International Journal of Computational Intelligence Systems

Volume 14, Issue 1, 2021, Pages 1034 - 1041

A Study on Semi-directed Graphs for Social Media Networks

Authors
Sovan Samanta1, *, ORCID, Madhumangal Pal2, ORCID, Rupkumar Mahapatra2, ORCID, Kousik Das3, Robin Singh Bhadoria4, ORCID
1Department of Mathematics, Tamralipta Mahavidyalaya, West Bengal, 721636, India
2Department of Applied Mathematics with Oceanology and Computer Programming, Vidyasagar University, Midnapore, 721102, India
3Department of Mathematics, D.J.H. School, Dantan, West Bengal, 721451, India
4Department of Computer Science and Engineering, Birla Institute of Applied Sciences
*Corresponding author. Email: ssamantavu@gmail.com
Corresponding Author
Sovan Samanta
Received 15 July 2020, Accepted 11 February 2021, Available Online 10 March 2021.
DOI
10.2991/ijcis.d.210301.001How to use a DOI?
Keywords
Semi-directed graphs; Incidence number; Counter-isomorphism; Matrices; Incidence centrality; Social media networks
Abstract

In the literature of graph theory, networks are represented as directed graphs or undirected graphs and a mixed of both combinations. In today's era of computing, networks like brain and facebook that do not belong to any of the mentioned networks category and in fact, it belongs to the combination of both networks which have connections as directed as well as undirected. To represent such networks, semi-directed graphs have been studied in this paper that provides the detailed mathematical fundamentals related to better understand the conceptualization for social media networks. This paper also discusses the suitable matrices analyze for the representation of the graphs. Few new terminologies like incidence number, complete-incidence related to semi-directed graphs and counter isomorphism of semi-directed graphs have been inculcated. A centrality measure, namely incidence centrality, has also been proposed based on incidence number on neighbors in social media networks.

Copyright
© 2021 The Authors. Published by Atlantis Press B.V.
Open Access
This is an open access article distributed under the CC BY-NC 4.0 license (http://creativecommons.org/licenses/by-nc/4.0/).

1. INTRODUCTION

Graph Theory is eventually the study of relationships. For a set of nodes and connections, graph theory contributes a helpful tool to quantify and simplify the many evolving parts of dynamic methods. Swiss mathematician Leonhard Euler first originated the fundamental idea of graphs in the 18th century. After that, the branch is advanced rapidly and at present graph theory has several branches for researchers.

Analyzing brain network is a popular research area of network sciences. However, the representation is done by undirected graphs. Though, researchers on network science believe that the brain network might be a mixture of direction and undirection [1]. The nodes of the network denote the brain regions, and the links describe the connections or information flow among them. In the literature of graph theory, there is nothing to represent such mixture networks accurately. There are many instances in the current world, indicating that semi-direction of networks. For example, the current Facebook setting [2] has mixed direction. It can be noted that two friends on Facebook may be connected without following themselves. In that case, the linkage between the two friends may be undirected. If they follow each other, then along with undirected edge, there are directed edges too. In the literature, Sotskov and Tanaev [3], discussed coloring of mixed graphs. In mixed graphs, a link is either an edge or an arc (directed edge). But, the link between two vertices may be edge or arc or both. To measure the connectivity between two nodes properly, semi-directed graphs have been introduced in this paper.

Representation of such mixed graphs has some literature. Liu and Li introduced Hermitian-adjacency matrices of mixed graphs. After that, Adiga et al. [4] described the adjacency matrix of a mixed graph. In that paper, the matrix was defined as a real matrix. Parallel edges combing both undirected and directed edges should have a single value representing adjacency. In this study, the adjacency matrix is defined in a more convenient way to describe such semi-directed graphs.

Isomorphism in graph theory is another interesting topic. Whitney [5] described some properties on isomorphic graphs in 1933. After that, several works on graph isomorphism can be found. But directed networks are also required to be represented, and their similarity is also desired. This is solved by Berztiss [6]. The isomorphism in a mixed graph is introduced in [7]. In all these cases, mixed graphs have been assumed as there exists directed edges or undirected edges. In our proposed graphs, these edges may appear simultaneously. A new term incidence number of a vertex is defined as a single value of the degree of semi-directed graphs. Also, isomorphism is defined as per assumption on mixed graphs. The opposite of the orientation of edges has been made in counter-isomorphic graphs. Barbosa et al. [8,9] introduced augmenting health assistant applications with social media. Readers can access the idea of mixed graphs from [1015].

Mahapatra et al. [1619] introduced the edge colouring of a fuzzy graph and radio k colouring in fuzzy graphs. There are different types of centralities available in the literature. But measuring influence can be made proper by their dominance in nature. Some persons do not dominate others in their relationship. These are assumed as undirected edges. Directed edges make the dominances and influences of relationship. In this study, a centrality measure, incidence centrality, has been defined. At last, the area of application is described before the conclusion has been made.

1.1. Gist of Contributions

  • This study develops the properties (completeness, influential neighbors) on semi-directed graphs.

  • Three types of matrices are proposed.

  • Isomorphism and counter-isomorphism on semi-directed graphs are proposed.

  • Areas of application on semi-directed graphs are proposed.

2. PRELIMINARIES

Definition 2.1.

[9] Let V be a nonempty set of elements, called vertices or nodes. Also let, E=E1E2 where E1V×V is a set of unordered pairs of vertices, i.e., E1=u,v|u,vV, called a set of undirected edges and E2V×V is a set of ordered pair of vertices E2=a,b|a,bV, called a set of directed edges. Here G=V,E1,E2 is said to be a semi-directed graph.

Example 2.1.

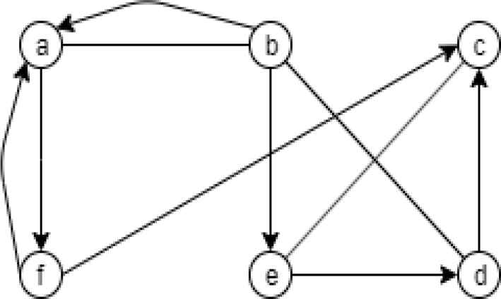
Let V=abc,d,e,f, E1=a,b,b,d,c,e and E2=a,f,f,a,b,a,b,e,e,df,c,d,c. Here G=V,E1,E2 is a semi-directed graph (shown in Figure 1).

Figure 1

Example of semi-directed graph.

Definition 2.2.

[9] Degree of a vertex u is denoted as triplet Du=du,d+u,du where du is the sum of all incident edges of E1, d+u is the number of out-directed edges of E2 from the vertex u and du is the number of in-directed edges of E2 toward the vertex u. Now, the incidence number of a vertex u is denoted as inu and defined as in u=du+d+udu.

Example 2.2.

The degree of a vertex a of the graph, shown in Figure 1, is given as da=1,1,2. Now the incidence number is in a=1+12=0.

Note 2.1.

The sum of the incidence numbers in a semi-directed graph is always even.

Definition 2.3.

A undirected walk in a semi-directed graph G=V,E1,E2 is a sequence: v1e1v2e2v3ekvk+1 where v1,v2,v3,,vk+1 are the vertices and e1,e2,,ek are edges respectively such that all the edges are undirected. A undirected walk from vertex u to v is said to be a undirected path of length m if there exist exactly m edges in the walk and no vertices, no edges repeat.

A directed walk in a semi-directed graph G=V,E1,E2 is a sequence: v1e1v2e2v3ekvk+1 where v1,v2,v3,,vk+1 are the vertices and e1,e2,,ek are edges respectively such that all the edges are directed. A directed walk from vertex u to v is said to be a directed path of length m if there exist exactly m edges in the walk and no vertices, no edges repeat except u,v.

A path in a semi-directed graph G=V,E1,E2 is said to cycle if initial and end vertices are the same. If a semi-directed graph does not contain a cycle, then the graph is acyclic.

Example 2.3.

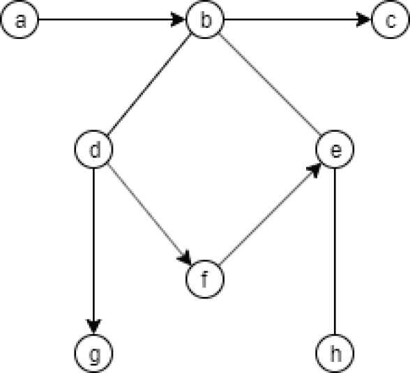
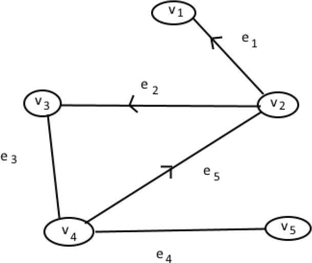
In semi-directed graph (Figure 2), v5e4v4e3v3e1v1 undirected a path and v4e5v2e2v1 is a directed path and there is no cycle.

Figure 2

An example of a semi-directed graph.

Definition 2.4.

Let G=V,E1,E2 be a semi-directed graph. Then a graph H=V,E1,E2 is said to be a subgraph of G if VV,E1E1,E2E2.

Example 2.5.

In Figure 2, G=V,E1,E2 where V=v1,v2,v3,v4,v5, E1=e4,e3, E2=e1,e2,e5 is a semi-directed graph. Consider H=V,E1,E2 where V=v2,v4,v5, E1=e4, E2=e5. Then H is subgraph of G.

3. COMPLETENESS PROPERTY OF SEMI-DIRECTED GRAPHS

If there exist all three types of connections, i.e., out-directed edges, in-directed edges and undirected edges between every pair of vertices, then the graph is called a complete semi-directed graph. Without having all three types of edges, sometimes graphs may be called complete depending on incidence number and connections between every pair of vertices.

Definition 3.1.

A semi-directed graph is said to be complete-incidence semi-directed graph if every pair of vertices is connected by at least one edge (undirected or directed) and the incidence number of all vertices are equal.

Example 3.1.

Since in the above graph (Figure 3), there are the connections (undirected or directed) between every pair of vertices and the incidence number of each of the vertices is 3. Hence it is a complete-incidence semi-directed graph.

Figure 3

An example of a complete-incidence semi-directed graph.

Note that, every complete semi-directed graph is complete-incidence semi-directed graphs.

Definition 3.2.

A semi-directed graph is called regular if the incidence numbers of each vertex are equal.

Lemma 1.

Every complete-incidence semi-directed graph is regular.

Proof.

Let G=V,E1,E2 be a complete-incidence semi-directed graph. Then there is at least one connection between others vertices and the incidence numbers of all the vertices are equal. Thus obviously, it is a regular semi-directed graph.

Definition 3.3.

Let G=V,E1,E2 be a semi-directed graph. If the vertex set V partitioned into two nonempty subsets V1 and V2 such that

  1. V1V2=V and V1V2=,

  2. Every vertex of V1 is connected (undirected or directed) to the vertices of V2 and conversely,

  3. There are no edges between the vertices of V1 itself or V2 itself.

Then the graph is a bipartite semi-directed graph.

Definition 3.4.

A bipartite semi-directed graph is said to be complete-incidence if there exist a partition V1 and V2 such that

  1. V1V2=V and V1V2=,

  2. Every vertex of V1 is connected (undirected or directed) to all the vertices of V2 and conversely and the incidence numbers of each vertex of V1 (V2) are same.

  3. There are no edges between the vertices of V1 itself or V2 itself.

Example 3.2.

Let us consider a complete-incidence bipartite graph, as shown in Figure 4. Here two sets of vertices are shown as a,b and c,d,e which have no connections among themselves and each vertex of a set is connected to the vertices of another set.

Figure 4

A complete-incidence bipartite graph.

Definition 3.5.

Let G=V,E1,E2 be a semi-directed graph and let CV=V,E,E be a complete semi-directed graph. The complement of G is denoted as Gc and defined as Gc=V,E1C,E2C where E1CE1=E,E1CE1=ϕ and E2CE2=E, E2CE2=E.

Example 3.3.

In Figure 5, a semi- directed graph, and its complement graph is shown.

Figure 5

A semi-directed graph and its complement.

4. INFLUENTIAL NEIGHBORHOODS OF SEMI-DIRECTED GRAPHS

In semi-directed graphs, the 1-step neighbor is measured depending on the out-directed edge and undirected edge. Thus, influential neighborhoods are classified as followers and following. Incidence number is the parameter for influential neighbors.

Incidence number of a vertex x due to the node y is denoted as inyx= (number of an undirected edge between x and y) + (number of out-directed edge from x to y) − (number of edge in-directed edge from y to x). If inyx>0, then x has a follower “y,” and the same will be represented as iny+x. Similarly, if inyx<0 then x has a precursor “y,” and the same will be represented as nyx.

Thus set of followers of a node x, is denoted Fx=yV:inyx>0 and set of precursors is denoted by Px=zV:inyx<0. It can be noted that a node x having both out-directed and in-directed edges to another node y, i.e., inyx=0,y is not an influential neighborhood, and hence y does not belong to Fx or Px.

Example 4.1.

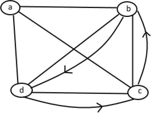
In Figure 6, the node a has one follower, namely b. The node b has three followers, namely d,e,c and one precursor as a.

Figure 6

A semi-directed graph with set of followers.

5. MATRIX REPRESENTATION OF SEMI-DIRECTED GRAPH

5.1. Adjacency Matrix Representation of Semi-directed Graphs

Adjacent matrix is one of the important matrices. It is used to represent vertices which are adjacent to others, i.e., there is an edge connecting vertices in a graph. The adjacency matrix of a semi-directed graph G=V,E1,E2 with n vertices is a n×n symmetric binary matrix AG=aij,bij, where

aij=inji,if there is an edgedirected or indirectedith and jth vertices0,if there is no edge between them.

Example 5.1.

The adjacency matrix (depending on incidence value) of the semi-directed graph, shown in Figure 1, is given as follows:

a b c d e f
a 0 0 0 0 0
b 2 0 1 1 0
c 0 0 −1 1 −1
d 0 1 1 −1 0
e 0 −1 1 1 0
f 0 0 1 0 0

5.2. Adjacency Matrix Representation of Semi-directed Graphs Depending on Incidence Value

In this article, a new kind of adjacency matrix is introduced and termed as “adjacency matrix depending on incidence value.” The adjacency matrix of a semi-directed graph G=V,E1,E2 with n vertices is a n×n symmetric binary matrix AG=aij, where

aij=in,if there is an edge of E1 betweenith and jth vertices0,if there is no edge between them.
bij=1,if there is an edge of E2 directed fromith vertex to jth vertex0,if there is no edge between them.

Example 5.2.

The adjacency matrix of the semi-directed graph, shown in Figure 1, is given as follows:

a b c d e f
a (1, 0) (0, 0) (0, 0) (0, 0) (0, 1)
b (1, 1) (0, 0) (1, 0) (0, 1) (0, 0)
c (0, 0) (0, 0) (0, 0) (1, 0) (0, 0)
d (0, 0) (1, 0) (0, 1) (0, 0) (0, 0)
e (0, 0) (0, 0) (1, 0) (0, 1) (0, 0)
f (0, 1) (0, 0) (0, 1) (0, 0) (0, 0)

5.3. Incidence Matrix Representation of Semi-directed Graphs

Let G=V,E1,E2 be a semi-directed graph with n vertices and m edges. The incidence matrix of G is a n×m matrix BG=cij,dij,eij, where

cij=1,if ith vertex is incident with jth edge of E10,else.
dij=1,if the jth edge of  E2 is directeed awayfrom the ith vertex0,else.
eij=1,if the jth edge of  E2 is directeedtowards to the ith vertex0,else.

Example 5.3.

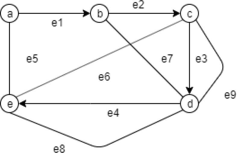
The incidence matrix of the semi-directed graph, shown in Figure 7, is given as follows:

e1 e2 e3 e4 e5 e6 e7 e8 e9
a (0, 1, 0) (0, 0, 0) (0, 0, 0) (0, 0, 0) (1, 0, 0) (0, 0, 0) (0, 0, 0) (0, 0, 0) (0, 0, 0)
b (0, 0, −1) (0, 1, 0) (0, 0, 0) (0, 0, 0) (0, 0, 0) (0, 0, 0) (1, 0, 0) (0, 0, 0) (0, 0, 0)
c (0, 0, 0) (0, 0, −1) (1, 0, 0) (0, 0, 0) (0, 0, 0) (1, 0, 0) (0, 0, 0) (0, 0, 0) (1, 0, 0)
d (0, 0, 0) (0, 0, 0) (0, 0, −1) (0, 1, 0) (0, 0, 0) (0, 0, 0) (1, 0, 0) (1, 0, 0) (1, 0, 0)
e (0, 0, 0) (0, 0, 0) (0, 0, 0) (0, 0, −1) (1, 0, 0) (1, 0, 0) (0, 0, 0) (1, 0, 0) (0, 0, 0)

Figure 7

A semi-directed graph.

6. ISOMORPHISM OF SEMI-DIRECTED GRAPHS

Let G1=V1,E1,E2 and G2=V2,E3,E4 be two semi-directed graphs. Then G1 and G2 are said to be isomorphic if there exists a one-one correspondence between the vertex sets V1 and V2, between undirected edge sets E1 and E3 and between directed edge sets E2 and E4 such that if any two vertices a,bV1 are connected by an edge a,bE1 or (a,b)E2 if and only if corresponding vertices c,dV2 are also connected by an undirected edge c,dE3 or directed edge c,dE4. Alternatively, the following definition is defined below.

Definition 6.1.

Let G1=V1,E1,E2 and G2=V2,E3,E4 be two semi-directed graphs. Then G1 and G2 are said to be isomorphic if there exists a bijective mapping f:V1V2 such that there exists an edge fa,fb in E3 (or (f(a),f(b)) in E4) if and only if there exist edges a,b in E1 (or (a,b)in E2).

It follows from the definition that two isomorphic semi-directed graphs have

  • same number of vertices

  • same number of undirected edges

  • same number of directed edges

  • same degree sequences

  • same adjacency matrices

  • same incidence matrices

  • same incidence number of corresponding vertices.

Example 6.1.

Consider two pairs of semi-directed graphs (Figure 8). We see that there is one to one correspondence between vertices

aw,bx,cu,dv
and one-to-one correspondence between edges
a,bw,x,b,cx,u,d,cv,u,d,cv,u,b,dx,v,a,dw,v.

Figure 8

Two semi-directed graphs.

Also, the adjacency matrix and incidence matrix both are same for two graphs. Hence the graphs are isomorphic.

Now consider two semi-directed graphs (Figure 9). These two graphs are like similar but not isomorphic since vertex c corresponds to vertex f and vertex b corresponds to vertex g but the edge c,b does not correspond to the edge f,g because of the opposite direction.

Figure 9

Two semi-directed graphs.

Lemma 6.1.

Two semi-directed graphs are isomorphic if and only if its complements are isomorphic.

Definition 6.2.

If a semi-directed graph is isomorphic to its complement graph, then the graph is called self-complement semi-directed graph.

Example 6.2.

Consider the semi-directed graph G (Figure 10a) and hence find its complement G (Figure 10b). See that there is one to one correspondence between vertices and edges correspondence are given by:

Figure 10

Self-complementary semi-directed graph.

Tables drawn below represents the vertices and its edge combinations:

Vertex of G Vertex of G
a d
b c
c b
d a
Edges of G Edges of G
a,b d,c
b,c c,b
b,c c,b
c,b b,c
c,d b,a
d,c a,b
a,d d,a
a,d d,a
d,a a,d

Theorem 6.1.

The number of edges in a semi-directed self-complement graph with n vertices is 3/2nC2.

Proof.

Let G be any semi-directed graph with n vertices and G be the self-complement graph of G. Since the graph contains n edges, then the total number of edges in a complete semi-directed graph is 3 nC2,

Again, the number of edges in G + number of edges in G = 3nC2.

Since self-complement graphs are isomorphic to itself, then the number of edges in G = number of edges in G.

Therefore, the number of edges in G is 3/2 nC2

6.1. Counter-Isomorphic Semi-directed Graphs

Definition 6.3.

Let G1=V1,E1,E2 and G2=V2,E3,E4 be two semi-directed graphs. Then G1 and G2 are said to be counter-isomorphic if there exists a bijective mapping f:V1V2 such that there exists an edge fb,fa in E4 (or (f(a),f(b)) in E3) if and only if there exist edges a,bin E2 ((a,b) in E1).

Example 6.3.

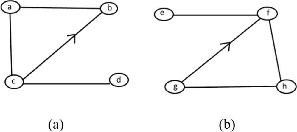
In Figure 11, two graphs have been shown. The part (b) of the figure is counter isomorphic to the part (a).

Note: The number of vertices and number edges are same in counter
Figure 11

An example of counter-isomorphic graphs.

Theorem 6.2.

Incidence number of a vertex is differed by twice the difference of out-degree and in-degree of the vertex to its corresponding vertex in a counter-isomorphic graph.

Proof.

Let G1=V1,E1,E2 and G2=V2,E3,E4 be two counter-isomorphic semi-directed graphs. Let a vertex v1V1 and its corresponding vertex be v2V2. It is clear that the incidence number of v1 is expressed as in v1=dv1+d+v1dv1 and incidence number of v2 is expressed as in v2=dv2+d+v2dv2.

By the definition of a counter-isomorphic graph, the in-degree is replaced by out-degree in incidence number for the corresponding vertex and vice versa. Thus dv1=dv2,d+v1=dv2,dv1=d+v2 is true. Hence, in v1~in v2=2d+v1~dv1=2(d(v2)~d+(v2) the result is true.

7. APPLICATION AREA OF SEMI-DIRECTED GRAPHS

There can be numerous applications that follows and utilizes the concept of semi-directed graph or network where direct and indirect point of connection can be established.

One major application that involves the prediction of epidemic spread (Figure 12) of a disease like flu (Corona Virus Disease 2019) or measles into human society. This can be used to inspect the impact of directed or indirect point of contacts. Such application can be investigate for the case of uncorrelated semi-directed networks [12].

Figure 12

Node Analysis into Semi-directed Network.

Secondly, the basic reproduction rate of bacteria can be obtained using semi-directed graph in which the rate of growth for a particular cell can be determine for the infection rate to its adjacent cell. This phenomenon is termed as “Kinetic Modeling of Bacteria Growth in Cells.” This examination is very useful in Tumor Cell Morphology [10].

Thirdly, in automated driving system (ADS), the communication among various vehicles can be based upon directed and indirected connection where each vehicle can trace its path for possible number of links based upon availability of roads. This concept of semi-directed networks can be used to not only improve vehicle safety, but also to recover vehicle efficiency and travel times prediction [11].

Fourth, one of the popular application of these semi-directed graph is user identification into social media network. It can be beneficial for finding vulnerabilities of cross platform or advertisement of sale over social sites. The study of user behavior for analyzing information diffusion and mapping of purchase pattern across social e-commerce site can impact direct and indirect connection for its examination [8].

Measuring central persons in large networks is an essential task nowadays. The central persons are generally the most influential persons in the networks. It can be a common point for spreading information like news or any useful value to all overall the network at a very rapid pace. Thus, finding such persons in a large network is an interesting research area. Several definitions of centrality are available in the literature [11]. All these definitions are based on directed or undirected graphs.

Suppose a network is considered as an undirected edge links two connected persons if they do not influence each other. If one person/node (a) influences another person/node (b), then there will exist one directed edge from a to b. Now, for influential measurements of a node (a) is important to find the collection of all such nodes (x) to whom a is connected by undirected edges and all the nodes (y) to whom influences, i.e., there exists directed edges from a to y. Also, the nodes which influence the target node is a kind of negative influences on the target node. Thus, the incidence number is a perfect measurement of such 1-step neighbors. As a measure of influence is not only the subject matters of 1-step neighbors, it can be extended up to the desired steps of neighbors. This measurement is termed as incidence centrality and defined as follows.

Definition 7.1.

Let G=V,E1,E2 be a semi-directed graph representation of a network. Incidence centrality Cin v of a node, v is given by

Cin v=in v+puFvinvu+uPvinvu
where in v denotes the incidence number of the node v, Fv is the set of followers of v, Pv denotes the set of precursor nodes of v, and p is a parameter 0,1. By default, the value of the parameter will be taken as 0.5. This parameter is a parameter, and its value is chosen by the nature and problem of the network.

The incidence centrality considers the incidence number of a node and its neighborhood in a network.

Example 7.1.

In Figure 13, a small network is considered.

Figure 13

A small network.

The incidence centrality of {b} is calculated as

Cin b=in b+0.5uFbinbu+uPbinbu=2+0.51111=3

The incidence centrality of d,

Cin d=in d+0.5uFdindu+uPdindu=+2+0.542=+3

8. CONCLUSION WITH FUTURE WORKS

This paper introduced new properties of semi-directed graphs. These properties can be the backbone for any social media network representations. In the considered applications, a new centrality measure, incidence centrality, has been introduced. In such definition, direct neighborhood and 1-step neighborhoods have been considered and for indirect neighborhoods, the consideration is subject to the nature of such social media networks. With such network properties analysis, the semi-directed graph will get a new direction of representations. In future, this study can be extended to fuzzy semi-directed graphs, neutrosophic semi-directed graphs and related studies. It will be helpful to analysis of online social networks.

CONFLICTS OF INTEREST

There are no conflicts of interests among the authors.

AUTHORS' CONTRIBUTIONS

Sovan Samanta introduced the idea of the paper. Kousik Das constructed the paper. Madhumangal Pal and Rupkumar Mahapatra reviewed the article and put important suggestions. Robin Singh Bhadoria helped in the application part.

ACKNOWLEDGMENTS

The authors did not receive any funding from any sources for this work. The presented and discussed work herewith are efforts made by all the authors.

REFERENCES

3.Y.N. Sotskov and V.S. Tanaev, Chromatic polynomial of a mixed graph, Vestsi Akademii Navuk BSSR, Seriya Fiz.-Mat Navuk., Vol. 6, 1976, pp. 20-23.
7.A.M. Mohammed, Mixed graph representation and mixed graph isomorphism, J. Sci., Vol. 30, 2017, pp. 303-310.
9.H.D. Vianna and J.L.V. Barbosa, Pompilos, a model for augmenting health assistant applications with social media content, J. Univ. Comput. Sci., Vol. 26, 2020, pp. 4-32.
16.R. Mahapatra, S. Samanta, and M. Pal, Applications of edge colouring of fuzzy graphs, Informatica, Vol. 31, 2020, pp. 313-330.
17.R. Mahapatra, S. Samanta, T. Allahviranloo, and M. Pal, Radio fuzzy graphs and assignment of frequency in radio stations, Comput. App. Mathematics, Vol. 38, 2019, pp. 1-20.
18.R. Mahapatra, S. Samanta, M. Pal, and Q. Xin, RSM index: A new way of link prediction in social networks, J. of Intel. and Fuzzy Sys., Vol. 37, 2019, pp. 2137-2151.
19.R. Mahapatra, S. Samanta, M. Pal, and Q. Xin, Link prediction in social networks by neutrosophic graph, Inter. J. of Comput. Intel. Sys., Vol. 13, 2020, pp. 1699-1713.
Journal
International Journal of Computational Intelligence Systems
Volume-Issue
14 - 1
Pages
1034 - 1041
Publication Date
2021/03/10
ISSN (Online)
1875-6883
ISSN (Print)
1875-6891
DOI
10.2991/ijcis.d.210301.001How to use a DOI?
Copyright
© 2021 The Authors. Published by Atlantis Press B.V.
Open Access
This is an open access article distributed under the CC BY-NC 4.0 license (http://creativecommons.org/licenses/by-nc/4.0/).

Cite this article

TY  - JOUR
AU  - Sovan Samanta
AU  - Madhumangal Pal
AU  - Rupkumar Mahapatra
AU  - Kousik Das
AU  - Robin Singh Bhadoria
PY  - 2021
DA  - 2021/03/10
TI  - A Study on Semi-directed Graphs for Social Media Networks
JO  - International Journal of Computational Intelligence Systems
SP  - 1034
EP  - 1041
VL  - 14
IS  - 1
SN  - 1875-6883
UR  - https://doi.org/10.2991/ijcis.d.210301.001
DO  - 10.2991/ijcis.d.210301.001
ID  - Samanta2021
ER  -