Journal of Statistical Theory and Applications

Volume 19, Issue 2, June 2020, Pages 133 - 147

Modeling Vehicle Insurance Loss Data Using a New Member of T-X Family of Distributions

Authors
Zubair Ahmad1, Eisa Mahmoudi1, *, Sanku Dey2, Saima K. Khosa3
1Department of Statistics, Yazd University, Yazd, Iran
2Department of Statistics, St. Anthonys College, Shillong, India
3Department of Statistics, Bahauddin Zakariya University, Multan, Pakistan
*Corresponding author. Email: emahmoudi@yazd.ac.ir
Corresponding Author
Eisa Mahmoudi
Received 16 October 2019, Accepted 14 January 2020, Available Online 28 May 2020.
DOI
10.2991/jsta.d.200421.001How to use a DOI?
Keywords
Heavy-tailed distributions; Weibull distribution; Insurance losses; Actuarial measures; Monte Carlo simulation; Estimation
Abstract

In actuarial literature, we come across a diverse range of probability distributions for fitting insurance loss data. Popular distributions are lognormal, log-t, various versions of Pareto, log-logistic, Weibull, gamma and its variants and a generalized beta of the second kind, among others. In this paper, we try to supplement the distribution theory literature by incorporating the heavy tailed model, called weighted T-X Weibull distribution. The proposed distribution exhibits desirable properties relevant to the actuarial science and inference. Shapes of the density function and key distributional properties of the weighted T-X Weibull distribution are presented. Some actuarial measures such as value at risk, tail value at risk, tail variance and tail variance premium are calculated. A simulation study based on the actuarial measures is provided. Finally, the proposed method is illustrated via analyzing vehicle insurance loss data.

Copyright
© 2020 The Authors. Published by Atlantis Press SARL.
Open Access
This is an open access article distributed under the CC BY-NC 4.0 license (http://creativecommons.org/licenses/by-nc/4.0/).

1. INTRODUCTION

The usage of heavy tailed distributions for modeling insurance loss data is arguably an important subject matter for actuaries. Besides, one of the major goals of actuarial studies is to model the uncertainty pervading in the realm of insurance with respect to number of claims received in a particular period and the size of the claim severity. Generally speaking, insurance data sets are right-skewed [1], unimodal hump-shaped [2] and with heavy tails [3]. This type of heavy tailed distribution is apt for estimating insurance loss data and thereby helps in assessment of business risk level. Thus, due to its immense significance in actuarial sciences, this type of data has been studied extensively and several probability models have been proposed in actuarial literature. Among the variety of the models, the prominently used models related to insurance loss data, financial returns, file sizes on network servers, etc. are Pareto, lognormal, Weibull, gamma, log-logistic, Fréchet, Lomax, inverse Gaussian distributions; see Resnick [4], Hogg and Klugman [5], Qi [6], Hao and Tang [7], Gómez-Déniz and Calderín-Ojeda [8] and Calderín-Ojeda and Kwok [9] and Yang et al. [10], among others. For assessment of small size losses, distributions like log-normal, gamma, Weibull, Inverse Gaussian, etc. are used while for large insurance losses; commonly used distributions are Pareto, log-logistic, Fréchet, Lomax distributions, etc. Most of these aforementioned classical distributions are generalized for insurance loss data, financial returns etc. based on, but not limited to, the following five approaches: (i) transformation method, (ii) composition of two or more distributions, (iii) compounding of distributions, (iv) exponentiated distributions and (v) finite mixture of distributions, for further detail see, Miljkovic and Grün [11] and Bhati and Ravi [12].

In the recent past, Dutta and Perry [13] carried out an empirical study on loss distributions using Exploratory Data Analysis and empirical approaches to estimate the risk. However, due to lack of flexibility and poor results, they rejected the idea of using exponential, gamma and Weibull distributions and pointed out that “one would need to use a model that is flexible enough in its structure.”

Hence it is imperative to develop models either from the existing distributions or a new family of models to cater insurance loss data, financial returns, etc.

In the premises of the above, we are motivated to search for more flexible probability distributions which provide greater accuracy in data fitting. Hence, in this paper, we introduce a new member of the T-X family [14], called the weighted T-X(WT-X) family of distributions for modeling insurance losses. With this idea, we construct a new model named the weighted T-X Weibull (WT-XW) distribution which is more flexible than the Weibull distribution. We later prove empirically that the WT-XW model provides better fits than the well-known competitive distributions in terms of different measures of model validation by means of vehicle insurance loss data. Two of the competitive distributions have one extra model parameter, and the others have the same number of parameters.

We hope that the new distribution will attract wider applications in insurance loss data, financial returns, etc. Finally, estimation of the WT-XW model parameters using the method of maximum likelihood estimation have been carried out. Further, some actuarial measures such as value at risk (VaR), tail value at risk (TVaR), tail variance (TV) and tail variance premium (TVP) are also calculated.

The rest of the paper is organized as follows: In Section 2, we discuss the proposed approach based on the T-X family of distributions. In Section 3, the proposed approach is applied to the classical Weibull distribution to derive the WT-XW distribution. In Section 4, the maximum likelihood estimators (MLEs) of the parameters are derived and simulation study is carried out in the same section. Afterward, in Section 5, some of actuarial measures are obtained and numerical studies of the risk measures are provided. In Section 6, a numerical application is illustrated based upon the vehicle insurance loss data. Here, the weighted T-X Weibull distribution is compared with the Weibull and other (i) two-parameter distributions such as Pareto, Lomax, Burr X-II (BX-II), Log-normal and (ii) well-known three-parameter models such as Dagum and Marshall-Olkin Weibull (MOW) distributions under different discrimination and goodness of fit measures. Finally, some concluding remarks are given in the last section.

2. PROPOSED METHOD

Let vt be the probability density function (pdf) of a random variable, say T, where Tm,n for m<n<, and let WFx be a function of cumulative distribution function (cdf) of a random variable, say X, satisfying the conditions given below:

  1. WFxm,n

  2. WFx is differentiable and monotonically increasing

  3. WFxm as x and WFxn as x

The cdf of the T-X family of distributions is defined by

Gx=mWFxv(t)dt,x,(1)
where, WFx satisfies the conditions stated above. The pdf corresponding to (1) is
gx=xWFxvWFx,x.

Using the T-X family idea, several new classes of distributions have been introduced in the literature. Table 1 provides some WFx functions for some members of the T-X family.

WFx Range of X Members of T-X Family
Fx [0,1] Beta-G [15]
log1Fx 0, Gamma-G Type-2 [16]
logFx 0, Gamma-G Type-1 [17]
F(x)1F(x) 0, Gamma-G Type-3 [18]
log[1Fα(x)] 0, Exponentiated T-X [19]
log{F(x)1F(x)} , Logistic-G [20]
loglog1Fx , The Logistic-X Family [21]
[log{1F(x)}]1F(x) 0, New Weibull-X Family [22]
log(1F(x)eF(x)) 0, Weighted T-X Family(Proposed)
Table 1

Some members of the T-X family.

Now, we introduce the proposed family. Let Texp(1), then its cdf is given by

Vt=1et,  t0.(2)

The density function corresponding to (2) is

vt=et,  t>0.(3)

If vt follows (3) and setting W[F(x)]=log(1F(x)eF(x)) in (1), we define the cdf of the weighted T-X family by

Gx=11FxeFx,x.(4)

The density function corresponding to (4) is

gx=fxeFx2Fx,x.(5)

The key motivations for using the WT-XW distribution in practice are the following:

  • A very simple and convenient method to modify the existing distributions.

  • To improve the characteristics and flexibility of the existing distributions.

  • To introduce the extended version of the baseline distribution having closed form of distribution function.

  • To provide best fit to the heavy-tailed data in financial sciences and other related fields.

  • Another most important motivation of the proposed approach is to introduce new distributions without adding additional parameter results in avoiding re-scaling problems.

3. SUB-MODEL DESCRIPTION

In this section, we introduce a special sub-model of the proposed family, called the WT-XW distribution. Let Fx;ξ be the cdf of the Weibull distribution given by F(x;ξ)=1eγxα,x0,α,γ>0, where ξ=α,γ. Then, the cdf of the weighted T-X Weibull has the following expression:

Gx;α,γ=1eγxαe1eγxα,x0α,γ>0.(6)

The pdf and hazard rate function (hrf) of the WT-XW model are given, respectively, by

gx;α,γ=αγxα1eγxαe1eγxα1+eγxα,x>0,(7)
and
hx;α,γ=αγxα11+eγxα,x>0.

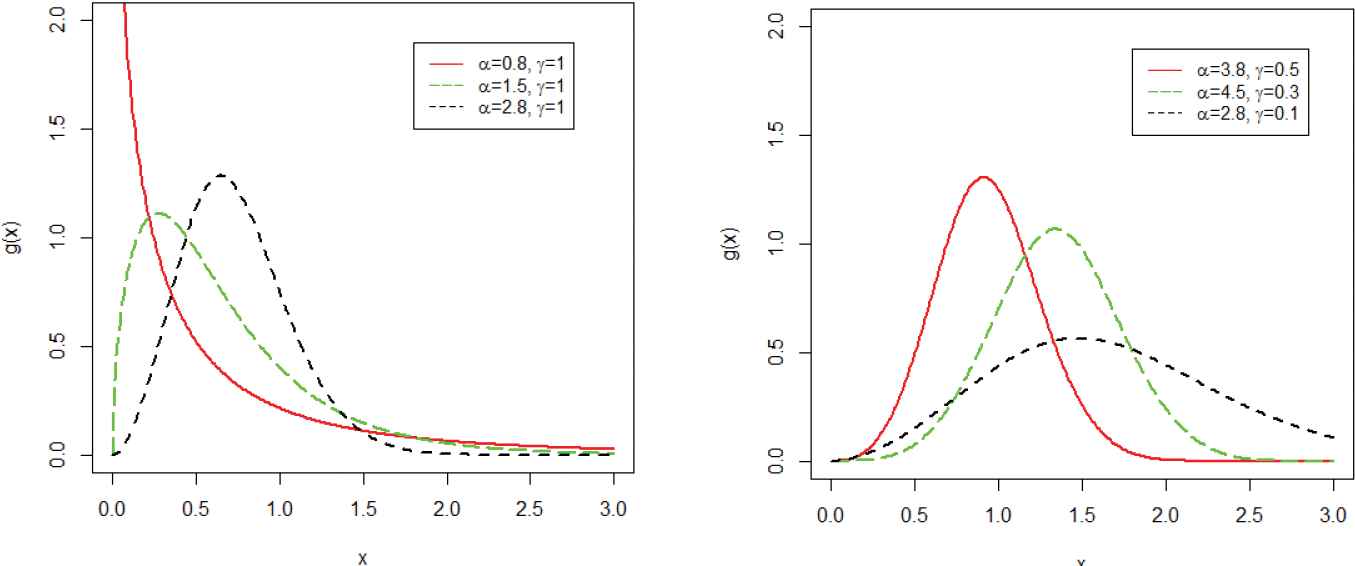
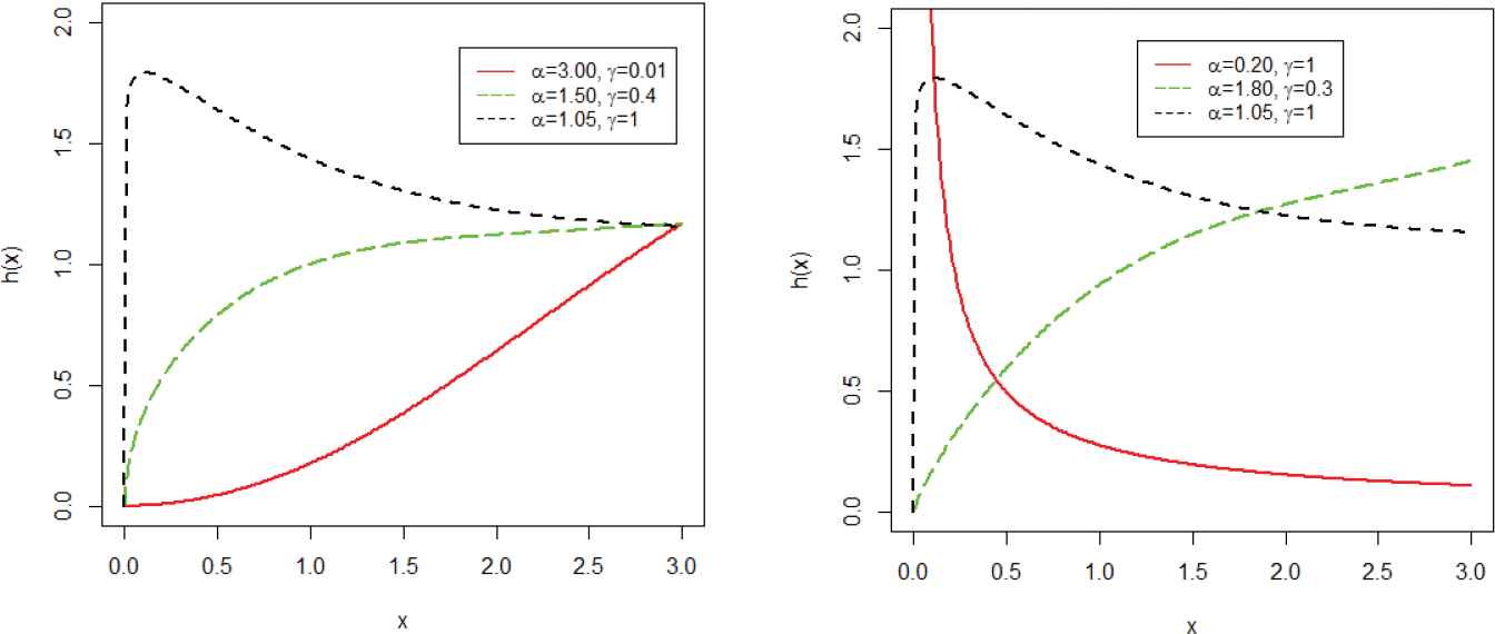
For different values of the model parameters, plots of the density function of the WT-XW are sketched in Figure 1.

Figure 1

Different plots for the density function of the weighted T-X Weibull (WT-XW) distribution.

In Figure 1, we plotted different shapes for the density of WT-XW distribution for fixed values of γ and different values of α. When α<1, the proposed model behaves like exponential distribution. But, as the value of the α increases the proposed model captures the characteristics of the Weibull distribution. However, the proposed model has certain advantages over the Weibull distribution. For examples, it has heavier tails than the Weibull distribution as shown (in Section 5) through simulated study of the risk measures including VaR, TVaR, TV and TVP. Also, the proposed model provides best fit to the heavy tailed insurance loss data as shown in (Section 6). The hrf is plotted in Figure 2. The hrf of the proposed model is very flexible in accommodating different shapes namely, decreasing, increasing and unimodal and hence the WT-XW distribution becomes an important model to fit several real-lifetime data in applied areas such as reliability, survival analysis, economics and finance.

Figure 2

Different plots for the hrf of the weighted T-X Weibull (WT-XW) distribution.

4. ESTIMATION AND SIMULATION STUDY

Several methods for parameter estimation have been introduced in the literature. Among these approaches, the maximum likelihood method is the most commonly employed. The maximum likelihood estimations enjoy several desirable properties and can be used for constructing confidence intervals. In this section, the method of maximum likelihood estimation is used to estimate the model parameters α,γ. For assessing the performance of the MLEs, we provide a comprehensive Monte Carlo simulation study to evaluate the behavior of these estimators.

4.1. Maximum Likelihood Estimation

Here, we discuss the MLEs of the model parameters of the WT-XW distribution. Let x1,x2,,xn be the observations from pdf (7) with parameters α and γ. Then, the log-likelihood function corresponding to (7) is given by

Lxi,α,γ=nlogα+nlogγ+α1i=1nlogxiγi=1nxiαi=1n1eγxiα(8)
+i=1nlog1+eγxiα.

The log-likelihood function can be maximized either directly or by solving the nonlinear likelihood function obtained by differentiating (8). We used the goodness of fit function in R with “Nelder-Mead” algorithm to obtain the MLEs. The first order partial derivatives of (8) with respective to the parameters are given, respectively, by

αLxi,α,γ=nα+i=1nlogxiγi=1nlogxixiαγi=1nlogxixiαeγxiα(9)
γi=1nlogxixiαeγxiα1+eγxiα,
and
γLxi,α,γ=nγi=1nxiαi=1nxiαeγxiαi=0nxiα1+eγxiα.(10)

Setting αlogLxi,α,γ and γlogLxi;α,γ equal to zero and solving numerically these expressions simultaneously yield the MLEs of α,γ.

4.2. Simulation Study

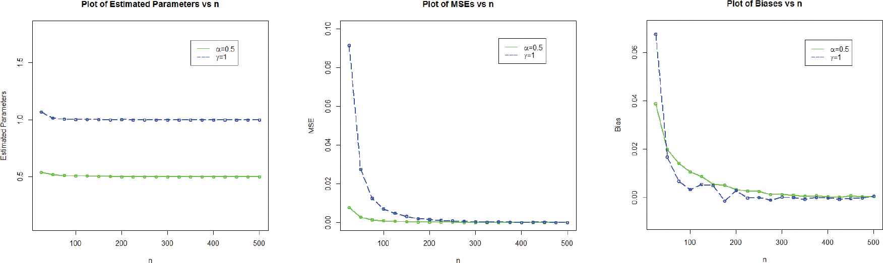
In order to assess the performances of the maximum likelihood estimates of the parameters of the proposed distribution, a comprehensive simulation study is carried out. The process is carried out as follows:

  1. The number of Monte Carlo replications was made 500 times each with sample sizes n=25,50,500.

  2. Initial values for the parameters are selected such as (i) for set 1, α=1.5 and γ=1, (ii) for set 2, α=0.5 and γ=1, and (iii) and for set 3, α=0.7 and γ=1.

  3. Formulas used for calculating Bias and mean square error (MSE) are given by Bias(α^)=1500i=1500(αi^α) and MSE(α^)=1500i=1500(αi^α)2, respectively.

  4. Step (3) is also repeated for γ.

The simulation results are provided in Table 2 and displayed graphically in Figures 35.

Set 1: α = 0.5, γ = 1
Set 2: α = 1.5, γ = 1
Set 3: α = 0.7, γ = 1
n Par MLE Bais MSE MLE Bais MSE MLE Bais MSE
25 α 0.5387 0.03879 7.7×1003 1.5829 0.0829 0.0771 0.7399 0.0399 0.0164
γ 1.0674 6.7×1002 9.1×1002 1.0596 0.0596 0.0966 1.0943 0.0943 0.0926
50 α 0.5197 0.01972 2.8×1003 1.5534 0.0534 0.0350 0.7205 0.0205 0.0066
γ 1.0166 1.6×1002 2.7×1002 1.0196 0.01961 0.0310 1.0288 0.0288 0.0337
100 α 0.5104 0.01048 8.8×1004 1.5264 0.0264 0.0163 0.7113 0.0113 0.0027
γ 1.0032 3.2×1003 7.0×1003 1.0248 0.0248 0.0179 1.0087 0.0087 0.0132
200 α 0.5031 0.00319 1.8×1004 1.5111 0.0111 0.0067 0.7083 0.0083 0.0012
γ 1.0028 2.8×1003 1.5×1003 1.0065 0.0065 0.0066 1.0052 0.0052 0.0057
300 α 0.5012 0.00125 4.7×1005 1.5025 0.0025 0.0041 0.7040 0.0040 0.0006
γ 1.0001 1.4×1004 5.1×1004 1.0043 0.0043 0.0045 1.0027 0.0027 0.0033
400 α 0.5004 0.00042 1.6×1005 1.5030 0.0030 0.0031 0.7039 0.0039 0.0004
γ 0.9998 -1.0×1004 5.3×1005 0.9995 −0.0004 0.0032 1.0031 0.0031 0.0019
500 α 0.5003 0.00036 1.3×1005 1.5016 0.0016 0.0026 0.7024 0.0024 0.0002
γ 1.0006 6.1×1004 5.7×1005 0.9995 −0.0008 0.0030 0.9998 −0.0001 0.0014

WT-XW, weighted T-X Weibull; MLE, maximum likelihood estimator; MSE, mean square error.

Table 2

The simulation results of the WT-XW distribution.

Figure 3

Graphical display of the simulation results of set 1.

Figure 4

Graphical display of the simulation results of set 3.

Figure 5

Graphical display of the simulation results of set 2.

5. ACTUARIAL MEASURES

One of the most important tasks of actuarial sciences institutions is to evaluate the exposure to market risk in a portfolio of instruments, which arise from changes in underlying variables such as prices of equity, interest rates or exchange rates. In this section, we calculate some important risk measures (VaR, TVaR, TV, TVP) for the proposed distribution, which play a crucial role in portfolio optimization under uncertainty.

5.1. Value at Risk

In the context of actuarial sciences, the measure VaR is widely used by practitioners as a standard financial market risk. It is also known as the quantile risk measure or quantile premium principle. The VaR is always specified with a given degree of confidence say q (typically 90%, 95% or 99%), and represent the percentage loss in portfolio value that will be equalled or exceeded only X percent of the time. VaR of a random variable X is the qth quantile of its cdf, see Artzner [23]. If X follows (7), then the VaR of the X is derived as

xq=F1t,(11)
where t is the solution of the equation log1q+t=log1t.

5.2. Tail Value at Risk

Another important measure is TVaR, also known as conditional tail expectation (CTE) or tail conditional expectation (TCE), used to quantifies the expected value of the loss given that an event outside a given probability level has occurred. Let X follows the proposed family, then TVaR of X is defined as

TVaRqX=11qVaRqx  gxdx.(12)

Using (7) in (12), we get

TVaRqX=αγ1qVaRqxα+11eγxαe1eγxα1+eγxαdx,
TVaRqX=αγ1qi=0j=0i1i+jij!j!VaRqxα+11eγj+1xαdx+VaRqxα+11eγj+2xαdx.(13)

Recall, the definition of incomplete gamma function in the form Γα,x=xtα1etdt, so, from (13), we get

TVaRqX=11qi=0j=0i1i+jij!j!γ1/αΓ1α+1,γj+1VaRqαj+11α+1+Γ1α+1,γj+2VaRqαj+21α+1.(14)

5.3. Tail Variance

The TV is one of the most important actuarial measures which pay attention to the TV beyond the VaR. The TV of the WT-XW distributed random variable is derived as

TVqX=EX2|X>xqTVaRq2.(15)

Consider

EX2|X>xq=αγ1qVaRqxα+21eγxαe1eγxα1+eγxαdx.

On solving, we get

EX2|X>xq=11qi=0j=0i1i+jij!j!γ2/αΓ2α+1,γj+1VaRqαj+12α+1+Γ2α+1,γj+2VaRqαj+22α+1.(16)

Using (14) and (16) in (15), we get the expression for the TV of WT-XW distribution.

5.4. Tail Variance Premium

The TVP is another important measure play an essential role in insurance sciences. The TVP of WT-XW distributed random variable is derived as

TVPqX=TVaRq+δTVq,(17)
where 0<δ<1. Using the expressions (14) and (15) in (17), we get the TVP of the proposed distribution.

5.5. Numerical Study of the Risk Measures

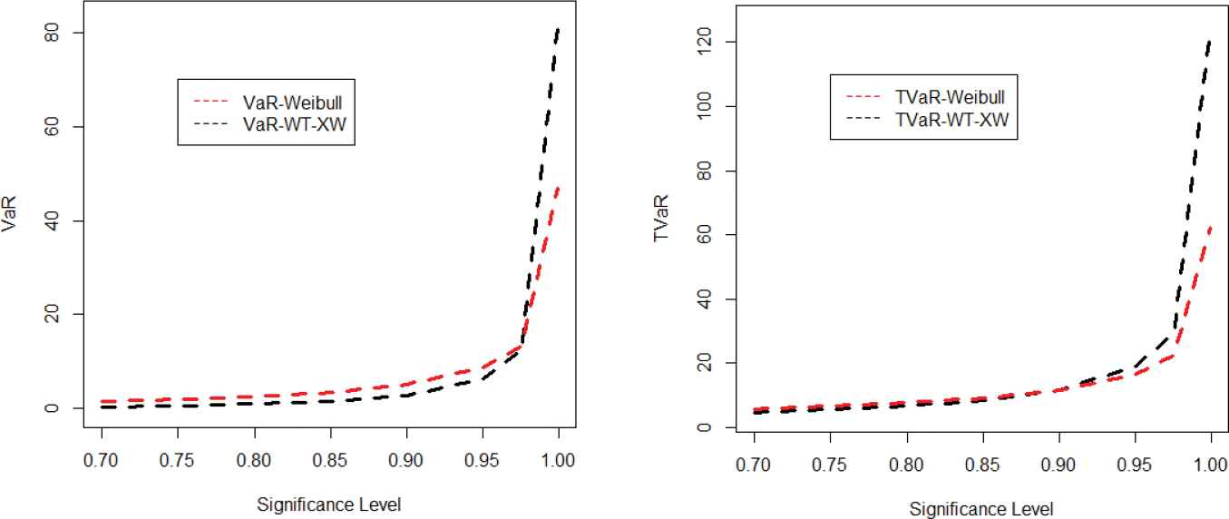
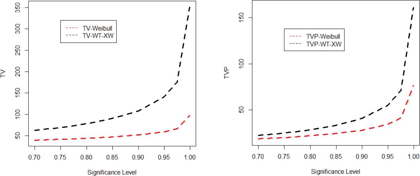
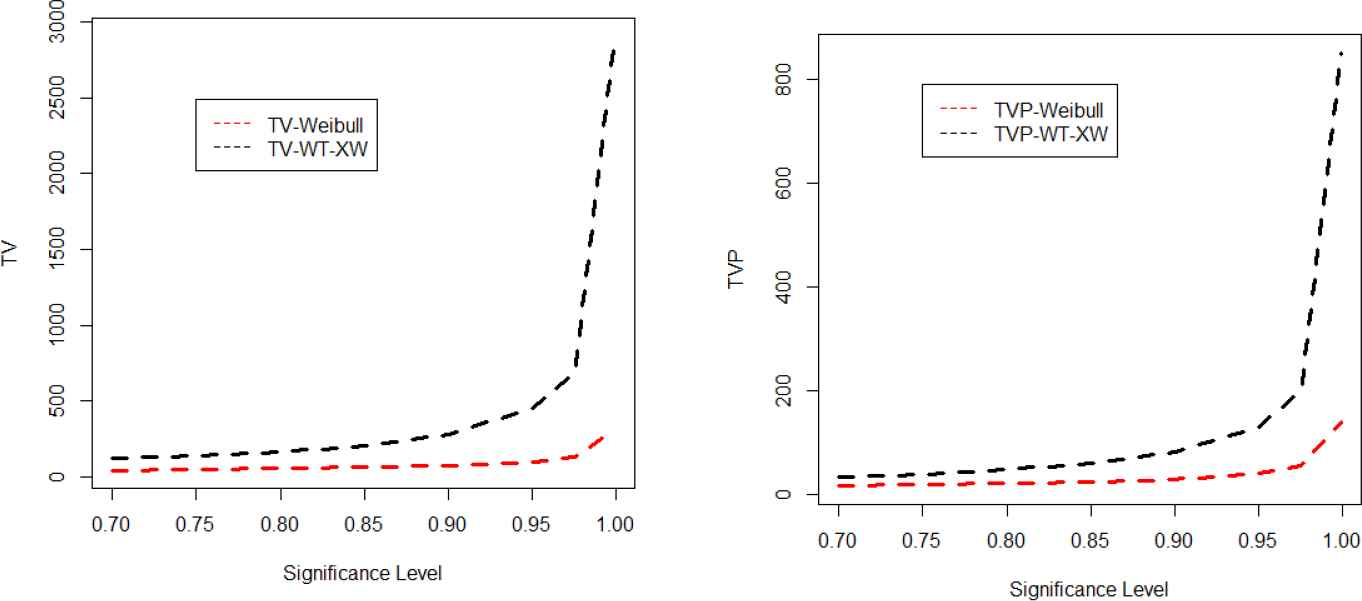
In this section, we simulate the risk measures described above to show the suitability of the proposed model. The simulation is performed for the Weibull and proposed model for the values of parameters. A model with higher values of the risk measures is said to have heavier tail. The simulated results provided in Tables 3 and 4 show that the proposed model has higher values of the risk measures than the traditional Weibull distribution. The simulation results are graphically displayed in Figures 69, which show that the proposed model has heavier tail than the Weibull distribution.

Set 1: α = 0.7, γ = 0.5
Dist Level of Significance VaR TVaR TV TVP
0.700 3.5226 8.8297 39.3627 18.6704
0.750 4.3088 9.8157 41.3919 20.1637
0.800 5.3327 11.070 43.8447 22.0318
Weibull 0.850 6.7450 12.761 46.9629 24.5026
0.900 8.8951 15.276 51.2849 28.0976
0.950 12.954 19.898 58.5092 34.5257
0.975 17.440 24.889 65.5638 41.2805
0.999 42.732 52.080 96.7712 76.2729
0.700 1.7264 6.9464 65.3076 23.2733
0.750 2.2581 7.9401 72.4397 26.0500
0.800 3.0158 9.2719 81.6688 29.6892
WT-XW 0.850 4.1748 11.179 94.3033 34.7551
0.900 6.1745 14.233 113.307 42.5602
0.950 10.623 20.431 148.193 57.4798
0.975 16.363 27.802 185.051 74.0656
0.999 57.437 75.031 370.190 167.579

WT-XW, weighted T-X Weibull; VaR, value at risk; TVaR, tail value at risk; TV, tail variance; TVP, tail variance premium.

Table 3

Simulation results of VaR, TVaR, TV and TVP for n=100.

Set 1: α = 1.3, γ = 1
Dist Level of Significance VaR TVaR TV TVP
0.700 1.4266 5.7649 43.6476 16.6768
0.750 1.8914 6.5885 48.3030 18.6643
0.800 2.5493 7.6857 54.3512 21.2735
Weibull 0.850 3.5421 9.2447 62.7181 24.9243
0.900 5.2180 11.718 75.5996 30.6186
0.950 8.8325 16.697 100.570 41.8403
0.975 13.392 22.622 129.265 54.9384
0.999 46.962 62.527 311.306 140.354
0.700 0.4150 4.6755 119.152 34.4637
0.750 0.6220 5.5085 138.819 40.2133
0.800 0.9619 6.6914 166.526 48.3229
WT-XW 0.850 1.5702 8.5105 208.787 60.7074
0.900 2.8319 11.708 282.440 82.3183
0.950 6.4148 19.165 452.656 132.329
0.975 12.300 29.521 688.040 201.531
0.999 81.598 124.89 2925.11 856.172

WT-XW, weighted T-X Weibull; VaR, value at risk; TVaR, tail value at risk; TV, tail variance; TVP, tail variance premium.

Table 4

Simulation results of VaR, TVaR, TV and TVP for n=150.

Figure 6

Plots for the value at risk (VaR) and tail value at risk (TVaR) of the Weibull and weighted T-X Weibull (WT-XW) distributions.

Figure 7

Plots for the tail variance (TV) and tail variance premium (TVP) of the Weibull and weighted T-X Weibull (WT-XW) distributions.

Figure 8

Plots for the value at risk (VaR) and tail value at risk (TVaR) of the Weibull and weighted T-X Weibull (WT-XW) distributions.

Figure 9

Plots for the tail variance (TV) and tail variance premium (TVP) of the Weibull and weighted T-X Weibull (WT-XW) distributions.

The simulation process is described below:

  1. Random samples of sizes n = 100 and 150 are generated from the Weibull and WT-XW models and parameters have been estimated via maximum likelihood method.

  2. 1000 repetitions are made to calculate the VaR, TVaR, TV and TVP for these distributions.

6. A REAL-LIFE APPLICATION

The main applications of the heavy tail models are the so-called extreme value theory or insurance loss phenomena. We consider a data set from insurance sciences. In this section, we illustrate the WT-XW model by analyzing vehicle insurance loss data to show how the proposed method works in practice. Furthermore, we calculate the actual measures of the Weibull and WT-XW distributions using the real data set.

6.1. Application to the Vehicle Insurance Loss Data

In this sub-section, we illustrate the proposed method using a real data set representing the vehicle insurance losses available at http://www.businessandeconomics.mq.edu.au/our_departments/Applied_Finance_and_Actuarial_Studies/research/books/GLMsforInsuranceData. First, we check whether the considered data set actually comes from the WT-XW or not by goodness of fit test and compare the fits with the other heavy tailed distributions including the two and three parameters distributions. This procedure is based on the Anderson Darling (AD) test statistic, Cramer–von-Mises (CM) test statistic and Kolmogorov–Smirnov (KS) statistic with the corresponding p-values. Note that, the AD, CM and KS statistic to be used only to verify the goodness-of-fit and not as a discrimination criteria. Therefore, we consider four discrimination criteria based on the log-likelihood function evaluated at the maximum likelihood estimates. The criteria are Akaike information criterion (AIC), Bayesian information criterion (BIC), Hannan-Quinn information criterion (HQIC), Corrected Akaike information criterion (CAIC). A model with lowest values for these statistics could be chosen as the best model to fit the data. The analytical measures are calculated are calculated as follows:

  • The AD test statistic is given by

    AD=n1ni=1n2i1logGxi+log1Gxni+1,

where, n is the sample size and xi is the ith sample, calculated when the data is sorted in ascending order.
  • The CM test statistic is given by

    CM=112n+i=1n2i12nGxi2.

  • The KS test statistic is given by

    KS=supxGnxGx,

where Gnx is the empirical cdf and supx is the supremum of the set of distances. The discrimination criteria are calculated using the formulas:
  • The AIC is given by

    AIC=2k2.

  • The BIC is given by

    BIC=klogn2.

  • The HQIC is given by

    HQIC=2kloglogn2.

  • The CAIC is given by

    CAIC=2nknk12,

where denotes the log-likelihood function evaluated at the MLEs, k is the number of model parameters and n is the sample size. The distribution functions of the competitive models are
  • Weibull

    Gx;α,γ=1eγxα,x0,α,γ>0.

  • Pareto

    Gx;α,γ=1γxα,x0,α,γ>0.

  • Lomax

    Gx;α,γ=11+xγα,x0,α,γ>0.

  • B-XII

    Gx;c,k=11+xck,x0,c,k>0.

  • Log-normal

    Gx;μ,σ=12+12erflnxμ2σ,  σ>0,μ,x+.

  • Dagum

    Gx;α,γ,θ=1+xγαθ,x0,α,γ,θ>0.

  • MOW

    Gx;α,γ,σ=1eγxασ+1σ1eγxα,x0,α,γ,σ>0.

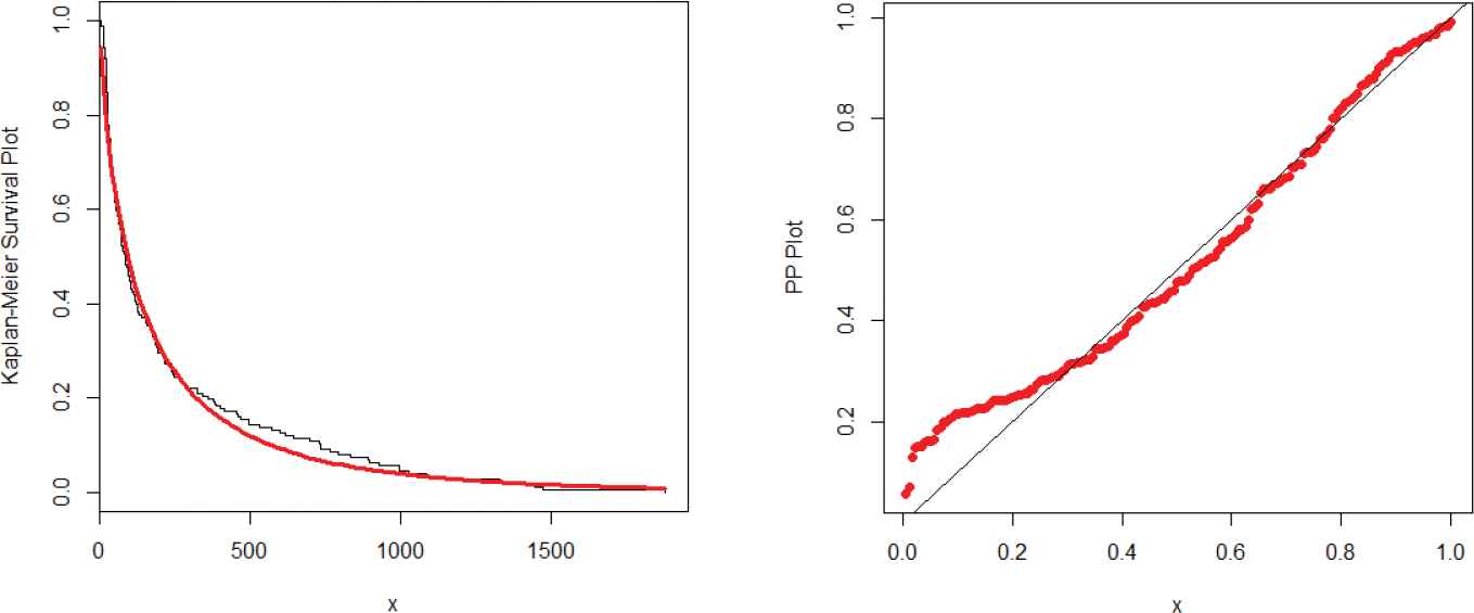
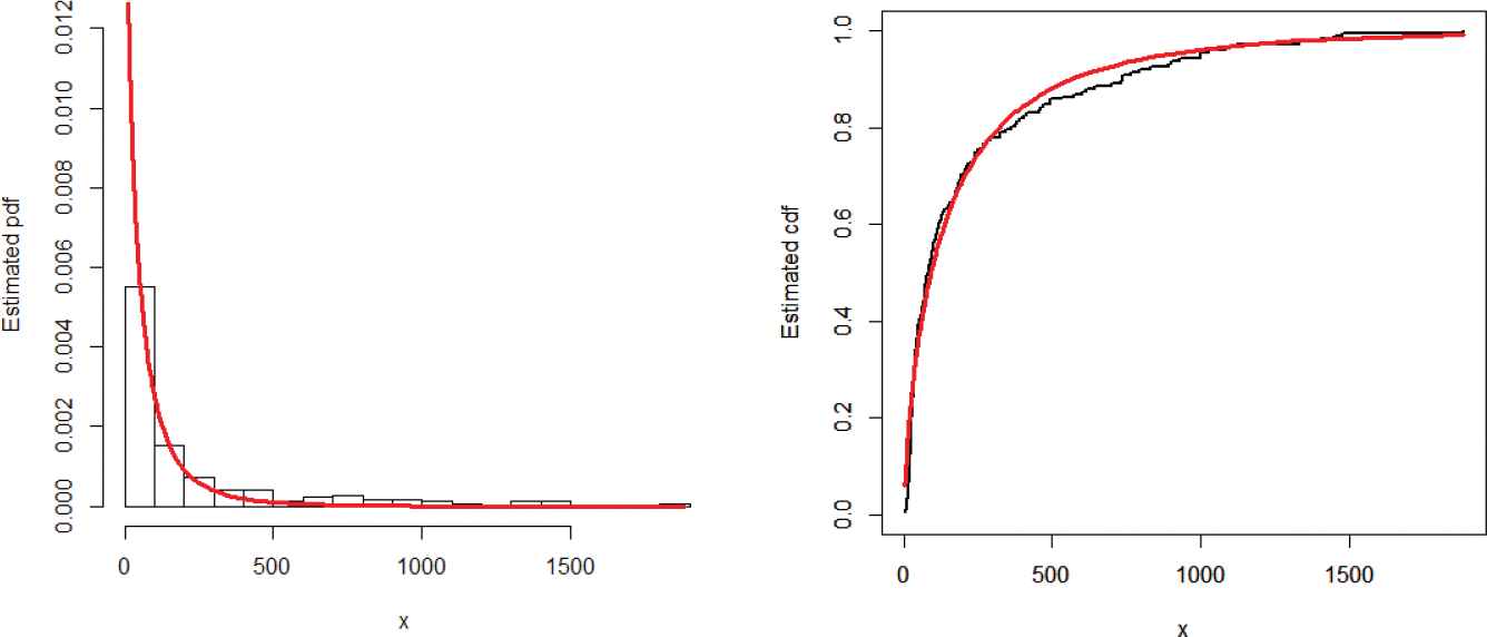
The values of MLEs of the parameters along with the corresponding standard errors (in parenthesis) are provided in Table 5. The discrimination criteria are presented in Table 6. Whereas, the goodness of fit measures are reported in Table 7. A model with lowest values for these statistics is considered as a best candidate model. As we see, the results (Tables 6 and 7) show that the WT-XW distribution provides better fit than the other considered competitors. Hence, the proposed model can be used as a best candidate model for modeling insurance losses. Furthermore, in support of Tables 6 and 7, the estimated cdf and pdf of the proposed model are plotted in Figure 10. The Kaplan–Meier survival plot and PP plot are provided in Figure 11. These plots also reveal that the WT-XW distribution provides the best fit to data compared to the other models.

Dist. α̂ γ̂ σ̂ ĉ k̂ θ̂ μ̂
WT-XW 0.868 (0.038) 0.006 (0.001)
Weibull 0.759 (0.041) 0.019 (0.005)
Pareto 0.959 (0.291) 1.385 (0.491)
Lomax 1.689 (0.357) 1.256 (0.648)
B-XII 6.672 (11.259) 0.032 (0.055)
Log-normal 0.965 (0.325) 0.765 (0.101)
Dagum 0.968 (0.040) 0.903 (0.103) 0.698 (0.795)
MOW 0.594 (0.098) 0.072 (0.289) 2.515 (0.904)

WT-XW, weighted T-X Weibull; MOW, Marshall-Olkin Weibull.

Table 5

The estimated values of the parameters with standard errors in parenthesis) of the fitted distributions.

Dist. AIC BIC CAIC HQIC
WT-XW 2234.262 2240.603 2234.331 2236.833
Weibull 2243.208 2249.549 2243.277 2245.780
Pareto 2260.071 2276.518 2266.090 2264.057
Lomax 2272.037 2279.289 2274.980 2273.885
B-XII 2499.052 2505.393 2499.121 2501.624
Lognormal 2236.643 2243.980 2237.873 2239.098
Dagum 2238.876 2245.084 2239.764 2240.709
MOW 2256.673 2266.184 2256.812 2260.530

WT-XW, weighted T-X Weibull; MOW, Marshall-Olkin Weibull; AIC, Akaike information criterion; BIC, Bayesian information criterion; HQIC, Hannan-Quinn information criterion; CAIC, Corrected Akaike information criterion.

Table 6

Analytical measures of the proposed and other competitive models.

Dist. CM AD KS p-value
WT-XW 0.595 3.659 0.090 0.152
Weibull 0.724 4.399 0.103 0.123
Pareto 1.103 5.709 0.478 0.101
Lomax 1.290 5.774 0.573 0.098
B-XII 0.809 5.107 0.408 0.118
Log-normal 0.635 3.971 0.094 0.139
Dagum 0.6409 4.094 0.095 0.134
MOW 0.903 5.431 0.421 0.109

WT-XW, weighted T-X Weibull; MOW, Marshall-Olkin Weibull; Anderson Darling (AD) test statistic, CM, Cramer von-Mises; KS, Kolmogorov-Smirnov.

Table 7

Analytical measures of the proposed and other competitive models.

Figure 10

Estimated probability density function (pdf) and cumulative distribution function (cdf) of the weighted T-X Weibull (WT-XW) distribution.

Figure 11

Kaplan–Meier survival and PP-plots of the weighted T-X Weibull (WT-XW) distribution.

6.2. Calculation of the Actuarial Measures Using the Vehicle Insurance Loss Data

In this sub-section, we calculate the actuarial measures of the Weibull and the WT-XW distribution using the estimated values of the parameters for the insurance loss data set. The numerical results are reported in Table 8.

Dist Parameters Level of Significance VaR TVaR TV TVP
0.700 255.920 590.031 142719.084 36269.802
0.750 308.244 651.818 148310.999 37729.568
α̂=0.759 0.800 375.326 729.705 154963.790 39470.652
Weibull γ̂=0.018 0.850 466.263 833.533 163268.542 41650.669
0.900 602.016 985.866 174526.532 44617.499
0.950 851.889 1260.832 192776.813 49455.035
0.975 1121.071 1552.087 210014.124 54055.618
0.999 2564.815 3075.459 281148.054 73362.473
0.700 258.291 639.741 210718.724 53319.422
0.750 312.536 710.832 222490.325 56333.413
α̂=0.868 0.800 383.825 801.937 236506.473 59928.555
WT-XW γ̂=0.006 0.850 483.543 925.725 253773.605 64369.126
0.900 638.454 1111.378 276269.591 70178.776
0.950 938.583 1454.882 309257.870 78769.349
0.975 1275.602 1824.653 335843.672 85785.571
0.999 3111.461 3740.299 413793.771 107188.742

WT-XW, weighted T-X Weibull; VaR, value at risk; TVaR, tail value at risk; TV, tail variance; TVP, tail variance premium.

Table 8

Simulation results of VaR, TVaR, TV and TVP for n=150.

As we have mentioned earlier that a model with higher values of the risk measures is said to posses the heavier tails. From the numerical results for the actuarial measures of the proposed and Weibull distributions provided in Table 6, it is clear that the proposed distribution has heavier tail than the Weibull distribution and can be used as good candidate model for modeling heavy tailed insurance data sets.

7. CONCLUDING REMARKS

In the present work, we have proposed a versatile two parameter heavy tailed weighted T-X family of the Weibull distribution. The distribution has closed-form expressions for some insurance measures such as VaR, TVaR, TV and TVP. We have also studied some of its basic properties. Although the method has only been applied to the classical Weibull distribution, yet, this procedure can be extended by using other probabilistic families as parent distribution. The motivation for conducting this study is to find out whether the model can be applied in respect of vehicle insurance loss data. Numerical results show that the WT-XW distribution outperforms other existing long-tail distributions under the different measures of model assessment considered in respect of vehicle insurance loss data. This new method, which has a promising approach for data modeling in the actuarial field, may be very useful for practitioners who handle large claims and thereby it can be deemed as an alternative to the Weibull distribution.

AUTHORS' CONTRIBUTIONS

(i) Zubair Ahmad wrote the initial draft of the paper and did the simulation study and analysis, (ii) Eisa Mahmoudi helped in the simulation study and superivised overall work, and (iii) Sanku Dey and Saima K. Khosa helped in writing and improving the Introduction Section.

FUNDING STATEMENT

The work is sponsored by the Department of Statistics, Yazd University, Iran.

DATA AVAILABILITY STATEMENT

This work is mainly a methodological development and has been applied on secondary data related to the Vehicle Insurance Loss Data, but if required, data will be provided.

ACKNOWLEDGMENT

The authors are grateful to the Editor and referees for many of their valuable comments and suggestions which lead to this improved version of the manuscript. The first two authors also acknowledge the support of the Yazd University, Iran.

DEDICATION

This article is drafted from the Ph.D work of the first Author. The author would like to dedicate this article to the memory of his late parents.

APPENDIX

R Code for calculating the analysis measures in this manuscript.

############################################################ Important Note: The data is saved in the csv file in our PC, so we used the commond “read.csv” to load the data in to R. The data is saved in column 11, that's why we have used the commond “data=data[,11]” to call the data from the 11th column of the csv file. In the propogram, pm is used for the proposed model. ############################################################ data<-read.csv(file.choose(), header=TRUE) data=data[,11] data=data[!is.na(data)] data=data/5 data ############################################################ ##### The density of the proposed distribution ############################################################ pdf_pm <- function(par,x) { alpha=par[1] gamma=par[2] alpha*gamma*(x^(alpha-1))*exp(-gamma*x^alpha)*(1+exp (-gamma*x^alpha)) *(1/(exp(1-exp(-gamma*x^alpha)))) } ############################################################ ##### The distribution function of the proposed distribution ############################################################ cdf_pm <- function(par,x) { alpha= par[1] gamma= par[2] 1-(exp(-gamma*x^alpha)/(exp(1-exp(-gamma*x^alpha)))) } set.seed(0) goodness.fit(pdf=pdf_pm, cdf=cdf_pm, starts = c(0.5,0.5), data = data, method=“Nelder-Mead”, domain=c(0,Inf),mle=NULL)

REFERENCES

5.R.V. Hogg and S.A. Klugman, Loss Distributions, Wiley, New York, NY, USA, Vol. 249, 2009.
18.H. Torabi and N.M. Hedesh, Kybernetika, Vol. 48, 2012, pp. 16-30.
Journal
Journal of Statistical Theory and Applications
Volume-Issue
19 - 2
Pages
133 - 147
Publication Date
2020/05/28
ISSN (Online)
2214-1766
ISSN (Print)
1538-7887
DOI
10.2991/jsta.d.200421.001How to use a DOI?
Copyright
© 2020 The Authors. Published by Atlantis Press SARL.
Open Access
This is an open access article distributed under the CC BY-NC 4.0 license (http://creativecommons.org/licenses/by-nc/4.0/).

Cite this article

TY  - JOUR
AU  - Zubair Ahmad
AU  - Eisa Mahmoudi
AU  - Sanku Dey
AU  - Saima K. Khosa
PY  - 2020
DA  - 2020/05/28
TI  - Modeling Vehicle Insurance Loss Data Using a New Member of T-X Family of Distributions
JO  - Journal of Statistical Theory and Applications
SP  - 133
EP  - 147
VL  - 19
IS  - 2
SN  - 2214-1766
UR  - https://doi.org/10.2991/jsta.d.200421.001
DO  - 10.2991/jsta.d.200421.001
ID  - Ahmad2020
ER  -