theory and the aggregation operator, a consensus index which measures the deviation between an individual UPR and a collective UPR is introduced.

Let R¯c=(r¯ijc)n×n be the collective UPR of all individual DMs. r̄ijc is an uncertain variable with an UD Φijc. For any β (β[0,1]), we have Φijc1(β)+Φjic1(1β)=1, Φiic1(β)=0.5.

Definition 18.

[16] Let R̄t=(r̄ijt)n×n be the UPR of dt, and its IUD is Φijt1. The consensus index of R̄t is defined as follows:

COI(R̄t,R̄c)=11n(n1)i,j=1nd(r̄ijt,r̄ijc)(15)

The smaller the d(r̄ijt,r̄ijc), the larger the consensus index of R̄t. If and only if d(r̄ijt,r̄ijc)=0, COI(R¯t,R¯c)=1, and the individuals reach full consensus.

Since d(r¯ijt,r¯ijc)=|Φijt1(β)Φijc1(1β)|, we have

d(r¯jit,r¯jic)=|Φjit1(β)Φjic1(1β)|=|1Φijt1(1β)[1Φijc1(β)]|=|Φijt1(1β)+Φijc1(β)|=|Φijt1(β)Φijc1(1β)|=d(r¯ijt,r¯ijc)
with i<j. The deviations of the upper triangular matrix and lower triangular matrix between R¯t and R¯c can be expressed in the same formula.

  • IHWA Operator

Meng and Chen [16] propose an IHWA operator to calculate the elements of a collective FPR based on the importance of DMs (or criteria) and ordered positions. Extending the operator to interval UPRs, we propose the following definition of the collective UPR.

Definition 19.

[16] An IHWA operator with dimension n is a mapping IHWA: Let RnR be defined on the set of the second arguments of two tuples u1,a1,u2,a2,,un,an with a set of order-inducing variables {ui}(iN), denoted by

IHWAλ,v(u1,a1,u2,a2,,un,an)=j=1nvjλ(j)j=1nvjλ(j)a(j)(16)
where (.) is a permutation on ui such that u(j) is the jth smallest value of ui, v=(v1v2vn)T is the weight vector on the ordered set O=1,2,,n, and λ=(λ1λ2λn)T is the weight vector on object set A=a1,a2,,an.

Definition 20.

Let R̄t=(r̄ijt)n×n be the UPR of DM dt, v=(v1v2vn)T and λ=(λ1λ2λm)T be the respective weight vectors on the ordered set O and on the DM set D=d1,d2,,dm. Then, the collective UPR R̄c=(r̄ijc)n×n is defined by

IHWA(ACI(R¯1),Φij11,ACI(R¯2),Φij21,,ACI(R¯m),Φijm1)=k=1mvkλ(k)k=1mvkλ(k)Φij(k)1=Φijc1(17)

Φijt1 represents the IUD of R¯t, and Φijc1 represents the IUD of R¯c. ui is represented as the ACI. (.) is a permutation on ACI(R̄k)(kM) such that ACI(R̄(k)) is the kth smallest value of ACI(R̄k).

Theorem 4.

Let R̄t=(r̄ijt)n×n be the UPR of DM dt, and R¯c=(r¯ijc)n×n be the collective UPR; then, the consistency index of the collective UPR is no less than the minimum value of any individual consistency index. That is, ACI(R̄c)min1tmACI(R̄t).

Proof.

From Eq. (13), we have

ACI(R¯c)=11n(n1)i,j=1nd(r¯ijc,r¯ijc)=11n(n1)i,j=1n|Φijc1(β)Φijc1(1β)|=11n(n1)i,j=1n|Φijc1(β)p=1,pi,jn[Φipc1(1β)+Φpjc1(1β)n2]+0.5|=11n(n1)i,j=1n|k=1mvkλ(k)k=1mvkλ(k)Φij(k)1(β)1n2k=1mvkλ(k)k=1mvkλ(k)p=1,pi,jn[Φip(k)1(1β)+Φpj(k)1(1β)]+0.5|=11n(n1)i,j=1nk=1mvkλ(k)k=1mvkλ(k)|Φij(k)1(β)1n2p=1,pi,jn[Φip(k)1(1β)+Φpj(k)1(1β)]+0.5|=k=1mvkλ(k)k=1mvkλ(k){11n(n1)i,j=1n|Φij(k)1(β)1n2p=1,pi,jn[Φip(k)1(1β)+Φpj(k)1(1β)]+0.5|}min1km{11n(n1)i,j=1n|Φij(k)1(β)p=1,pi,jn[Φip(k)1(1β)+Φpj(k)1(1β)]n2+0.5|}=min1km{11n(n1)i,j=1n|Φijk1(β)p=1,pi,jn[Φipk1(1β)+Φpjk1(1β)]n2+0.5|}=min1km{11n(n1)i,j=1n|Φijk1(β)Φijk1(1β)|}=min1km{11n(n1)i,j=1nd(r¯ijk,r¯ijk)}=min1kmACI(R¯k)
  • Weighted Averaging Consensus Index COI¯(R̄c)

Definition 21.

[16] Let R̄t=(r̄ijt)n×n be the UPR of DM dt, λ=(λ1λ2λm)T be the weight vector of DM set D=d1,d2,,dm, R̄c=(r̄ijc)n×n be the collective UPR. Then, the weighted averaging consensus index is defined by

COI¯(R̄c)=t=1mλtCOI(R̄t,R̄c)(18)

Theorem 5.

Let ω be the consensus threshold value, R̄̃t(h,g+1)=(r̄̃ijt(h,g+1))n×n(gZ) be the (g+1)th improved individual UPR for COI(R̄̃t(h,g),R̄c(h,g))<ω, Φ̃ijt(h,g+1)1 be the IUD of R̄̃t(h,g+1), and Φijc(h,g)1 be the IUD of R̄c(h,g). When Φ~ijt(h,g+1)1(β)=θΦ~ijt(h,g)1(β)+(1θ)Φijc(h,g)1(1β), θ(0,1), we have COIR̄̃t(h,g+1),R̄c(h,g)>COIR̄̃t(h,g),R̄c(h,g).

Proof.

Based on Eq. (15), we have

d(r¯~ijt(h,g+1),r¯ijc(h,g))=|Φ~ijt(h,g+1)1(β)Φijc(h,g)1(1β)|=|θΦ~ijt(h,g)1(β)+(1θ)Φijc(h,g)1(1β)Φijc(h,g)1(1β)|=θ|Φ~ijt(h,g)1(β)Φijc(h,g)1(1β)|=θd(r¯~ijt(h,g),r¯ijc(h,g))

Thus, the deviation after each adjustment is smaller than that of the previous one, namely, the consensus index of the UPR is better than that of the previous one.

  • An Algorithm for GDM

Step 1. Determine the preference relations and weight vectors.

Let R¯t=(r¯ijt)n×n be an independent UPR of the DM dt, v=(v1v2vn)T and λ=(λ1λ2λm)T be the weight vectors on the ordered set O and on the DM set D=d1,d2,,dm, respectively.

Step 2. Complete the incomplete UPRs.

Use UCCPM (M3) to compute the incomplete values in individual preference relation R¯t. Additionally, use R¯t to represent the completed individual preference relation.

Step 3. Calculate the individual consistency index.

Let R¯~t(h)=(r¯~ijt(h))n×n be the hth improved individual preference relation, h=0, R¯~t(h)=R¯t. The individual ACI threshold value is λ (λ[0,1]). If ACI(R¯~t(h))λ, then proceed to Step 5; otherwise, proceed to the next step.

Step 4. Adjust inconsistent individual UPRs.

Let Φ~ijt(h)1 be the IUD of R¯~t(h). If ACI(R¯~t(h))<λ, let Φ̃ijt(h+1)1(β)=θΦ̃ijt(h)1(β)+(1θ)Φijt(h)1(1β), where Φijt1(β)=k=1,ki,jnΦikt1(β)+Φkjt1(β)n20.5, θ(0,1). Let h=h+1 and return to Step 3.

Step 5. Calculate the individual consensus index.

Let ω be the weighted averaging consensus index threshold value, g be the number of iterations, and R̄̃t(h,g)=(r̄̃ijt(h,g))n×n be the gth improved individual UPR for COI(R¯~t(h,g1),R¯c(h,g1))<ω. When g=1, we have R¯~t(h,g1)=R¯~t(h). Use the IHWA operator to calculate the collective UPR R¯c(h,g). Use Eq. (15) to calculate the individual consensus index COI(R̄̃t(h,g),R̄c(h,g)).

Step 6. Calculate the weighted averaging consensus index.

Use Eq. (18) to calculate the weighted averaging consensus index. If COI¯(R¯c(h,g))ω, proceed to Step 8; otherwise, proceed to Step 7.

Step 7. Adjust the individual UPRs.

Let Φ~ijt(h,g)1 be the IUD of R¯~t(h,g) and Φijc(h,g)1 be the IUD of R¯c(h,g). If COI(R¯~t(h,g),R¯c(h,g))<ω, let Φ̃ijt(h,g+1)1(β)=θΦ̃ijt(h,g)1(β)+(1θ)Φijc(h,g)1(1β). Let g=g+1 and return to Step 5.

Step 8. Calculate the consistency index of the collective UPR.

Calculate the ultimate collective UPR R̄c(h,g), still denoted as R̄c. Let ϑ be the consistency index threshold value of R̄c, s be the number of iterations, and R̄c(s)=(r̄ijc(s))n×n be the sth collective UPR improved for ACI(R̄c(s1))<ϑ. When s=0, R¯c(s)=R¯c. If ACI(R¯c(s))ϑ, then R¯c(s) is additively consistent; otherwise, proceed to Step 9.

Step 9. Adjust inconsistent collective preference relation.

Let Φijc(s)1 be the IUD of R¯c(s). If ACI(R¯c(s))<ϑ, let Φijc(s+1)1(β)=θΦijc(s)1(β)+(1θ)Φijc(s)1(1β), where Φijc1(β)=k=1,ki,jnΦikc1(β)+Φkjc1(β)n20.5, θ(0,1). Let s=s+1 and return to Step 8. In addition, we have ACI(R̄c)min1tmACI(R̄t)λ based on Theorem 4. That is, when λ=ϑ, Step 9 can be omitted.

3.4. Illustrative Example

Let X=x1,x2,x3,x4 be the set of alternatives, D=d1,d2,d3 be the set of DMs, R̄t=(r̄ijt)4×4 (i,jN={1,2,3,4}) be the independent UPR of dt (tM={1,2,3}). r¯ijt is a LUV, i.e., r¯ijtL(r¯ijtl,r¯ijtr), with an UD Φijt. Let R¯c=(r¯ijc)4×4 be the collective UPR, r¯ijcL(r¯ijcl,r¯ijcr) be a LUV, and Φijc be its UD function. For any β (β[0,1]), we have Φijc1(β)+Φjic1(1β)=1, and Φiic1(β)=0.5.

The incomplete UPRs R̄1, R¯2, R¯3 provided separately by the three DMs are as follows:

(L(0.5,0.5)L(0.6,0.8)L(x13l,0.75)L(0.4,0.7)L(0.2,0.4)L(0.5,0.5)L(x23l,x23r)L(0.35,0.55)L(0.25,x31r)L(x32l,x32r)L(0.5,0.5)L(0.3,x34r)L(0.3,0.6)L(0.45,0.65)L(x43l,0.7)L(0.5,0.5))(L(0.5,0.5)L(x12l,0.7)L(0.5,0.75)L(x14l,x14r)L(0.3,x21r)L(0.5,0.5)L(0.3,x23r)L(0.55,0.8)L(0.25,0.5)L(x32l,0.7)L(0.5,0.5)L(0.7,0.8)L(x41l,x41r)L(0.2,0.45)L(0.2,0.3)L(0.5,0.5))
(L(0.5,0.5)L(0.1,0.3)L(x13l,x13r)L(0.3,x14r)L(0.7,0.9)L(0.5,0.5)L(0.2,0.4)L(x24l,x24r)L(x31l,x31r)L(0.6,0.8)L(0.5,0.5)L(0.7,0.8)L(x41l,0.7)L(x42l,x42r)L(0.2,0.3)L(0.5,0.5))

Step 1. Let the belief degree α=0.8. Based on (M3), the incomplete values are estimated. In R̄1, x13l=0.75,x23l=0.58,x23r=0.58,x34r=0.37. In R¯2, x12l=0.7,x14l=0.875,x14r=0.875,x23r=0.34. In R¯3, x13l=0.025,x13r=0.025,x14r=0.3,x24l=0.575,x24r=0.575.

Step 2. Let the individual ACI threshold value λ be 0.95. Since the actual deviation is an interval with the same end points, it is treated as a real number. Based on Eq. (13), the individual ACI is calculated. ACI(R¯1)=0.952, ACI(R¯2)=0.932, and ACI(R¯3)=0.953. Let θ=0.8 and the adjusted ACI(R¯2(1))=0.955, R¯2(1) is defined as follows:

L(0.5,0.5)L(0.7,0.7)L(0.52,0.71)L(0.88,0.88)L(0.3,0.3)L(0.5,0.5)L(0.34,0.34)L(0.57,0.76)L(0.29,0.48)L(0.66,0.66)L(0.5,0.5)L(0.75,0.77)L(0.12,0.12)L(0.24,0.43)L(0.23,0.25)L(0.5,0.5)

Step 3. Let the consensus threshold value ω be 0.85. The weight vector on the set of DMs D=d1,d2,d3 is λ=(λ1λ2λ3)T=(131313)T, and the weight vector on the ordered set O=1,2,3 is v=(v1v2v3)T=(193959)T. As ACI(R¯1)<ACI(R¯3)<ACI(R¯2(1)), the weights of R¯1, R¯2(1), and R¯3 are 19, 59, and 39, respectively. The collective UPR R̄c=(r̄ijc)4×4 is defined as follows:

L(0.5,0.5)L(0.49,0.58)L(0.38,0.49)L(0.63,0.67)L(0.42,0.51)L(0.5,0.5)L(0.32,0.39)L(0.55,0.68)L(0.51,0.62)L(0.61,0.68)L(0.5,0.5)L(0.68,0.74)L(0.33,0.37)L(0.33,0.45)L(0.26,0.32)L(0.5,0.5)

e.g.,

Φ12c1(β)=k=13vkλ(k)k=13vkλ(k)Φij(k)1(β)=(1β)(19r¯121l+39r¯123l+59r¯122(1)l)+β(19r¯121r+39r¯123r+59r¯122(1)r)=0.49(1β)+0.58β

Step 4. From Eq. (15), COI(R̄1,R̄c)=0.767, COI(R¯2(1),R¯c)=0.904, COI(R¯3,R¯c)=0.778. From Eq. (18), COI¯(R̄c)=13×0.767+13×0.904+13×0.778=0.816<ω.

Step 5. As COI(R̄1,R̄c)<ω, COI(R¯3,R¯c)<ω, R¯1, and R¯3 must be adjusted. The ultimate individual UPRs are as follows:

R̄1(0,2)=L(0.5,0.5)L(0.58,0.67)L(0.61,0.61)L(0.47,0.64)L(0.33,0.42)L(0.5,0.5)L(0.5,0.5)L(0.45,0.55)L(0.39,0.39)L(0.5,0.5)L(0.5,0.5)L(0.44,0.47)L(0.36,0.53)L(0.45,0.55)L(0.53,0.56)L(0.5,0.5)R̄2(1,1)=L(0.5,0.5)L(0.65,0.65)L(0.49,0.64)L(0.8,0.8)L(0.35,0.35)L(0.5,0.5)L(0.35,0.35)L(0.57,0.71)L(0.36,0.51)L(0.65,0.65)L(0.5,0.5)L(0.73,0.74)L(0.2,0.2)L(0.29,0.43)L(0.26,0.27)L(0.5,0.5)R̄3(0,2)=L(0.5,0.5)L(0.2,0.34)L(0.1,0.1)L(0.37,0.37)L(0.66,0.8)L(0.5,0.5)L(0.24,0.38)L(0.58,0.58)L(0.9,0.9)L(0.62,0.76)L(0.5,0.5)L(0.71,0.78)L(0.63,0.63)L(0.42,0.42)L(0.22,0.29)L(0.5,0.5)

COI(R¯1(0,2),R¯c(0,2))=0.909, COI(R¯2(1,1),R¯c(0,2))=0.87, COI(R¯3(0,1),R¯c(0,2))=0.819, COI¯(R¯c(0,2))=0.866>ω. The ultimate collective UPR R̄c is

L(0.5,0.5)L(0.46,0.56)L(0.43,0.44)L(0.47,0.57)L(0.44,0.54)L(0.5,0.5)L(0.4,0.44)L(0.51,0.58)L(0.56,0.57)L(0.56,0.6)L(0.5,0.5)L(0.56,0.6)L(0.43,0.53)L(0.42,0.49)L(0.4,0.44)L(0.5,0.5)

Let the ACI threshold value of the collective UPR be ϑ=λ=0.95; then, ACI(R¯c)=0.982>0.95, the priority problem is written separately, and this indicates that the individuals have reached the optimal consensus.

To verify the feasibility and efficiency of the proposed method, comparative analysis is conducted using existing methods to estimate the missing values and calculate ACI.

Let R¯=(r¯ij)4×4 is defined as follows:

[0.5,0.5][0.6,0.8][x13l,0.75][0.4,0.7][0.2,0.4][0.5,0.5][x23l,x23r][x24l,0.55][0.25,x31r][x32l,x32r][0.5,0.5][0.3,x34r][0.3,0.6][0.45,x42r][x43l,0.7][0.5,0.5]

Meng et al. [54] propose the concepts of quasi intervals with its additive consistency presentation. It is independent of the permutation of object labels and considers the additive consistency of lower and upper endpoints of IPRs simultaneously. Further, Meng et al. [55] discover that the additive consistency of quasi intervals is included in Krejčí's [56] which is more flexible.

Using model (26) in [54] whose solutions of missing values has the highest additive consistency level with respect to known values and model (M-3) in [55] separately, the results are shown in Table 1. Although the proposed method is dependent on the labels of objects, the estimated values of proposed method are all included in the results of [54,55] when the belief degree α=0.8. And it lessens uncertainty and has higher consistency level. Meanwhile, [54,55] are based on the interval with end points transformation which ignores internal values. The proposed method treats subjective preference as certain UD which handles the interval preference collectively. Furthermore, when the belief degree is higher, the stricter the requirement for deviation between estimated values and ideal values is, the greater the influence on ACI is. When end points of missing values are equal, the estimated values will not change whatever the belief degree changes.

Methods Consistency Missing Values
ACI
r13l r23l r23r r24l r34r
Method of Meng et al. [54] Quasi intervals additive consistency 0.6 0.3 0.63 0.1 0.43 0.893
Method of Meng et al. [55] Krejčí's additive consistency 0.65 0.6 0.6 0.25 0.4 0.918
The proposed method with α=0.8 UPRs additive consistency 0.75 0.62 0.62 0.55 0.43 0.919
The proposed method with α=0.9 UPRs additive consistency 0.75 0.65 0.65 0.55 0.3 0.909
The proposed method with α=0.95 UPRs additive consistency 0.75 0.65 0.65 0.55 0.3 0.909
Table 1

Determined missing values with different methods.

4. CONCLUSION

Based on the LUD and its consistency condition, the algorithm to fill in the incomplete values and the optimisation of group consistency of completed UPRs are investigated in this study.

The main contributions of this study are as follows:

  • An UCCPM is introduced to calculate the missing values in incomplete UPRs, which allows DMs to measure the confidence level of deviation between the supplementary values and the original incomplete information and guarantees the effectiveness of estimated values via a belief degree. It also proves that the operation of incomplete UPRs is an extension of that of traditional IPRs under a certain belief degree.

  • A novel distance measure and the ACI of incomplete UPRs are proposed to calculate the consistency and consensus degree of preference relations based on LUD. They are also used to improve the consistency and consensus index of UPRs iteratively.

  • The interval preference is treated collectively by obeying the LUD, which avoids the decision distortion and discretisation operation of intervals in the traditional interval operation.

Our future research will focus on two aspects. We discuss the situation of independent DMs in current work. If social relationships of individuals are considered, then GDM can be more scientific. Besides the interval preference information of DMs obeys a LUD, it may obey a NUD, zigzag uncertainty distribution, or lognormal uncertainty distribution, etc. Nonlinear distributions of other types of preference relations with their multiplicative consistency indices will be further investigated.

CONFLICT OF INTEREST

Authors have no conflict of interest to declare.

AUTHORS' CONTRIBUTIONS

The study is guided by Zaiwu Gong and written by all authors.

Funding statement

This work is supported in part by the National Natural Science Foundation of China under Grant 71971121, 71571104, 71871121 and 71401078, in part by the NUIST-UoR International Research Institute, in part by the Major Project Plan of Philosophy and Social Sciences Research in Jiangsu Universities under Grant 2018SJZDA038, in part by the 2019 Jiangsu Province Policy Guidance Program (Soft Science Research) under Grant BR2019064.

ACKNOWLEDGMENTS

Thank reviewers and editors for their valuable suggestions.

REFERENCES

42.B. Liu, Some research problems in uncertainty theory, J. Uncertain Syst., Vol. 3, 2009, pp. 3-10. http://www.worldacademicunion.com/journal/jus/jusVol03No1paper01.pdf
43.B. Liu, Why is there a need for uncertainty theory?, J. Uncertain Syst., Vol. 6, 2012, pp. 3-10. http://www.worldacademicunion.com/journal/jus/jusVol06No1paper01.pdf
Journal
International Journal of Computational Intelligence Systems
Volume-Issue
13 - 1
Pages
130 - 141
Publication Date
2020/01/30
ISSN (Online)
1875-6883
ISSN (Print)
1875-6891
DOI
10.2991/ijcis.d.200121.002How to use a DOI?
Copyright
© 2020 The Authors. Published by Atlantis Press SARL.
Open Access
This is an open access article distributed under the CC BY-NC 4.0 license (http://creativecommons.org/licenses/by-nc/4.0/).

Cite this article

TY  - JOUR
AU  - Xiujuan Ma
AU  - Zaiwu Gong
AU  - Weiwei Guo
PY  - 2020
DA  - 2020/01/30
TI  - Optimisation of Group Consistency for Incomplete Uncertain Preference Relation
JO  - International Journal of Computational Intelligence Systems
SP  - 130
EP  - 141
VL  - 13
IS  - 1
SN  - 1875-6883
UR  - https://doi.org/10.2991/ijcis.d.200121.002
DO  - 10.2991/ijcis.d.200121.002
ID  - Ma2020
ER  -