International Journal of Computational Intelligence Systems

Volume 9, Issue 3, June 2016, Pages 506 - 524

An autonomous teaching-learning based optimization algorithm for single objective global optimization

Authors
Fangzhen Ge*, Liurong Hong, Li Shi
School of Computer Science and Technology, Huaibei Normal University, Huaibei 235000, China
*Corresponding author. E-mail: gfz203377@163.com.
Corresponding Author
Fangzhen Ge
Received 2 November 2015, Accepted 22 February 2016, Available Online 1 June 2016.
DOI
10.1080/18756891.2016.1175815How to use a DOI?
Keywords
Teaching-Learning Based Optimization; Global Optimization; Autonomy; Learning Desires
Abstract

Teaching-learning based optimization is a newly developed intelligent optimization algorithm. It imitates the process of teaching and learning simply and has better global searching capability. However, some studies have shown that TLBO is good at exploration but poor at exploitation and often falls into local optimum for certain complex problems. To address these issues, a novel autonomous teaching-learning based optimization algorithm is proposed to solve the global optimization problems on the continuous space. Our proposed algorithm is remodeled according to the three phases of the teaching and learning process, learning from a teacher, mutual learning and self-learning among students instead of two phases of the original one. Moreover, the motivation and autonomy of students are considered in our proposed algorithm, and the expressions of autonomy are formulated. The performance of our proposed algorithm is compared with that of the related algorithms through our experimental results. The results indicate the proposed algorithm performs better in terms of the convergence and optimization capability.

Copyright
© 2016. the authors. Co-published by Atlantis Press and Taylor & Francis
Open Access
This is an open access article under the CC BY-NC license (http://creativecommons.org/licences/by-nc/4.0/).

1 Introduction

Optimization problems are solved commonly by mathematical methods to obtain the optimal solution, but it is basically very difficult to find the optimal solution within an acceptable time because the optimization problems in practice are NP-hard. Thus, many researchers have proposed some intelligent optimization approaches to optimization problems, and have achieved fruitful results.

Recently, the design principle of intelligent optimization algorithms are generally based on biological behavior, the laws of physics (or phenomena) and human behavior (or cognitive), etc., which are all the innovative design ideas. The algorithms inspired by some biological phenomena including genetic algorithm (GA)1, artificial immune algorithm (AIA)2, ant colony optimization (ACO)3, particle swarm optimization (PSO) 4, differential evolution algorithm (DE)5, artificial bee colony algorithm (ABC)6, chaos ant swarm optimization(CASO)7 and so on. As for CASO, it is devised according to the chaotic behavior of ants and the self-organization behavior of the ant colony; and it has been proved to be effective in a lot of real-world problems. Furthermore, the author and coworkers developed the CASO, and discover the principle of chaos–order transition in foraging behavior of ants8. Other algorithms are designed based on the physical phenomena such as simulating annealing (SA)9, gravitational search algorithm (GSA)10, and grenade explosion method (GEM)11, fireworks algorithm (FWA)12. The third type of algorithms is based on human social behavior or cognitive. For example, Moscato proposed a memetic algorithm (MA)13 based on cultural evolutionary. Especially, Rao et al. proposed a teaching-learning based optimization (TLBO)14, which is under help of teaching and learning process of human.

TLBO’s design philosophy is relatively new, and it has solved some engineering design problems15,16,17,18, some studies show that TLBO is not among the best meta-heuristics19,20 and has some shortcomings, such as, (i) the design of TLBO is so simple that it only includes two phase, teacher phase and leaner phase. In fact, the process of learning includes learning from teacher, learning from his/her classmates and self-learning. Besides, motivation is a direct factor to affect learning. Some learners maybe have their stronger desires for improving their scores, while others have their weaker motivation. Consequently, the effect of learners depends on their own learning desires, in other words, learning desires can reflect the ability to gain a sense of achievement through learning. This capability of learners is called autonomy in this paper. Obviously, TLBO doesn’t reflect the autonomy of the learners. (ii) TLBO suffers from premature and falls into the local optimum. To avoid the disadvantages of TLBO and to improve the autonomy, we reconstruct an autonomous teaching-learning based optimization, called ATLBO, on the basis of the teaching and learning process.

In our ATLBO, we firstly assume that the teaching-learning process has three phases: learning from teacher, group learning and self-learning. Then, we formulate some expressions according to the characteristics of each learning phase. Finally, we verify the validity of the ATLBO algorithm by means of the extensive experiments.

The main contributions of this paper are presented in the following.

  1. (i).

    We propose a novel behavior-inspired swarm intelligence algorithm on the basis of the teaching and learning process. This population-based optimization algorithm demonstrates an outstanding performance in the global optimization.

  2. (ii).

    We introduce the learning desire into our proposed algorithm to embody the learners’ autonomy.

  3. (iii).

    We carry out a large number of experiments to investigate the effectiveness and efficiency on some classical functions in previous references, and the latest CEC2014 benchmark suite.

The rest of this paper is organized as follows: Section 2 presents the TLBO algorithm proposed by R. V. Rao. Section 3 explains the process how to design the ATLBO algorithm in detail. Section 4 shows simulation results. Finally, conclusions are stated in Section 5.

2 Teaching-learning based Optimization Algorithm

The TLBO algorithm is a population-based optimization algorithm, which was developed according to the teaching and learning. There are two characters in the teaching-learning system, one is a teacher, and the other is learner. The best individual (learner) is viewed as the teacher. Learners learn from the teacher or from another learner. The purpose of the teacher is to improve the average score of a whole class, while the targets of these learners are to increase their own scores. Therefore, TLBO has two phases, i.e., teacher phase and learner phase.

To facilitate the description, we have an example with minimum optimization problem. Let the objective function be f(X) with D -dimensional variables X ∈ [−Rm, +Rm], where −Rm and +Rm are the lower bound and the upper bound of the independent variable X, respectively. Xi = (xi1,xi2,…,xiD) represents the position of the ith learner, i ∈ {1,2,3,…,N}. The teacher is denoted by Xteacher = arg min f(Xj), j ∈ {1,2,3,…,N}. The mean position of all learners M=1Ni=1NXi.

2.1 Teacher phase

During the teacher phase, the teacher imparts knowledge to his/her learners. Then, the position of learner Xi is updated as follows:

Xi(t)=Xi(t1)+ri·(Xteacher(t)TF·M(t1))
where t is the current time, t − 1 is the last time, ri is a step factor, which is a random number in the range [0, 1], TF is a teaching factor, which determines the average change between two times, we can choose 1 or 2 according to Eq.(2)
TF=round[1+rand(0,1)]

If f(X(t)) < f(X(t − 1)), then we accept X(t).

2.2 Learner phase

In the learner phase, learners learn from each other. That is, a learner Xi randomly selects another one Xj(ji), and interacts with Xj. Then, the learning can be expressed as follows.

Xi(t)={Xi(t1)+ri·(Xi(t1)Xj(t1)),iff(Xi(t1)<f(Xj(t1)),Xi(t1)+ri·(Xj(t1)Xi(t1)),otherwise.

2.3 Remove duplicates phase

According to the TLBO description16,17 and the TLBO MATLAB code obtained from its inventors, duplicate elimination step is applied. The duplicate elimination strategy is given in the following.

Duplicate elimination strategy
Foreach duplicate(Pj) do
  Pj ←random_solution();
  Evaluate(Pj);
  Num_eval + +;
  If Num_eval + +== MFE then
    return best(P);
  End
End

Where duplicate(Pj) indicates that the solution of Pj has existed in the candidate solutions, Num_eval is the number of fitness value evaluation, MFE is the maximum of fitness value evaluations.

Although the TLBO algorithm is a simple and effective method that can solve many optimization problems, it has some unreasonable ideas. TLBO, by nature, is a hill climbing method, and it cannot reflect the autonomy of individual learner. Ref. 21 reported that the performance of TLBO is not better than other EAs. As V. K. Patel pointed out that: “teaching factor of TLBO is relatively fixed, without considering the individual’s self-learning ability” 22. In other words, TLBO doesn’t conform to the teaching and learning in real world. As we all known, the learning, for a learner, should be divided into three types, learning form the teacher, group learning and self-learning. Therefore, we develop an autonomous teaching and learning optimization algorithm provided that the real process of teaching and learning, and the individual learning autonomy are given full consideration, namely ATLBO, which is methodologically different from TLBO.

3 Description of ATLBO

During the actual teaching and learning process, the teacher needs to innovate and to improve their teaching level; learners perform a continuous learning process including learning from the teacher, learning from another learner within his/her group and self-learning so as to raise their own grades. Moreover, as a learner, he/she can take the initiative to learn with a strong or weak learning desire.

As a result, we reconstruct framework of the ATLBO algorithm as follows. There are a number of groups in the class; the learning process of a learner in a group consists of three steps: individual firstly learns from the teacher, then learns from the optimal individual in the group, finally refines himself/herself. In addition, in order to reflect the autonomy of individual, we put forward the concept of learning desire whose magnitude can reflect the intensity property of a learner’s autonomy. Here we also assume that the objective function is f* = min f(X).

3.1 Learning from the teacher

In this phase, learners learn from the teacher (the optimal learner), i.e., learners narrow the distance with their teacher with learning desire. In other words, learners can adjust the search direction and step length in the light of the intensity of their learning desires. Then the learning desire Gi of Xi can be written as

Gi(t)=Gi(t1)·α(f(x)fmin+ε)/(fmaxfmin+ε)
where fmax and fmin are respectively the maximum and minimum fitness values at the current time, α is the difficulty factor α ∈ (1,2), which indicates the difficulty to learn from the teacher, and ε is a sufficient small number to avoid division-by-zero. Eq. (4) ensures that a higher fitness value will lead to a smaller learning desire, thereby improving the grade of an individual within smaller ranges.

Then Eq (1) can be converted into

Xi(t)=Xi(t1)+ri·Gi(t)·(Xteacher(t)TF·M(t1))

3.2 Group learning

During this process, the leaner interact with the optimal learner of his/her group, and narrows the distance from the local optimal individual. Let Xbest be the optimal individual of group K. The interaction of learner Xi and Xbest can be written as

Xi(t)=N(Xbest(t1)+Xi(t1)2,|Xbest(t1)Xi(t1)|2)
where N(μ,σ) is a Gaussian random number with mean μ and standard deviation σ. If f(Xi(t)) < f(Xi(t − 1)), Xi(t − 1) is replaced by Xi(t), otherwise Xi(t − 1) is remained at t time. Eq.(6) shows that the new grade of group learning is a random number between the known best grade within this group and the original grade. We use this expression because it has been proved to be competitive for a great number of difficult numerical optimization problems23.

3.3 Self-learning

The goal of self-learning is to increase the ability of the exploitation of the ATLBO algorithm. Because the ergodicity of chaos systems can help to improve the exploitation, we design the self-learning using chaos mapping based on the advantages of chaos. More importantly, we have already started our research in chaos and achieved some results24,25,26,27. All of these studies are based on chaotic ant swarm. Chaotic ant has the chaotic behavior of a single ant and self-organizing ability of the whole ant colony8. Therefore, we devise the self-learning using chaos mapping of an ant. Chaos mapping of an ant8 is Z(t) = Z(t − 1)eμ(1−Z(t−1)). Let Z(t)=1μV(t), thus

V(t)=V(t1)exp(μV(t1))
when control parameter μ=3, the chaos system is chaotic state, as shown in Fig 1. We can see from Fig. 1 that the interval of V(t) is [0, 7.5]. The center line of V(t) is about 7.5/2. Let V(t) = ϕX(t), then
X(t)=X(t1)exp(3ϕX(t1))
where ϕ is a control parameter.

Fig.1.

Eq.(8) is chaotic when μ = 3

In order to make the interval [0, 7.5] cover the search interval [−Rm, Rm], we transform Eq. (8) into Eq. (9)

Xi(t)=(Xi(t1)+νi7.5ϕ)exp(3ϕ(Xi(t1)+νi7.5ϕ))νi7.5ϕ
where t is the current time, t − 1 is the last time. Xi(t) is the position of learner Xi at the current time. νi = 1/2 denotes chaotic attractor of learner Xi move a half of the search interval toward the negative direction. Here the control parameter ϕ = 7.5/(2 · Rm). This design method makes full use of the chaotic sensitivity to initial state and chaotic ergodicity to jump out of the local region, thereby comprehensively searching the solution space.

To embody the study motivation, the self-learning desire Si is quantized as follows

Si=S·fi/f¯
where fi is the fitness value of learner Xi, f¯ is the mean fitness value of all learners; S′ is the initial value of self-learning. Eq.(10) shows that self-learning desire will increase rapidly when fi is greater than f¯, so there are more opportunities to improve their fitness value; on the contrary, self-learning desire will decrease dramatically when fi is lower than f¯, thereby protecting the optimal solution. Therefore, the grade of self-learning is updated according to Si.

3.4 Dynamic study group

To improve the population diversity and to avoid falling into a local optimum, ATLBO uses a strategy of dynamic study group. We discuss three sub-problems in the following: the definition of a dynamic study group, how to reorganize a group and the best time to reorganize the group.

In a class, learners often discuss some problems within a study group which is usually composed of adjacent learners. In order to simulate this kind of learning environment, we construct a two-dimensional grid as shown in Fig 2.

Fig. 2.

Two-dimensional grid M × N

In the grid, each learner occupies a two-dimensional coordinate. For a learner, its study group is composed of the front, back, left, right learners and itself. Because the study groups mutual overlay each other, the information can be spread to the whole class, and then by means of the interaction among the learners to achieve the purpose of global optimization.

Let Sm,n be the site of learner Xi, then the group of Xi

Group(m,n)={S(m1,n1),S(m2,n2),S(m3,n3),S(m4,n4)}
where
m1={m1,m1,M,m=1,n1=n,m2={m+1,mM,1,m=M,n2=n,m3=m,n3={n1,n1,N,n=1,,m4=m,n4={n+1,nN,1,n=N,

To improve the diversity of search, we require changing the learner’s position from one study group to another, that is, the position of a learner is changed from one site to another. The 2D mesh is fixed when a learner changes his/her position. For simplicity, we randomly exchange two rows or columns. For example, &(S(r,)),&(S(,l)) are learners of rth row and lth columns. We can exchange two rows &(S(r1,)) and &(S(r2,)) when ALTBO needs, r1, r2 are random integer on the interval [1, M], and |r1r2| > 2. Of course, we can exchange two columns &(S(,l1)), &(S(,l2)) by the same token, here l1, l2 are also integer on the interval [1, N], and |l1l2| > 2.

During the search process, if the fitness values do not change for two successive times, it may lead to decrease learners’ exploitation ability, especially in the anaphase of the evolutionary process. Therefore, once the aforementioned cases encountered in the evolutionary process, group adjusting strategy is started to improve the search ability.

3.5 Steps of ATLBO

The steps of our ATLBO algorithm can be summarized as follows.

  • Step 1:

    Initialize the parameters of ATLBO, such as the maximum of fitness value evaluations (MFE), population size(popsize), dimension of variables(n), difficulty factor(α), learning desire Gi(0), self-learning desire Si(0) and so forth. The initial value Xi = {xi,1,xi,2,…,xi,n} is defined as follows:

    xi,d=xL+rand·(xUxL)
    where xL and xU is the lower and upper boundaries of variables, respectively.

  • Step 2:

    Evaluate each learner f(Xi) and choose the best one to be the teacher with the objective function at current time. Get the learning desire Gi(t) from Eq.(4).

  • Step 3:

    Calculate TF = round(1 + rand(1)), update all learners according to Eq.(5).

  • Step 4:

    For each learner, construct its group according to Eq.(11), and execute the group learning with Eq.(6).

  • Step 5:

    Execute the self-learning according to section 3.3, if rand()<Si, accept Xi of self-learning.

  • Step 6:

    Determine whether the groups are restructured according to subsection 3.4.

  • Step 7:

    If Num_eval = MFE, terminate ALBO and output the best solution. Otherwise jump Step 2.

Similar to genetic algorithm (GA), ant colony optimization (ACO), artificial bee colony algorithm (ABC)6, ATLBO is a population based optimization. But the most important difference between relevant algorithms and ATLBO in that: (i) ATLBO is constructed based on a learner’s learning process with autonomy; (ii) the learners’ study motivations are taken account in the proposed ATLBO; (iii) reconstructing the study group strategy is applied. Although our ATLBO algorithm is slightly more complicated than TLBO, it is easy to implement, moreover, it employs a novel design idea.

Besides the common parameters such as population size popsize, dimension of variables n etc., there are three control parameters of ATLBO: the difficulty factor α, learning desire Gi and self-learning desire Si. According to Eq. (4), we can see from that a lager α may guide ATLBO to explore a larger area, while a small α may make ATLBO execute a more intensive exploitation. As for Gi and Si, they can improve the best solutions and can increase the autonomy of each learner. Empirically, we recommend setting α to 1.03, Gi(0) to 0.62, Si(0) to 1.

4 Simulation experiments

To verify the performance of our ATLBO algorithm, we devise two types of experiments, one is for the global convergence of the proposed algorithm, and the other is for the effectiveness of our algorithm. For fairness, we compare ATLBO with several classic algorithm, such as artificial bee colony algorithm (ABC)6, CLPSO 28, TLBO14, ETLBO17. All algorithms run on a computer of Intel Core i5 2.50GHz CPU, 4GB memory, Matlab 7.14. In a two-dimensional grid of learning environment, the number of columns is 6, and the number of rows is 10. The maximum and minimum weights of CLPSO are 0.9 and 0.4 respectively, and the number of ETLBO’s elite individual is set to 4. The code of ABC is from http://mf.erciyes.edu.tr/abc, and that of ETLBO is from https://sites.google.com/site/tlborao. In additions, our stop criterion is the number of fitness value evaluations instead of the number of iterations, and the relevant parameters of other algorithms are in accordance with the corresponding papers.

4.1 Comparison of Convergence Speed

Convergence tests are firstly done as follows. For fair comparison, we use 18 benchmark functions which are come from Ref.29,30,31,32. The 18 benchmark functions are listed in table 1. In table 1, f1f5 are multimodal functions, f6f10 are unimodal functions, the remained functions f11f18 are rotated models. The “Range” in table 1 is the interval of the variables, “fmin” is the optimal solution, “Acceptance” indicates the acceptable solutions of different functions.

Function Formula Range fmin Acceptance
f1(Weierstrass) f1(x)=i=1D(k=1kmax[akcos(2πbk(xi+0.5))])Dk=0kmax[akcos(2πbk×0.5)]a=0.5b=3kmax=20 [0.5,0.5] 0 1E-5
f2(Rastigin) f2(x)=i=1D[xi210cos(2πxi)+10] [-5.12,5.12] 0 50
f3 (Rosenbrock) f3(x)=i=1D100(xi2xi+1)2+(1xi)2 [-30,30] 0 50
f4(Griewank) f4(x)=14000i=1Dxi2i=1Dcos(xii)+1 [-600,600] 0 1E-5
f5(Ackley) f5(x)=2020exp(151Di=1Dxi2)exp(1Di=1Dcos(2πxi))+e [-32.768,32.768] 0 1E-5
f6 (Sum Square) f6(x)=i=1Dixi2 [-100,100] 0 1E-5
f7(Quadric) f7(x)=i=1D(j=1ixj)2 [-100,100] 0 1E-5
f8(Zakharov) f8(x)=i=1Dxi2+(i=1D0.5ixi)2+(i=1D0.5ixi)4 [-10,10] 0 1E-5
f9 (Schwefel’s p2.22) f9(x)=i=1D|xi|+i=1D|xi| [-10,10] 0 1E-5
f10(Sphere) f10(x)=n=1Dxi2 [-100,100] 0 1E-2
f11 (Rotated Quadric) f11(y)=i=1D(j=1iyj)2yi=M×xi [-100,100] 0 1E-5
f12 (Rotated Zakharov) f12(y)=i=1Dyi2+(i=1D0.5iyi)2+(i=1D0.5iyi)4yi=M×xi [-10,10] 0 1E-5
f13 (Rotated Schwefel’s p2.22) f13(x)=i=1D|yi|+i=1D|yi|yi=M×xi [-10,10] 0 1E-5
f14 (Rotated Rosenbrock) f14(x)=i=1D1100(yi2yi+1)2+(yi1)2yi=M×xi [-2.048,2.048] 0 50
f15 (Rotated Ackley) f15(y)=2020exp(151Di=1Dyi2)exp(1Di=1Dcos(2πyi))+eyi=M×xi [-32.768,32.768] 0 1E-5
f16 (Rotated Rastrigin) f16(y)=i=1D(yi210cos(2i)+10)yi=M×xi [-5.12,5.12] 0 50
f17 (Rotated Weierstrass) f17(y)=i=1D(k=1kmax[akcos(2πbk(yi+0.5))])Dk=0kmax[akcos(2πbk×0.5)]a=0.5b=3kmax=20yi=M×xi [0.5,0.5] 0 1E-5
f18 (Rotated Griewank) f18(y)=14000i=1Dyi2i=1Dcos(yii)+1yi=M×xi [-600,600] 0 1E-5
Table 1

The 18 benchmark functions

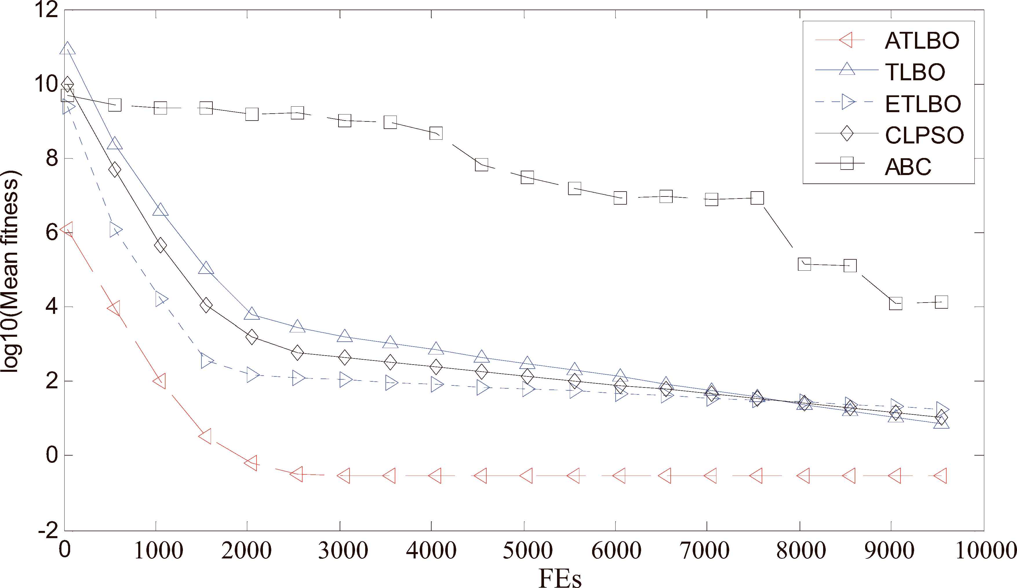
All algorithms are run 50 independently on 18 functions with 30-dimension in accordance with related literatures. We also take a measure of these functions’ convergence in Table 1 by the mean fitness values. Due to space limitations, here are the optimization processes of five algorithms on 5 functions f2, f3, f4, f5, f10 with 30 dimensions as shown in Figures 37. In Figures 37, the vertical axis is the average fitness value of 50 times, and the horizontal axis is the number of fitness value evaluations (FEs), and MFE = 10000.

Fig. 3.

Convergence performance of the 5 different algorithms on 30 dimensional f2 (Rastigin) function.

Fig. 4.

Convergence performance of the 5 different algorithms on 30 dimensional f3 (Rosenbrock) function.

Fig. 5.

Convergence performance of the 5 different algorithms on 30 dimensional f4 (Griewank) function.

Fig. 6.

Convergence performance of the 5 different algorithms on 30 dimensional f5 (Ackley) function.

Fig. 7.

Convergence performance of the 5 different algorithms on 30 dimensional f10 (Sphere) function.

It can be seen from Figs. 3 to 7 that: (i) the proposed ATLBO algorithm shows a greater advantage over other four algorithms especially for Sphere, Griewank, Rosenbrock and Schwefel functions; (ii) ATLBO has faster convergence, showing strong optimization ability for Sphere, Rosenbrock, Ackley and Schwefel functions. These results show ATLBO are effective for the unimodal and multimodal functions.

4.2 comparison of solution accuracy

As we all known, the solution accuracy is a salient yardstick for an algorithm. Therefore, we carry out the accuracy tests by two sets of benchmark functions, the first set is the 18 functions in table 1, and the other set is 30 benchmark functions of the CEC 2014 competition on single objective real-parameter numerical optimization33. The CEC’14 benchmark suite is summarized in Table 2, which includes various types of function optimization problems. Although the second set (CEC’14) is more complete and contains harder problems—shifted and rotated functions than the first set functions, here we still give comparative results of the first set in order to facilitate to compare with the previous papers for readers. All these 30 functions’ search range are [-100,100]D. In order to distinguish the functions from the table 1, each function in table 2 will be recognized by the capital letter “F”. More complete descriptions are in Ref. 33.

Type ID Function Fi = Fi(X*)
Unimodal F1 Rotated High Conditioned Elliptic Function 100
F2 Rotated Bent Cigar Function 200
F3 Rotated Discus Function 300
Multimodal F4 Shifted and Rotated Rosenbrock’s Function 400
F5 Shifted and Rotated Ackley’s Function 500
F6 Shifted and Rotated Weierstrass Function 600
F7 Shifted and Rotated Griewank’s Function 700
F8 Shifted Rastrigin’s Function 800
F9 Shifted and Rotated Rastrigin’s Function 900
F10 Shifted Schwefel’s Function 1000
F11 Shifted and Rotated Schwefel’s Function 1100
F12 Shifted and Rotated Katsuura Function 1200
F13 Shifted and Rotated HappyCat Function 1300
F14 Shifted and Rotated HGBat Function 1400
F15 Shifted and Rotated Expanded Griewank’s plusRosenbrock’s Function 1500
F16 Shifted and Rotated Expanded Scaffer’s F6 Function 1600
Hybrid F17 Hybrid Function 1 (N=3) 1700
F18 Hybrid Function 2 (N=3) 1800
F19 Hybrid Function 3 (N=4) 1900
F20 Hybrid Function 4 (N=4) 2000
F21 Hybrid Function 5 (N=5) 2100
F22 Hybrid Function 6 (N=5) 2200
Composition F23 Composition Function 1 (N=5) 2300
F24 Composition Function 2 (N=3) 2400
F25 Composition Function 3 (N=3) 2500
F26 Composition Function 4 (N=5) 2600
F27 Composition Function 5 (N=5) 2700
F28 Composition Function 6 (N=5) 2800
F29 Composition Function 7 (N=3) 2900
F30 Composition Function 8 (N=3) 3000
Table 2

The 30 CEC’14 test functions

4.2.1 Solution accuracy tests using the 18 benchmark functions

In these tests, we set the maximum number of fitness evaluations (FEs) to 20000 for every algorithm to ensure a sufficient comparison. Every algorithm has been run 50 times on every test function with 30 dimensions to reduce the occurrence of statistical errors. The best, mean solution and standard deviation of the 50 trails are listed in Table 3. The best solutions of these algorithms are indicated with boldface.

Function ABC CLPSO TLBO ETLBO ATLBO
f1 Best 0.00E+00 8.65E-03 0.00E+00 0.00E+00 0.00E+00
Mean 9.18E-15 1.17E-02 0.00E+00 0.00E+00 0.00E+00
Std. 6.67E-15 9.74E-04 0.00E+00 0.00E+00 0.00E+00
f2 Best 578E-15 1.79E-01 6.85E+00 0.00E+00 0.00E+00
Mean 4.08E-12 3.14E-01 1.42E+01 2.34E+01 1.17E+01
Std. 1.25E-11 9.47E-02 5.23E+00 1.27E+01 9.81E+00
f3 Best 7.98E+00 2.37E+01 1.85E+01 2.12E+01 2.95E+00
Mean 1.43E+01 2.74E+01 1.96E+01 2.21E+01 7.02E+00
Std. 3.78E+00 4.51E+00 7.58E-01 6.45E-01 2.04E+00
f4 Best 0.00E+00 1.98E-04 0.00E+00 0.00E+00 0.00E+00
Mean 5.78E-16 4.22E-04 0.00E+00 0.00E+00 0.00E+00
Std. 7.98E-16 2.01E-04 0.00E+00 0.00E+00 0.00E+00
f5 Best 6.37E-13 2.55E-03 3.23E-15 3.18E-15 2.13E-16
Mean 1.42E-12 3.50E-03 3.45E-15 3.53E-15 2.05E-16
Std. 3.82E-13 8.12E-04 0.00E+00 0.00E+00 0.00E+00
f6 Best 4.45E-16 9.38E-05 0.00E+00 0.00E+00 0.00E+00
Mean 6.17E-16 1.78E-04 0.00E+00 0.00E+00 0.00E+00
Std. 1.13E-16 7.19E-05 0.00E+00 0.00E+00 0.00E+00
f7 Best 5.98E+03 4.73E+03 5.42E-84 7.21E-146 0.00E+00
Mean 8.07E+03 7.12E+03 4.76E-81 7.56E-144 0.00E+00
Std. 9.12E+02 1.59E+03 2.19E-80 2.18E-143 0.00E+00
f8 Best 3.92E+02 4.87E+01 1.58E-52 4.78E-147 0.00E+00
Mean 3.76E+02 8.45E+01 2.45E-51 5.61E-144 0.00E+00
Std. 6.94E+01 1.47E+01 3.49E-51 1.78E-142 0.00E+00
f9 Best 2.14E-14 3.12E-04 1.35E-184 2.14E-176 0.00E+00
Mean 3.75E-14 4.09E-04 3.94E-181 3.45E-175 0.00E+00
Std. 7.45E-15 1.63E-05 1.85E-181 2.78E-175 0.00E+00
f10 Best 2.83E-16 5.74E-06 0.00E+00 0.00E+00 0.00E+00
Mean 4.78E-16 1.81E-05 0.00E+00 0.00E+00 0.00E+00
Std. 1.24E-16 5.88E-06 0.00E+00 0.00E+00 0.00E+00
f11 Best 5.23E+03 4.37E+03 1.75E-86 2.34E-151 0.00E+00
Mean 7.46E+03 7.35E+03 1.45E-80 2.34E-140 0.00E+00
Std. 1.68E+03 1.78E+03 6.42E-80 5.34E-140 0.00E+00
f12 Best 3.45E+02 7.55E+01 2.01E-57 5.82E-127 0.00E+00
Mean 4.75E+02 9.40E+01 5.36E-52 1.93E-123 0.00E+00
Std. 7.06E+01 2.19E+01 1.23E-51 2.13E-123 0.00E+00
f13 Best 1.23E-03 1.42E-01 4.19E-181 2.84E-175 0.00E+00
Mean 1.39E-02 2.27E-01 1.45E-178 3.94E-173 0.00E+00
Std. 1.32E-02 7.67E-02 7.21E-179 5.12E-173 0.00E+00
f14 Best 1.30E+01 2.19E+01 1.56E+01 1.24E+01 2.34E+00
Mean 2.77E+01 2.01E+01 3.54E+01 4.53E+01 2.81E+00
Std. 1.72E+01 7.21E-01 2.16E+01 2.13E+01 3.01E+00
f15 Best 6.32E-03 6.82E-02 7.44E-15 3.55E-15 3.55E-15
Mean 3.86E-01 2.05E-01 5.29E-01 3.55E-15 3.55E-15
Std. 5.21E-01 7.34E-02 6.91E-01 0.00E+00 0.00E+00
f16 Best 4.12E+01 3.76E+01 4.87E+00 0.00E+00 0.00E+00
Mean 5.81E+01 6.12E+01 2.13E+01 4.38E+01 2.61E+01
Std. 1.21E+01 1.36E+01 6.32E+00 1.64E+01 3.19E-01
f17 Best 5.18E+00 6.35E+00 0.00E+00 0.00E+00 0.00E+00
Mean 5.69E+00 7.56E+00 0.00E+00 0.00E+00 0.00E+00
Std. 2.34E+00 1.67E+00 0.00E+00 0.00E+00 0.00E+00
f18 Best 5.43E-09 1.25E-03 0.00E+00 0.00E+00 0.00E+00
Mean 4.52E-06 3.45E-03 0.00E+00 0.00E+00 0.00E+00
Std. 6.54E-06 5.64E-03 0.00E+00 0.00E+00 0.00E+00
Table 3

The best, mean solutions and standard deviation of the 50 trials obtained by various methods on 30 dimensional functions.

Table 3 shows that ATLBO has advantage over the other approaches in terms of the best, mean solution and standard deviation on the unimodal functions f6, f7, f8, f9, f10. Except for functions f2, f3, the proposed ATLBO algorithm has obtained some better solution. For function f2, the best solution of ATLBO are smaller than those of other methods, while the mean solution and standard deviation of ATLBO can’t match those of other methods. As for function f3, ATLBO outperforms the other algorithms in terms of the best and mean solution, but it is inferior to the other algorithms in terms of standard deviation. For rotated test functions f11f18, ATLBO also has a significant advantage except for functions f14, f16. For functions f11f14, the performance of ATLBO has better than that of TLBO and ETLBO.

Table 3 demonstrates the ATLBO has best performance, and the second is ETLBO. The optimal solutions of ATLBO are the same as the theoretical optimums for functions f1, f2, f4, f6, f7, f8, f9, f10, f11, f12, f13, f17, f18, For functions f3, f14, f15, f16, ATLBO is worse than others, but it has closely performance with the other algorithms. These experimental results prove right the theorem of ‘no free lunch’34, one algorithm cannot outperform all the others on every aspect.

For a though comparison, the t-test is adopted for statistical analysis. Table 4 presents the T values and the P values on every function of this two-tailed test with a significant level of 0.05 between ATLBO and another algorithm. The boldface shows that the performance of ATLBO is better than those of other algorithm in terms of T values and P values. The “Better”, “Same” and “Worse” indicate the number of functions that ATLBO performs significantly better than, almost the same as, and significantly worse than the compared algorithm, respectively. “Merits” represents the difference between the number of “Better” and the number of “Worse”.

Function ABC CLPSO TLBO ETLBO
f1 T 7.4117 64. 6883 0. 0000 0. 0000
p 0.0000 0. 0000 0. 0000 0. 0000
f2 T -6.4227 −6. 2500 1. 2110 3. 9262
p 0.0000 0. 0000 0. 2308 0. 0002
f3 T 9.1271 22. 1720 31. 1291 37. 9560
p 0.0000 0. 0000 0. 0000 0. 0000
f4 T 3.9005 11. 3062 0. 0000 0. 0000
p 0.0003 0. 0000 0. 0000 0. 0000
f5 T 20.0153 23. 2119 0. 0000 0. 0000
p 0.0000 0. 0000 0. 0000 0. 0000
f6 T 29.4040 13. 3318 0. 0000 0. 0000
p 0.0000 0. 0000 0. 0000 0. 0000
f7 T 47.6516 24. 1147 1. 1705 1. 8675
p 0.0000 0. 0000 0. 2466 0. 0669
f8 T 29.1761 30. 9555 3. 7804 0. 1697
p 0.0000 0. 0000 0. 0004 0. 8658
f9 T 27.1065 135. 1247 0. 0000 0. 0000
p 0.0000 0. 0000 0. 0000 0. 0000
f10 T 20.7589 16. 5768 0. 0000 0. 0000
p 0.0000 0. 0000 0. 0000 0. 0000
f11 T 23.9127 22. 2365 1. 2163 2. 3598
p 0.0000 0. 0000 0. 2288 0. 0217
f12 T 36.2316 23. 1144 2. 3467 4. 8795
p 0.0000 0. 0000 0. 0224 0. 0000
f13 T 5.6707 15. 9378 0. 0000 0. 0000
p 0.0000 0. 0000 0. 0000 0. 0000
f14 T 7.6762 30. 0824 8. 0474 10. 6368
p 0.0000 0. 0000 0. 0000 0. 0000
f15 T 3.9898 15. 0403 4. 1227 0. 0000
p 0.0002 0. 0000 0. 0001 0. 0000
f16 T 14.2368 13. 8947 -4. 0848 5. 8109
p 0.0000 0. 0000 0. 0001 0. 0000
f17 T 13.0947 24. 3784 0. 0000 0. 0000
p 0.0000 0. 0000 0. 0000 0. 0000
f18 T 3.7219 3. 2941 0. 0000 0. 0000
p 0.0004 0. 0017 0. 0000 0. 0000
Best 18 18 5 6
Same 0 0 12 12
Worst 0 0 1 0
Merits 18 18 4 6
Table 4

Comparisons of ATLBO and other algorithms on t-test on 30 dimensional functions.

Table 4 displays that the numbers of “Merits” of ABC and CLPSO are all 18, those of TLBO and ETLBO are 4 and 6, respectively. Moreover, the performance of ATLBO is the same as TLBO and ETLBO on 12 functions. Overall, ATLBO almost can obtain the optimum on 18 functions.

4.2.2 Solution accuracy tests using the 30 CEC’14 benchmark functions

In these tests, we use the CEC’14 test suite because “they have several features such as novel basic problems, composing test problems by extracting features dimension-wise from several problems, graded level of linkages, rotated trap problems, and so on” 33. To ensure a fair comparison, we set the maximum number of fitness evaluations (FEs) to 150,000 for each algorithm. Each algorithm has been executed 51 runs on each test functions, as in Ref. 33. Our evaluation of every problem is the average of 51 runs.

The comparative results on unimodal, multimodal, hybrid and composition fucntions are presented respectively in Table 58. “max” and “min” respectively refer to the maximum and minimum fitness values of 5 algorithms on every function among the 51 runs. “median” means the median among those of experimental fitness values. “std” denotes the standard deviation of an algorithm on a function. The best results of these comparative algorithms on each function are shown in bold. We also list the statistic test results between ATLBO and other algorithms using two-sided Wilcoxon rank-sum test to check the significance of the difference in Table 9. The h values for every function are presented in Table 9. When h=1, it means that there is a significant difference between the algorithm at the significance level 0.05, and h=-1 vice versa; when h=0, it implies there is no difference.

Function ABC CLPSO TLBO ETLBO ATLBO
F1 max 2.56E+06 7.98E+07 5.42E+07 1.36E+07 1.21E+06
min 3.78E+06 5.77E+06 4.57E+06 1.59E+06 1.35E+06
median 1.43E+06 2.15E+07 8.36E+06 5.09E+06 6.31E+05
std 5.47E+05 1.68E+07 1.33E+07 2.72E+06 2.51E+05
F2 max 3.94E+04 8.05E+06 1.59E+04 3.12E+04 1.51E+03
min 5.98E+03 1.15E+06 3.51E+03 3.10E+02 2.01E+02
median 1.53E+04 3.84E+06 8.41E+03 9.10E+03 2.78E+02
std 6.61E+03 1.61E+06 3.91E+03 6.10E+03 2.12E+02
F3 max 1.49E+04 4.97E+04 7.84E+04 3.45E+03 1.27E+03
min 3.49E+03 5.87E+02 1.96E+04 2.99E+02 3.08E+02
median 7.31E+03 6.95E+03 4.50E+04 3.13E+02 4.53E+02
std 2.72E+03 1.35E+04 1.12E+04 5.42E+02 1.85E+02
Table 5

Comparative results on unimodal benchmark functions.

Function ABC CLPSO TLBO ETLBO ATLBO
F4 max 5.38E+02 6.49E+02 8.52E+02 5.59E+04 5.39E+02
min 4.03E+02 4.21E+02 5.69E+02 2.16E+03 3.99E+02
median 4.99E+02 5.43E+02 6.97E+02 3.11E+03 4.01E+02
std 3.81E+01 3.45E+02 5.23E+01 1.81E+03 3.71E+01
F5 max 5.24E+02 5.20E+02 5.20E+02 5.21E+02 5.20E+02
min 5.22E+02 5.20E+02 5.23E+02 5.21E+02 5.20E+02
median 5.22E+02 5.20E+02 5.23E+02 5.21E+02 5.20E+02
std 4.01E-03 4.23E-03 6.51E-03 7.71E-03 6.97E-04
F6 max 6.13E+02 6.23E+02 6.35E+02 6.29E+02 5.95E+02
min 6.02E+02 6.10E+02 6.31E+02 6.21E+02 5.85E+02
median 6.06E+02 6.14E+02 6.27E+02 6.23E+02 5.90E+02
std 2.58E+00 4.31E+00 1.85E+00 1.82E+00 1.12E+00
F7 max 7.01E+02 7.01E+02 7.02E+02 7.00E+02 7.00E+02
min 7.01E+02 7.01E+02 7.02E+02 7.00E+02 7.00E+02
median 7.01E+02 7.01E+02 7.02E+02 7.00E+02 7.00E+02
std 1.23E-02 2.59E-02 9.63E-02 5.64E-02 1.20E-03
F8 max 8.69E+02 9.42E+02 8.17E+02 9.65E+02 8.23E+02
min 8.28E+02 8.92E+02 8.05E+02 9.12E+02 8.02E+02
median 8.45E+02 9.24E+02 8.12E+02 9.38E+02 8.15E+02
std 5.10E+01 3.10E+01 2.05E+01 1.32E+01 2.15E+00
F9 max 9.76E+02 9.78E+02 1.23E+03 1.21E+03 9.25E+02
min 9.32E+02 9.64E+02 1.03E+03 8.79E+02 9.01E+02
median 9.51E+02 9.72E+02 1.14E+03 1.01E+03 9.12E+02
std 1.24E+01 1.35E+01 1.75E+01 2.57E+01 1.15E+01
F10 max 3.58E+03 1.02E+03 5.34E+03 3.19E+03 2.69E+03
min 1.48E+03 1.02E+03 3.51E+03 1.29E+03 1.12E+03
median 2.67E+03 1.02E+03 4.64E+03 2.71E+03 1.47E+03
std 3.82E+02 6.80E+01 3.71E+02 4.23E+02 3.58E+02
F11 max 3.81E+03 4.49E+03 6.45E+03 4.32E+03 3.91E+03
min 1.47E+03 2.13E+03 3.81E+03 2.37E+03 2.72E+03
median 2.98E+03 3.12E+03 4.57E+03 8.56E+03 3.43E+03
std 4.51E+02 5.09E+02 5.72E+02 5.18E+02 2.87E+02
F12 max 1.20E+03 1.20E+03 1.20E+03 1.20E+03 1.20E+03
min 1.21E+03 1.20E+03 1.21E+03 1.20E+03 1.20E+03
median 1.21E+03 1.20E+03 1.21E+03 1.20E+03 1.20E+03
std 1.51E-02 5.48E-02 6.57E-02 5.51E-02 1.13E-02
F13 max 1.30E+03 1.30E+03 1.30E+03 1.30E+03 1.30E+03
min 1.30E+03 1.30E+03 1.30E+03 1.30E+03 1.30E+03
median 1.30E+03 1.30E+03 1.30E+03 1.30E+03 1.30E+03
std 6.49E-02 5.59E-02 4.41E-02 3.42E-02 1.89E-02
F14 max 1.42E+03 1.40E+03 1.40E+03 1.40E+03 1.40E+03
min 1.42E+03 1.40E+03 1.42E+03 1.41E+03 1.40E+03
median 1.42E+03 1.40E+03 1.42E+03 1.41E+03 1.40E+03
std 1.21E-02 1.96E-02 4.23E-02 1.38E-02 1.21E-01
F15 max 1.51E+03 1.55E+03 1.51E+03 1.53E+03 1.50E+03
min 1.51E+03 1.51E+03 1.51E+03 1.51E+03 1.50E+03
median 1.51E+03 1.51E+03 1.51E+03 1.52E+03 1.50E+03
std 8.48E-01 4.86E+00 5.30E+00 3.26E+00 6.68E-01
F16 max 1.62E+03 1.63E+03 1.61E+03 1.61E+03 1.61E+03
min 1.62E+03 1.61E+03 1.61E+03 1.61E+03 1.61E+03
median 1.62E+03 1.61E+03 1.61E+03 1.61E+03 1.61E+03
std 6.17E-01 5.72E-01 3.45E-01 5.41E-01 2.23E-01
Table 6

Comparative results on multimodal benchmark functions.

Function ABC CLPSO TLBO ETLBO ATLBO
F17 max 3.48E+05 2.29E+07 1.21E+06 1.12E+06 6.12E+04
min 5.41E+03 1.31E+06 1.83E+05 1.43E+04 6.72E+03
median 6.65E+04 3.12E+06 5.61E+05 1.52E+03 2.72E+04
std 6.83E+04 4.20E+06 2.25E+05 1.71E-01 1.24E+02
F18 max 1.79E+04 1.01E+05 4.21E+03 1.11E+06 2.71E+03
min 2.31E+03 6.81E+03 2.03E+03 1.45E+04 1.78E+03
median 4.42E+03 2.31E+03 2.14E+03 1.54E+05 2.02E+03
std 3.70E+03 1.81E+04 3.80E+02 1.59E+05 1.25E+02
F19 max 1.92E+03 1.97E+03 2.01E+03 2.02E+03 1.92E+03
min 1.89E+03 1.92E+03 1.92E+03 1.92E+03 1.90E+03
median 1.95E+03 1.94E+03 2.01E+03 1.97E+03 1.91E+03
std 3.70E+00 2.79E+01 3.45E+01 3.32E+01 1.42E+00
F20 max 5.41E+03 8.64E+04 6.83E+04 5.98E+04 1.57E+04
min 2.31E+03 8.65E+03 2.34E+03 2.13E+04 2.15E+03
median 3.45E+03 2.73E+04 1.78E+04 3.65E+04 4.35E+03
std 7.02E+02 1.79E+04 1.42E+04 8.51E+03 3.19E+03
F21 max 8.97E+04 1.68E+06 3.12E+05 1.67E+05 1.78E+05
min 6.81E+03 6.71E+04 5.67E+04 1.02E+04 3.72E+03
median 3.36E+04 4.23E+05 1.82E+05 4.72E+04 2.93E+04
std 2.31E+04 3.36E+05 6.63E+04 4.31E+04 3.51E+04
F22 max 2.56E+03 3.30E+03 3.71E+03 3.77E+03 2.86E+03
min 2.24E+03 2.26E+03 2.71E+03 2.41E+03 2.23E+03
median 2.37E+03 2.72E+03 3.17E+03 3.10E+03 2.51E+03
std 7.41E+01 2.41E+02 2.48E+02 2.68E+02 1.45E+02
Table 7

Comparative results on hybrid benchmark functions.

Function ABC CLPSO TLBO ETLBO ATLBO
F23 max 2.63E+03 2.58E+03 2.66E+03 2.62E+03 2.62E+03
min 2.58E+03 2.58E+03 2.51E+03 2.62E+03 2.62E+03
median 2.61E+03 2.58E+03 2.59E+03 2.62E+03 2.62E+03
std 9.85E-02 1.22E+00 6.39E+01 2.63E+03 1.61E-01
F24 max 2.64E+03 2.66E +03 2.72E+03 2.62E+03 2.60E+03
min 2.61E+03 2.63E+03 2.63E+03 2.63E+03 2.60E+03
median 2.62E +03 2.65E+03 2.67E+03 6.92E+00 2.60E+03
std 1.09E +01 5.98E+03 1.26E+01 2.63E+03 1.67E-02
F25 max 2.69E+03 2.71E+03 2.72E+03 2.75E+03 2.74E+03
min 2.68E+03 2.71E+03 2.71E+03 2.71E+03 2.71E+03
median 2.69E+03 2.71E+03 2.71E+03 2.73E+03 2.73E+03
std 9.31E-01 3.01E+03 1.34E+00 6.31E+00 2.13E+00
F26 max 2.86E+03 2.80E+03 2.79E+03 2.76E+03 2.70E+03
min 2.70E+03 2.70E+03 2.79E+03 2.72E+03 2.70E+03
median 2.81E+03 2.70E+03 2.79E+03 2.74E+03 2.70E+03
std 5.62E+01 2.23E+01 6.43E-02 3.45E+00 5.12E-02
F27 max 3.62E+03 3.54E+03 4.23E+03 6.51E+03 3.50E+03
min 3.12E+03 3.25E+03 3.15E+03 3.45E+03 3.10E+03
median 3.45E+03 3.41E+03 3.91E+03 4.95E+03 3.10E+03
std 3.42E+01 7.80E+01 3.61E+02 6.75E+02 4.85E+01
F28 max 3.79E+03 5.67E+03 6.92E+03 6.62E+03 5.41E+03
min 3.61E+03 3.62E+03 4.62E+03 4.69E+03 3.59E+03
median 3.70E+03 5.58E+03 5.12E+03 5.61E+03 4.70E+03
std 4.09E+01 8.56E+01 5.61E+02 4.59E+01 3.78E+02
F29 max 2.81E+04 8.94E+06 4.23E+07 2.86E+06 5.28E+03
min 5.47E+03 5.34E+03 5.75E+03 3.12E+03 3.45E+03
median 1.60E+04 6.34E+03 3.41E+04 3.14E+03 4.12E+03
std 5.26E+03 1.34E+05 7.86E+06 3.75E+05 3.74E+02
F30 max 1.73E+04 3.75E+04 1.23E+05 3.75E+04 7.68E+03
min 7.52E+03 7.12E+03 1.32E+04 8.37E+03 4.32E+03
median 8.92E+03 1.59E+03 1.52E+04 1.52E+04 5.61E+03
std 2.30E+03 6.09E+03 1.85E+04 6.75E+03 7.41E+02
Table 8

Comparative results on composition benchmark functions.

F1 F2 F3 F4 F5 F6 F7 F8 F9 F10 F11 F12 F13 F14 F15
ABC(h) 1 1 1 1 1 −1 1 1 −1 1 −1 0 0 0 1
CLPSO(h) 1 1 1 1 1 1 1 1 −1 −1 0 0 1 1 1
TLBO(h) 1 1 1 1 −1 1 0 0 1 1 1 0 1 1 0
ETLBO(h) 1 1 −1 1 1 1 1 1 1 1 0 0 1 1 1
F16 F17 F18 F19 F20 F21 F22 F23 F24 F25 F26 F27 F28 F29 F30
ABC(h) 0 1 1 0 −1 0 −1 1 −1 −1 1 0 −1 1 1
CLPSO(h) −1 1 1 1 1 1 1 1 1 1 1 1 0 1 1
TLBO(h) 1 1 1 1 1 1 1 0 −1 −1 1 1 1 −1 1
ETLBO(h) 1 1 1 1 1 1 1 1 1 1 1 1 1 1 1
Table 9

Comparisons between ATLBO and other algorithms using two-sided Wilcoxon rank-sum test with significance level 0.05.

The comparative results on unimodal benchmark functions are given in Table 5. Table 5 shows that ATLBO obtains the best median values and the smallest standard deviation on F1 and F2, and those on F3 are next to ETLBO, while ATLBO obtains the smallest standard deviation on F3. According to the statistic tests in Table 9, the experimental results of the proposed ATLBO are significantly different from the other four methods on F1 and F2, and different from the other three methods except for ETLBO on F3. It is obvious that ATLBO outperforms better than the other algorithms in spite of these rotated trap problems.

Table 6 presents the comparative results on multimodal functions F14F16. In Table 6, ATLBO can get the best median values on 9 functions. CLPSO ranks second, and obtains the best median values on six functions, while ETLBO ranks third, obtains the best median values on three functions, TLBO only obtains the best values on one function. Especially, both CLPSO and ATLBO achieve the maximum performance on functions F5, F12, F14, F16. Seen from Table 9, ATLBO has significant differences from or equal to the other algorithms on functions F1, F2, F4, F7, F8, F13, F14, F15, F17, F18, F19, F21, F23, F26, F27, F30. While ATLBO has no statistically significant different from CLPSO on functions F9, F10.

Comparisons of hybrid functions are presented in Table 7. From Table 7, ATLBO obtains the best median values on five functions F17, F18, F19, F21, F22, and obtains the second best median value on F20, which is slightly less than that of ABC. Note that these functions are hybrid by different basic functions, which maybe cause some algorithms reducing their performance significantly such as CLPSO, TLBO and ETLBO, on the contrary, ATLBO still keeps its competition.

Table 8 presents the comparative results on composition functions F23F30. ATLBO obtains the best median values on F24, F26, F27, F30. CLPSO obtains the best median value on F23, but it loses the first place in terms of the standard deviation, ABC ranks first on F25. When we cast our eyes at Table 9, we can see that the relatively low performance of ATLBO on F25, F28, which sets from that the composition group functions have a large number of local optima.

From Table 49, we can draw a conclusion that ATLBO offers significant performance over the other five algorithms on CEC2014 benchmark suite, but sometimes ATLBO loses its advantages on a few test functions with too many local optima.

Through the above analysis, the obtained results reveal that ATLBO exhibits the best performance on whole experiments but not always. In fact, no algorithm can be better than all other algorithms, i.e., every algorithm has its strength and weakness. Of course, we apply some suitable strategies so that our algorithm can avoid some defects35.

Compared with those algorithms highly ranked in the CEC2014 competition, ATLBO performs better. That is because that most of competitive algorithms have apply complicated mechanisms, such as mutation operator, control parameter 36, hybrid strategies, hyper-heuristic controllers, parameter fine-turning mechanism, etc.. However, our objection is to test the basic performance of ATLBO on the benchmark suite. The next researches improve the performance of ATLBO by introducing appropriate strategies or integrating with effective operator from other algorithms.

5 Conclusions

In this paper, we proposed an autonomous teaching-learning based optimization (ATLBO) to solve single objective global optimization. This algorithm is reconstructed according to the teaching and learning process, learning from teacher, group learning and self-learning. Combined with the teaching-learning based optimization, group learning and self-learning methods are introduced. Group learning increases the exploration of TLBO, and self-learning improves the exploitation of TLBO. In order to evaluate the performance of ATLBO, we adopt two sets of benchmark functions which cover a larger variety of different optimization problem types. We compared ATLBO with the state-of-the-art optimization algorithm, namely, ABC, CLPSO, TLBO and ETLBO. As shown in the simulation results, the solution search quality of the ATLBO is generally better than that of other algorithms.

Future research on ATLBO can be divided into two categories: algorithm research and real-world application. For the first, we will focus on designing more efficient search strategy to improve the exploration and exploitation of ATLBO, and give exploitation and exploration measure; for the second, we address some real-word applications using ATLBO effectively and efficiently.

Acknowledgements

The authors would like to thank the editor and all the anonymous reviewers for their valuable comments and suggestions that improved the paper’s quality. This work is partially supported by Natural Science Foundation of Anhui Province, China (Grant No. 1408085MF130), and the Education Department of Anhui Province Natural Science Foundation (Grant Nos. KJ2013A229, KJ2013Z281). The authors would like to thank Prof. Suganthan, Prof. Karaboga and Prof. Rao for providing some algorithms codes.

References

1.J Holland, Adaptation in Natural and Artificial Systems, MIT Press, Cambridge, Ann Arbor, 1975.
3.M Dorigo, Optimization, Learning and Natural Algorithms, Ph.D. Thesis, Politecnico di Milano, Italy, 1992.
6.D Dervis Karaboga, An idea based on honey bee swarm for numerical optimization, Technical Report-TR06, Erciyes University, Engineering Faculty, Computer Engineering Department, 2005.
13P Moscato, On evolution, search, optimization, genetic algorithms and martial arts: Towards memetic algorithms, Technical Report 826, Callifornia Institute of Technology, Pasadena, 1989.
22.VK Patel and VJ Savsani, A multi-objective improved teaching-learning based optimization algorithm (MO-ITLBO), Information Sciences, 2014. http://dx.doi.org/10.1016/j.ins.2014.05.049
23.J Kennedy, Bare bones particle swarms, in Proceedings of the IEEE Swarm Intelligence Symposium (IEEE Press, Piscataway, NJ, 2003), pp. 80-87.
26.F Ge, Z Wei, Y Lu, Q Wang, and L Li, Chaotic ant based collaborative optimization algorithm in distributed system, Pattern Recognition and Artificial intelligence, Vol. 26, No. 2, 2013, pp. 195-204. (in Chinese)
28.J Liang, A Qin, PN Suganthan, and S Baskar, Comprehensive learning particle swarm optimizer for global optimization of multimodal functions, IEEE Trans. Evolut. Comput, Vol. 10, 2006, pp. 28-295.
33.JJ Liang, BY Qu, and PN Suganthan, Problem definitions and evaluation criteria for the CEC2014 special session and competition on single objective real-parameter numerical optimization, Tech. Rep. 201311, Computational Intelligence Laboratory, Zheng zhou University, Zhengzhou, China, 2014.
Journal
International Journal of Computational Intelligence Systems
Volume-Issue
9 - 3
Pages
506 - 524
Publication Date
2016/06/01
ISSN (Online)
1875-6883
ISSN (Print)
1875-6891
DOI
10.1080/18756891.2016.1175815How to use a DOI?
Copyright
© 2016. the authors. Co-published by Atlantis Press and Taylor & Francis
Open Access
This is an open access article under the CC BY-NC license (http://creativecommons.org/licences/by-nc/4.0/).

Cite this article

TY  - JOUR
AU  - Fangzhen Ge
AU  - Liurong Hong
AU  - Li Shi
PY  - 2016
DA  - 2016/06/01
TI  - An autonomous teaching-learning based optimization algorithm for single objective global optimization
JO  - International Journal of Computational Intelligence Systems
SP  - 506
EP  - 524
VL  - 9
IS  - 3
SN  - 1875-6883
UR  - https://doi.org/10.1080/18756891.2016.1175815
DO  - 10.1080/18756891.2016.1175815
ID  - Ge2016
ER  -