Journal of Statistical Theory and Applications

Volume 20, Issue 1, March 2021, Pages 132 - 148

Generalized Rank Mapped Transmuted Distribution for Generating Families of Continuous Distributions

Authors
M. A. Ali1, Haseeb Athar2, *
1Department of Statistics, Faculty of Science, King Abdulaziz University, Jeddah, Kingdom of Saudi Arabia
2Department of Statistics and Operations Research, Aligarh Muslim University, Aligarh, India
*Corresponding author. Email: haseebathar68@gmail.com
Corresponding Author
Haseeb Athar
Received 7 October 2018, Accepted 5 January 2021, Available Online 5 February 2021.
DOI
10.2991/jsta.d.210129.001How to use a DOI?
Keywords
Transmuted map; Order Statistics; Weibull distribution; Beta distribution; Hazard function; Continuous distributions
Abstract

This study introduces generalized transmuted family of distributions. We investigate the special cases of our generalized transmuted distribution to match with some other generalization available in literature. The transmuted distributions are applied to Weibull distribution to find generalized rank map transmuted Weibull distribution. The distributional characteristics such as probability curve, mean, variance, skewness, kurtosis, distribution of largest order statistics, and their characteristics studied to compare with ordinary Weibull distribution. Hazard rate functions and distributional characteristics of largest order statistics of transmuted distributions are also studied. It is observed that the transmuted distributions are more flexible to model real data, since the data can present a high degree of skewness and kurtosis. If someone is interested to locate more flexible and higher degree of skewed distribution can explore this generalized transmuted family of distributions for future use.

Copyright
© 2021 The Authors. Published by Atlantis Press B.V.
Open Access
This is an open access article distributed under the CC BY-NC 4.0 license (http://creativecommons.org/licenses/by-nc/4.0/).

1. INTRODUCTION

The ideas of developing new distributions are important issues in recent literatures. Numerous families of distributions have proposed by several authors for modeling data in several areas such as engineering, economics, finance and actuarial science, medical and life sciences. However, in many applied areas like lifetime analysis, insurance analysis we need extended distributions, that is, new distributions which are more flexible to model real data, since the data can present a high degree of skewness and kurtosis.

Lee et al. [1] provided an overview of most method used to generate family of continuous distributions earlier in 1980. For more details about these methods can be referred to Pearson [2], Johnson [3], and Tukey [4]. Recently several literatures were discussed generalized method to generate extended generalized family of distributions. For more details about the recent development may refer to Johnson et al. [5], Eugene et al. [6], Jones [7], Alzaatreh et al. [8], Bourguignon et al. [9], Afify et al. [10], Granzotto et al. [11], Al-Kadim and Mohammed [12], Jayakumar and Babu [13], Mahdavi and Kundu [14], Alizadeh et al. [15], Al-Kadim [16], Pobocikova et al. [17], Elgarhy et al. [18], Afify et al. [19], and references therein. Apart from the above, a more extended generalized nth degree transmuted method suggested in this study to generate transmuted distributions. An application of the generated transmuted map is extended to the Weibull distribution. The distributional characteristics of the generated transmuted distributions are also simulated to compare with traditional Weibull distribution.

This paper is organized in the following way: In Section 2, we developed nth degree generalized transmutation map based on continuous family of distribution. Particular cases are also discussed. Some other members of generalized transmutation map are identified. In Section 3, the survival function, hazard rate function, and reserved hazard rate function of newly generated generalized transmuted distribution are discussed. In Section 4, we developed the nth degree generalized transmutation map based on Weibull distribution. Also, probability density function (pdf) graphs are simulated and presented in figure to compare each other. In Section 5, some distributional characteristics such as mean variance, skewness, and kurtosis are simulated and presented in tabular form to compare each other for different parametric set of values. The Section 6 is based on discussion and proof of some theorems related to order statistics (OS) of generalized transmuted Weibull distribution (TWD). Simulated distributional characteristics of largest OS of quadratic TWD are also presented in section 6. The Section 7, states conclusion and then inserted references.

2. GENERALIZED nth RANK TRANSMUTATION MAP

The construction of the generalized n-degree transmutation map considered here is simple and intuitive. Let X1,X2,,Xn be a random sample from an absolutely continuous population with pdf gx,xa,b corresponding to cumulative distribution function (cdf) Gx with abfxdx=φψfh(t)h(t)dt;x=ht. This is valid under the following conditions:

  1. fx is continuous on some interval AxB containing the original limits of integration, a,b.

  2. The equalities a=hφ and b=hψ holds.

  3. ht and its derivative ht are continuous on the interval φtψ.

  4. As t varies from φ to ψ, the function ht always varies in the same direction from hφ=a to hψ=b.

Let X1:nX2:nXn:n be the OS obtained by arranging the preceding random sample in increasing order of magnitude. The cdf of Xr:n1rn is given by

Gr:nx=PXr:nx=i=rnniGxi1Gxni=IGxr,nr+1,(1)
where, the beta function with Bp,q=B1p,q, and Ixp,q=Bxp,qBp,q is incomplete beta function ratio. The corresponding pdf is given by
gr:nx=xFr:nx=n!r1!nr!Gxr11Gxnrgx=gxbGx;r,nr+1;<x<,1rn,(2)
where bt;p,q=1Bp,qtp11tq1,0t1.

Now, consider the random variable, Y as

Y~gr:nx with probability πr:nr=1,2,3,,n;n=1,2,3,,

where 0πr:n1 and r=1nπr:n=1.

Hence, generalized transmuted cdf of nth rank mapped (n = 1, 2, 3, …) distribution is given by

FYx=r=1nπr:nIGxr,nr+1=r=1nmr:nx,(3)
and corresponding generalized transmuted pdf of nth rank mapped distribution is
fYx=xFYx=r=1nxmr:nx=r=1nπr:nxIGxr,nr+1(4)
=gxr=1nπr:nbGx;r,nr+1,(5)
where mr:nx=πr:nIGxr,nr+1 and b.;.,. is same as before.

Now,

bt;p,q=1Bp,qtp11tq1=1Bp,qtp1i=0q11q1initq1i=1Bp,qi=0q11q1initp+q2i(6)

Using (6) in (5) to get

fYx=gxr=1nj=0nr1nrjπr:nBr,nr+1nrjGxn1j=gxGxn1r=1nj=0nrkrjx=gxGxn1r=1nkr,(7)
where, ki=j=0nikij and kij=1nijπi:nBi,ni+1nijGxj.

Expression (3) and (7) will also be helpful for simulation study for the cdf and pdf respectively.

2.1. Particular Cases

  1. Put n=2,π1:n=π,i.e.,π2:2=1π and λ=2π in (3) and (7) to get the quadratic transmutation map of Shaw and Buckley [20]

    Fx=λGx+1λG2x
    and the corresponding pdf of quadratic transmutation map of Shaw and Buckley [20] is
    fx=gxGx+λ1Gx.

  2. Put n=3,π3:3=1π1:3π2:3 and λ1=3π1:3,λ2=3π2:3 in (3) and (7) to get the cubic ranking transmutation map of Granzotto et al. ([11], Eq. (3), pp. 2761)

    Fx=λ1Gx+λ2λ1G2x+1λ2G3x
    and the pdf of cubic ranking transmutation map of Granzotto et al. [11] is
    fx=gxλ1+2λ2λ1Gx+31λ2G2x.

  3. Put π1:n=1 and πi:n=02in in (3) and (7) to develop the simple transmutation map of Eugene et al. [6] on using beta distribution as a generator.

    Fx=IGxp,q
    and the pdf of simple transmutation map of Eugene et al. [6] is
    fx=gxbGx;p,q.

  4. Put n=3,λ=λ1=3π1:3=λ2, λ2=3π2:3 in (3) and (7) to develop the cubic ranking transmutation map of Al-Kadim and Mohammed [12] with cdf

    Fx=1+λGx2λG2xλG3x
    and the corresponding pdf of the cubic ranking transmutation map of Al-Kadim and Mohammed [12] is
    fx=1+λgx4λGxgx3λG2xgx.

    It may be noted that the general formula of the transmuted distribution of Al-Kadim [16] can also be deduced from (3) as a particular case for odd and even n respectively.

  5. Put n=4,λi=2πi:4;1i4 in (3) and (7) to develop the generalized Quartic ranking transmutation map which is new cdf as suggested.

    Fx=2λ1Gx+3λ2λ1G2x+2λ12λ2+λ3G3x+1λ1+λ22λ3G4x(8)
    and the corresponding generalized Quartic ranking transmutation map with new pdf as suggested is given by
    fx=gx2λ1+6λ2λ1Gx+6λ12λ2+λ3G2x+41λ1+λ22λ3G4x.(9)

  6. Put n=5,λi=5πi:5;1i5 in (3) and (7) to develop the generalized Quintic ranking transmutation map with a new cdf suggested as

    Fx=λ1Gx+2λ2λ1G2x+2λ12λ2+λ3G3x+3λ2λ13λ3+λ4G4x+1λ2λ3λ4G5x(10)
    and the corresponding pdf of generalized Quintic ranking transmutation map which is a new pdf as suggested is
    fx=gx[λ1+4λ2λ1Gx+6λ12λ2+λ3G2x+43λ2λ13λ3+λ4G3x+51λ2λ3λ4G4x].(11)

  7. Put λi=nπi:n;1in, and n=6,7,8, in (3) and (7) to develop the cdf of suggested generalized desired nth (n6) ranked transmutation map as well as the corresponding pdf of generalized desired nth ranked transmutation map.

  8. If one put, πi:n=1n for 1in, then Fx=Gx

  9. If we put, πi:n=ni/2n1, for all 1in and n=2,3,4,, then from (3) and (7) we get another new generalized nth ranked transmuted map with cdf for generating families of distributions is

    FTDnx=r=1nπr:nIGxr,nr+1=r=1nmr:nx,(12)
    where mr:nx=nr/2n1IGxr,nr+1 and the corresponding generalized nth ranked transmuted map of pdf for generating families of distribution are given by
    fTDnx=gxGxn1r=1nkr,(13)
    where, ki=j=0nikij and kij=1nij2n1Bi,ni+1ninijGxj.

Some Specific Cases of (12) and (13)

2.1.1. Quadratic rank transmuted distribution (TD2)

For n = 2 in (12) and (13), the new form of quadratic map ranked transmuted cdf is given by

FTD2x=134GxG2x=13Gx3+1Gx(14)
and the corresponding new form of quadratic map ranked transmuted pdf is given by
fTD2x=gx342Gx=2gx31+1Gx.(15)

2.1.2. Cubic rank transmuted distribution (TD3)

For n = 3 in (12) and (13), the new form of cubic ranked transmuted cdf is given by

FTD3x=179Gx2G3x(16)
and the corresponding new form of cubic ranked transmuted pdf is given by
fTD3x=gx796G2x.(17)

2.1.3. Quartic rank transmuted distribution (TD4)

For n = 4 in (12) and (13), the new form of quartic ranked transmuted cdf is given by

FTD4x=11516Gx+12G2x16G3x+3G4x(18)
and the corresponding new form quartic ranked transmuted pdf is given by
fTD4x=gx1516+24Gx48G2x+12G3x.(19)

2.1.4. Quintic rank transmuted distribution (TD5)

For n = 5 in (12) and (13), the new form of quintic ranked transmuted cdf is given by

FTD5x=13125Gx+50G2x50G3x+6G5x(20)
and the corresponding new form of quintic ranked transmuted pdf is given by
fTD5x=gx3125+100Gx150G2x+30G4x.(21)

In a similar manner, one can generate any desired higher order n6 rank transmuted map from (12) and (13).

3. HAZARD FUNCTION

The survival function Sx, hazard rate function hx, and reserved hazard rate function rx of newly generated generalized transmuted cdf FTDn(x) (Eq. 12) corresponding to pdf fTDn(x) (13) are respectively given by

STDnx=1FTDnx(22)
hTDnx=fTDnx/STDnx=fTDnx/1FTDnx(23)
rTDnx=fTDnx/FTDnx,(24)
where, fTDnx and FTDnx are as before.

Use (3) in (22) to get survival function for newly derived nth ranked transmuted distribution as

STDnx=1r=1nmr:nx.(25)

Use (7) and (22) in (23) to get hazard rate function for newly derived nth ranked transmuted distribution as

hTDnx=gxGxn1r=1nkr1r=1nmr:nx.(26)

Use (3) and (7) in (24) to get reserved hazard rate function for newly derived nth ranked transmuted distribution as

rTDnx=gxGxn1r=1nkrr=1nmr:nx,(27)
where, mr:nx and kr are as before.

For more about the hazard function one can refer to Zubair et al. [21] and references therein.

Theorem 3.1.

The quadratic generalized transmuted hazard rate function is given by

hTD2x=2gx2Gx3Gx4Gx.

Proof.

From (23) and for n = 2, we get the generalized transmuted hazard rate function as

hTD2x=fTD2x1FTD2x.(28)

Now using (14) and (15) in (28) and on algebraic simplification gives the proof of the theorem.

Theorem 3.2.

The quadratic generalized transmuted Weibull hazard rate function is given by

hTWD2x=2αxα1ex/βα+ex/β2α3βα123ex/βα+13ex/β2α.

Proof.

From (28) and on using (29) and (30) gives the proof of the theorem.

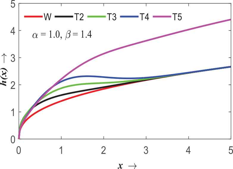
Simulated hazard function (WD, TWD2 to TWD5) for some specific sets of parameters (α, β) values are presented in Figures 14 to compare among themselves. The hazard function is one of the most important quantities to character life phenomenon. Compare with many other modified Weibull distributions, the shape of the hazard function is easy to decide. It can be derived from (23) and it is flexible. As we know, it is very common for a bathtub-shaped hazard function of a system or component to have a long useful lifetime with low constant rate portion in the middle and sharp change in the initial and wear-out of phase, so a distribution which can fit this kind of hazard rate would be very useful in reliability studies.

Figure 1

Hazard rate curve for α=1.0,β=1.4.

Figure 2

Hazard rate curve for α=0.4,β=0.6.

Figure 3

Hazard rate curve for α=0.6,β=1.4.

Figure 4

Hazard rate curve for α=2.6,β=2.4.

4. TRANSMUTED WEIBULL DISTRIBUTION

The Weibull distribution which was proposed by Weibull [22] is a very important lifetime distribution and is widely used in many fields. However, the hazard function of the traditional Weibull distribution can only be increasing, decreasing, or constant. To meet the need of fitting complex modes and the bathtub-shaped hazard rate, researchers have proposed many improved flexible models based on the traditional Weibull distribution. To know more about modified or improved models based on the traditional Weibull distribution, one may refer to Johnson et al. [5], Xie et al. [23], Bebbington et al. [24], Nassar et al. [25], Afify et al. [19], and references therein. Still even available modified Weibull model are not enough to represent or fit the data obtain all cases such as engineering, economics, finance and actuarial science, medical and life sciences. Our proposed transmuted model will be more flexible and will cover such limitation for which data present a higher degree of skewness and kurtosis.

A random variable X is said to have traditional Weibull distribution (WD) with parameters (α>0,β>0,θ0) if its cdf is given by

Gx=1expxθβα;  xθ(29)
and corresponding pdf is given by
gx=αβxθβα1expxθβα;  xθ,(30)
where, α is the shape parameter, β is the scale parameter, and θ is the location parameter. Throughout the paper take θ=0 without loss of generality, then (29) and (30) transform into cdf and pdf of 2-parameters traditional Weibull distribution, respectively.

  1. Quadratic ranked map Transmuted Weibull distribution (TWD2)

    Using (29) in (14); (29) and (30) into (15) to get the new Quadratic map ranked transmuted Weibull cdf as

    FTWD2x=1expxβα1+13expxβα(31)
    and the corresponding new Quadratic map ranked transmuted Weibull pdf is given by
    fTWD2x=2α3βxβα1expxβα1+expxβα.(32)

  2. Cubic ranked map Transmuted Weibull distribution (TWD3)

    Using (29) in to (16); (29) and (30) into (17) to get the new Cubic map ranked transmuted Weibull cdf as

    FTWD3x=1791expxβα21expxβα3(33)
    and the corresponding new cubic map ranked transmuted Weibull pdf is given by
    fTWD3x=α7βxβα1expxβα961expxβα2.(34)

  3. Quartic ranked map Transmuted Weibull distribution (TWD4)

    Using (29) in to (18); (29) and (30) into (19) to get the new Quartic map ranked transmuted Weibull cdf as

    FTWD4x=115161expxβα+121expxβα2161expxβα3+31expxβα4(35)
    and the corresponding new Quartic ranked transmuted Weibull pdf is given by
    fTWD4x=α15βxβα1expxβα16+241expxβα481expxβα2+121expxβα3.(36)

  4. Quintic ranked map Transmuted Weibull distribution (TWD5)

    Using (29) in to (20); (29) and (30) into (21) to get new the Quartic map ranked transmuted Weibull cdf as

    FTWD5x=131251expxβα+501expxβα2501expxβα3+61expxβα5(37)
    and the corresponding new quartic ranked transmuted Weibull pdf is given by
    fTWD5x=α15βxβα1expxβα25+1001expxβα1501expxβα2+181expxβα4.(38)

In a similar way one can find new any desired rank map transmuted cdf of Weibull distribution by using (29) in to (12); corresponding pdf by using (29) and (30) into (13).

The simulated pdf curves of different ranked TWD for some specific sets of parametric values (α, β) were plotted in Figures 58 to observe and compare the change of skewness and the pdf curve shapes with the change of transmutation rank.

Figure 5

TWDn curve for α=1.4,β=1.2.

Figure 6

TWDn curve for α=2.6,β=1.3.

Figure 7

TWDn curve for α=1.8,β=0.8.

Figure 8

TWDn curve for α=1.0,β=1.2.

It is observed from the above Figures 58 that the TWDs are more skewed compare to ordinary Weibull distribution. The degree of skewness of TWDn curves increases if the rank of transmutation map increases. So, the newly generated TWDs have advantages to fit if the data sets are more skewed.

5. DISTRIBUTIONAL CHARACTERISTICS

The kth (k=1,2,3,) raw moment corresponding to generalized nth rank transmuted map of Weibull pdf (30) are given from (13) as

μk=EXk=0xkfxdx=r=1nkr,(39)
where, ki=j=0nikij, kij=1nij2n1Bi,ni+1ninijMk,n1j and Mk,m=0xkgxGmxdx.

Now on using (29) and (30), we have

Mk,m=αβ0xkxβα1expxβα1expxβαmdx=αβα0xk+α1exβαi=0m1imiexpxβαidx=αβαi=0m1imi0xk+α1expxβαi+1dx.

We know that 0xnexpqxmdx=Γn+1mmqn+1,  m,n>0 and real. For more about it refer to Jeffrey and Dai ([26], p. 272). So that

Mk,m=αβkmm1imiΓk+ααi+1αi+1=αβki=0mδim,(40)
where, δim=1imiΓk+ααi+1αi+1.

5.1. Moments for Quadratic TWD2

For n = 2 in (39), the kth raw moment of the quadratic TWD is given by

μk=EXk=0xkfxdx=βk32Γk+αα+Γk+α2α(41)
and for k = 1, 2, 3, 4, the first four moments of the quadratic TWD are given by
Mean=μ1=β32Γ1+αα+Γ1+α2α
μ2=β232Γ2+αα+Γ2+α2α
μ3=β332Γ3+αα+Γ3+α2α
and μ4=β432Γ4+αα+Γ4+α2α.

The central moments are given by

VarX=μ2=β232Γ2+αα+Γ2+α2αβ292Γ1+αα+Γ1+α2α2μ3=μ33μ2μ1+2μ13and μ4=μ44μ3μ1+6μ2μ123μ4.

Pearson's four coefficients, based upon the first four central moments are

β1=μ32μ23,γ1=+β1 and β2=μ4μ22,γ2=β23.

It may be noted that these coefficients are true numbers independent of units of measurement.

The pthp0,1 percentile point of quadratic TWD (32) is given by

xp=βln12113p/41/α
and random observation can be generated from the following inverse function X=βln12113U/41/α, where U~U0,1.

5.2. Moments for Cubic TWD3

For n = 3 in (39), the kth raw moment of the Cubic TWD is given by

μk=EXk=r=13kr=k1+k2+k3,
where, k1=j=02k1j=k10+k11+k12, k2=j=01k1j=k20+k21, k3=k30.

k10=97Mk,2, k11=187Mk,1, k12=97Mk,0, k20=187Mk,2, k21=187Mk,1, k30=37Mk,2.

Mk,0=αβkδ00, Mk,1=αβkδ01+δ11, Mk,2=αβkδ02+δ12+δ22.

δ00=Γk+α, δ01=Γk+α, δ02=Γk+α, δ11=11+αΓk+α1+α, δ12=21+αΓk+α1+α, δ22=11+2αΓk+α1+2α.

From (34), the rth raw moment of TWD3 is given by

μk=EXk=βk73Γα+kα+6Γα+k2α2Γα+k3α.(42)
Mean=μ1=β73Γα+1α+6Γα+12α2Γα+13α,
μ2=β273Γα+2α+6Γα+22α2Γα+23α
μ3=β373Γα+3α+6Γα+32α2Γα+33α,
μ4=β473Γα+4α+6Γα+42α2Γα+43α.
and VarX=β273Γα+2α+6Γα+22α2Γα+23αβ2493Γα+1α+6Γα+12α2Γα+13α2.

Other central moments and Pearson's four coefficients can be obtained from the above by simple algebraic manipulation.

5.3. Moments for Quartic TWD4

For n = 4 in (39), the kth raw moment of the TWD4 is given by

μk=EXk=βk154Γα+kα+18Γα+k2α4Γα+k3α3Γα+k4α.(43)

5.4. Moments for Quintic TWD5

For n = 5 in (39), the kth raw moment of the TWD5 is given by

μk=EXk=βk315Γα+kα+40Γα+k2α+10Γα+k3α30Γα+k4α+6Γα+k5α.(44)

For example, some distributional properties like mean, variance, skewness, and kurtosis are simulated and presented below in Table 1 for some specific values of the parameters (α, β) to observe and compare differentiation of traditional Weibull distribution (30) along with some other different ranked map TWD (TWDn, n = 2,3, 4, 5), where, n indicates nth rank (3138) map. It is observed that skewness of transmuted distribution is more flexible as rank of transmutation increases. So, one can use flexible desired rank map transmuted distribution to fit desired skewed data set. For all simulation work MATLAB R2015a version is used.

Distributional Characteristics Different Combination of Parameter (α, β) Values
α=0.4β=0.3 α=1.0β=1.0 α=1.3β=1.2 α=1.4β=1.2 α=1.5β=1.3 α=1.5β=1.2 α=0.5β=0.3 α=2.0β=0.3 α=0.6β=1.3 α=0.5β=0.1
Means WD 0.9970 1.0000 1.1083 1.0937 1.1736 1.0833 0.6000 0.2659 1.9559 0.2000
TWD2 0.7566 1.0000 1.1714 1.1714 1.2715 1.1737 0.4886 0.2998 1.6909 0.1629
TWD3 0.5841 0.8988 1.0684 1.0717 1.1662 1.0765 0.3993 0.2771 1.4330 0.1331
TWD4 0.4571 0.7511 0.8879 0.8890 0.9658 0.8915 0.3255 0.2280 1.1889 0.1085
TWD5 0.3654 0.6025 0.6980 0.6951 0.7515 0.6936 0.2673 0.1743 0.9806 0.0891
Variances WD 9.8060 1.0000 0.7391 0.6266 0.6349 0.5410 1.8000 0.0193 11.8246 0.2000
TWD2 6.6876 0.6287 0.3727 0.2819 0.2473 0.2107 1.2411 0.0001 8.1840 0.1379
TWD3 4.4160 0.5232 0.3566 0.2867 0.2715 0.2314 0.8456 0.0041 5.7940 0.0940
TWD4 2.8471 0.5209 0.4601 0.4087 0.4322 0.3683 0.5756 0.0156 4.2317 0.0640
TWD5 1.7331 0.3269 0.2397 0.1943 0.1842 0.1570 0.3615 0.0022 2.7453 0.0402
Skewness WD 142644.2686 35.0000 21.4433 15.4247 19.0513 11.7856 372.0816 0.0013 67852.7372 0.5104
TWD2 63555.1105 18.5292 13.1605 9.9132 12.7894 7.9119 166.8259 0.0010 30860.4307 0.2288
TWD3 26345.0289 9.9275 8.1805 6.4000 8.5316 5.2779 69.9412 0.0008 13291.0082 0.0959
TWD4 10238.2132 5.4371 5.1186 4.1148 5.6021 3.4656 27.6680 0.0005 5489.6068 0.0380
TWD5 3764.5469 3.2185 3.4063 2.7832 3.8259 2.3668 10.4650 0.0004 2226.7486 0.0144
Kurtosis WD 305.6793 24.0000 25.1054 26.5616 28.4265 28.4265 100.8000 43.4273 52.9786 100.8000
TWD2 438.1475 41.5948 70.8843 95.9613 139.5531 139.5531 141.3656 741.4459 73.7997 141.3656
TWD3 645.9979 40.8002 56.3043 68.9036 87.7369 87.7369 195.8565 642.8510 94.8898 195.8565
TWD4 967.0436 27.9066 24.9716 25.6054 26.6692 26.6692 263.1634 36.1091 111.1517 263.1634
TWD5 1578.6245 48.6008 69.6797 87.7467 115.7325 115.7325 404.0340 455.9642 160.7934 404.0340
Table 1

Distributional characteristics of nth,n=2,3,4, degree mapof transmuted Weibull distribution (TWDn, n=2,3,4,).

6. ORDER STATISTICS

OS and functions of OS play an important role in statistical theory and methodology. Floods and droughts, longevity, breaking strength, aeronautics, oceanography, duration of humans, organisms, components, and devices of various kinds can be studied by the theory extreme values. Life tests provide an ideal illustration of the advantage of OS in censored data. Since such an experiment may take a long time to complete, it is often advantageous to stop after failure of the first r out of n similar items under test. For more details and development of OS one may refer to Sarhan and Greenberg [27], Arnold and Balakrishnan [28], Balakrishnan and Cohen [29], Arnold et al. [30], Ali [31], and David and Nagaraja [32].

The pdf of rth OS for the TD2 (15) is given by

fr:nTD2=Br,nr+1FTD2xr11FTD2xnrfTD2x.(45)

The pdf of extreme OS follows from (45) at r = 1 and r = n respectively given by

f1:nTD2=n1FTD2xn1fTD2x.(46)
fn:nTD2=nFTD2xn1fTD2x.(47)

Theorem 6.1.

For n=2,3,, the recurrence relation between the pdf of largest OS of quadratic rank transmuted distribution given in (47) and any ordinary distribution is given by

fn:nTD2x=n4/3ni=0n11/4in1ign+i:n+in+ign+i+1:n+i+12n+i+1,(48)
where, gm:m=mGm1xgx. Gx and gx are cdf and pdf of any continuous distribution, respectively.

Proof.

From (47) and on using (14) and (15), we have

fn:nTD2x=n134GxG2xn1gx342Gx=n4/3nGn1x114Gxn1112Gxgx=n4/3ni=0n11/4in1iGn+i1x12Gn+ixgx.

Now using gm:m=mGm1xgx to get the required result.

Theorem 6.2.

For n=2,3,, the recurrence relation between kth order moment of largest OS for the pdf (47) of quadratic rank transmuted distribution and kth order moment of largest OS for the pdf of ordinary continuous distribution is given by

μn:nkTD2=n4/3ni=0n11/4in1iμn+i:n+ikn+iμn+i+1:n+i+1k2n+i+1.(49)

Proof.

Multiplying both sides of (48) by Xk and then take expectation to get the result of the theorem.

Theorem 6.3.

For n=2,3,, the recurrence relation between largest OS pdf of (47) of quadratic rank transmuted distribution and largest OS pdf of Weibull distribution (30) is given by

fn:nTWD2x=n43nαβxβα1i=0n1j=0n+i11i+j4in1in+i1j12n+ijex/βj+1αi=0n11n+2i4i12n1iex/βn+i+1α.(50)

Proof.

We know that

gm:m=mGm1xgx=mαβxβα1ex/βα1ex/βαm1Using 29 and 30=mαβxβα1j=0m11jm1jex/βj+1αon binomial expansion.

Now using this result in (48) and on algebraic manipulation, we get the required result.

Theorem 6.4.

For n=2,3,, the kth order moment of largest OS for the pdf (32) of quadratic rank TWD is given by

μn:nkTWD2=n4/3nβki=on1j=0n+i11i+jj+14in1in+i1j12n+ijΓk+αj+1α+i=0n11n+i+1n1i2n+i+14iΓk+αn+i+1α.(51)

Proof.

For Weibull distribution defined in (29) and (30), we have

gm:mx=mGm1xgx.

By expanding above expression binomially, we get

gm:m(x)=m1expxβαm1αβxβα1expxβα=mαβαxα1j=0m11jm1jexpxβj+1α.(52)

Now kth order moment of largest OS of Weibull distribution (30) is given by

μm:mk=0xkgm:mxdx=mαβαj=0m11jm1j0xk+α1expxβj+1αdx on using 52.

Since 0xnexpqxmdx=Γn+1mmqn+1,m,n>0.

Therefore,

μm:m(k)=mαβαj=0m11jm1jβk+αj+1αΓk+αj+1α,=mβkj=0m11jm1j1j+1Γk+αj+1α.(53)

Now using (53) in (49) for m=n+i and m=n+i+1 then the kth order moment of largest OS for the pdf (32) of quadratic rank TWD is given by

μn:nkTWD2=n4/3ni=0n11/4in1iβkj=0n+i11jn+i1j1j+1Γk+αj+1αβk12j=0n+i1jn+ij1j+1Γk+αj+1α=n4/3nβki=0n11/4in1ij=0n+i11jn+i1j12n+ij1j+1Γk+αj+1α+1n+i+12n+i+1Γk+αn+i+1α.

Now on algebraic manipulation, we have

=n4/3nβki=on1j=0n+i11i+jj+14in1in+i1j12n+ijΓk+αj+1α+i=0n11n+i+1n1i2n+i+14iΓk+αn+i+1α.

Hence the theorem.

7. CONCLUSIONS

In this paper we have generated new generalized transmuted family of distributions (TDn). Some generalized transmuted distributions available in literature are found as particular cases of our transmuted family of distributions. These new generalized transmuted families of distributions are applied to Weibull distribution to find generalized rank map transmuted Weibull distribution (TWDn). Simulated hazard function, pdf curves, and some distributional characteristics such as mean, variance, skewness, and kurtosis for some specific parametric values of generalized transmuted families of Weibull distribution are presented in Figures 18 and in Table 1 respectively to make a comparative study among changes of rank maps. Also simulated quadratic ranked transmuted largest os's distributional characteristics are studied and presented in Table 2. These new distributions are more flexible and skewed compare to ordinary Weibull distribution. Flexibility prominently increases as degree of rank of transmutation map increases. These are observed in pdf curves (Figure 48) plotting as well as in distributional characteristics presented in Table 1. It is observed that the transmuted distributions are more flexible to model real data, since the data can present a high degree of skewness and kurtosis. If someone is interested to locate more flexible and higher degree of skewed distribution can explore this generalized transmuted family of distributions for future use.

n α=1.5,β=0.5
α=0.5,β=0.9
α=2.0,β=2.0
Mean Var Skew Kurto Mean Var Skew Kurto Mean Var Skew Kurto
2 0.2533 0.3362 1.2027 1.8339 2.0547 23.3801 25.5977 56.0054 0.8056 3.9894 1.4560 1.8314
3 0.3605 0.4288 0.3614 1.0651 2.8803 32.3545 18.0286 41.2666 1.1767 5.1747 0.4353 0.9362
4 0.4428 0.4923 0.0961 0.8081 3.6262 40.2543 14.0814 33.6843 1.4542 5.9506 0.1244 0.6501
5 0.5112 0.5401 0.0097 0.7112 4.3217 47.2606 11.6460 29.0873 1.6804 6.5160 0.0184 0.5415
6 0.5708 0.5779 0.0053 0.6877 4.9808 53.4868 9.9987 26.0429 1.8741 6.9525 0.0013 0.5097
7 0.6242 0.6084 0.0482 0.7061 5.6114 59.0147 8.8196 23.9196 2.0454 7.3006 0.0325 0.5195
8 0.6731 0.6334 0.1233 0.7526 6.2186 63.9072 7.9448 22.3947 2.2003 7.5835 0.0946 0.5553
9 0.7184 0.6539 0.2231 0.8201 6.8060 68.2150 7.2812 21.2858 2.3425 7.8156 0.1789 0.6095
10 0.7608 0.6706 0.3435 0.9048 7.3763 71.9799 6.7727 20.4830 2.4746 8.0067 0.2807 0.6779
Table 2

Distributional characteristics of largest OS of TWD2 (48) for different parametric values and sample size.

CONFLICT OF INTEREST

The authors declare that there are no conflicts of interest regarding the publication of this paper.

AUTHORS' CONTRIBUTIONS

All authors have read and agreed to the published version of the manuscript.

ACKNOWLEDGMENTS

The author would like to thank the Editor-in-Chief, and the anonymous referees for their careful reading and constructive comments and suggestions which greatly improved the presentation of the paper.

REFERENCES

4.J.W. Tukey, The Practical Relationship Between the Common Transformations of Percentages of Counts and of Amounts, Statistical Techniques Research Group, Princeton University, Princeton, NJ, USA, 1960. Technical Report 36
5.N.L. Johnson, S. Kotz, and N. Balakrishnan, Continuous Univariate Distributions, second, John Wiley & Sons, Inc., New York, NY, USA, Vol. I, 1994. https://1lib.in/book/1121948/3b61a8
12.K.A. Al-Kadim and M.H. Mohammed, J. Univ. Babylon Pure Appl. Sci., Vol. 25, No. 3, 2017, pp. 862-876. http://www.purescience.uobabylon.edu.iq/fileshare/articles/repository1_publication1493_18_513.pdf
16.K.A. AL-Kadim, J. Univ. Babylon Pure Appl. Sci., Vol. 26, 2018, pp. 66-74. https://www.journalofbabylon.com/index.php/JUBPAS/article/view/686/497
20.W.T. Shaw and I.R.C. Buckley, in IMA First Conference on Computational Finance, 2007. arXiv:0901.0434
22.W. Weibull, Ing. Vetenskapa Acad. Handlinger., Vol. 151, 1939, pp. 1-45.
26.A. Jeffrey and H.H. Dai, Handbook of Mathematical Formulas and Integrals, forth, Academic Press, Elsevier, MA, USA, 2008. https://doc.lagout.org/Others/Maths/Calculus/Academic.Press.Handbook.Of.Mathematical.Formula.And.Integrals.4th.Edition.Jan.2008.eBook-ELOHiM.pdf
29.N. Balakrishnan and A.C. Cohen, Order Statistics and Inference: Estimation Methods, Academic Press, San Diego, CA, USA, 1991. https://1lib.in/book/2367374/e2b0e5
31.M.A. Ali, Moments of Order Statistics and Related Results, Department of Statistics & Operations Research, Aligarh Muslim University, Aligarh, India, 1994. PhD Thesis https://shodhganga.inflibnet.ac.in/handle/10603/57569
Journal
Journal of Statistical Theory and Applications
Volume-Issue
20 - 1
Pages
132 - 148
Publication Date
2021/02/05
ISSN (Online)
2214-1766
ISSN (Print)
1538-7887
DOI
10.2991/jsta.d.210129.001How to use a DOI?
Copyright
© 2021 The Authors. Published by Atlantis Press B.V.
Open Access
This is an open access article distributed under the CC BY-NC 4.0 license (http://creativecommons.org/licenses/by-nc/4.0/).

Cite this article

TY  - JOUR
AU  - M. A. Ali
AU  - Haseeb Athar
PY  - 2021
DA  - 2021/02/05
TI  - Generalized Rank Mapped Transmuted Distribution for Generating Families of Continuous Distributions
JO  - Journal of Statistical Theory and Applications
SP  - 132
EP  - 148
VL  - 20
IS  - 1
SN  - 2214-1766
UR  - https://doi.org/10.2991/jsta.d.210129.001
DO  - 10.2991/jsta.d.210129.001
ID  - Ali2021
ER  -